当前位置:首页>文档>高二数学期中模拟卷01(参考答案)(1)_1多考区联考_1014高二期中模拟卷(新高考通用)黄金卷:2024-2025学年高二上学期期中模拟考试

高二数学期中模拟卷01(参考答案)(1)_1多考区联考_1014高二期中模拟卷(新高考通用)黄金卷:2024-2025学年高二上学期期中模拟考试

  • 2026-04-09 04:28:57 2026-02-11 02:40:01

文档预览

高二数学期中模拟卷01(参考答案)(1)_1多考区联考_1014高二期中模拟卷(新高考通用)黄金卷:2024-2025学年高二上学期期中模拟考试
高二数学期中模拟卷01(参考答案)(1)_1多考区联考_1014高二期中模拟卷(新高考通用)黄金卷:2024-2025学年高二上学期期中模拟考试
高二数学期中模拟卷01(参考答案)(1)_1多考区联考_1014高二期中模拟卷(新高考通用)黄金卷:2024-2025学年高二上学期期中模拟考试
高二数学期中模拟卷01(参考答案)(1)_1多考区联考_1014高二期中模拟卷(新高考通用)黄金卷:2024-2025学年高二上学期期中模拟考试
高二数学期中模拟卷01(参考答案)(1)_1多考区联考_1014高二期中模拟卷(新高考通用)黄金卷:2024-2025学年高二上学期期中模拟考试
高二数学期中模拟卷01(参考答案)(1)_1多考区联考_1014高二期中模拟卷(新高考通用)黄金卷:2024-2025学年高二上学期期中模拟考试
高二数学期中模拟卷01(参考答案)(1)_1多考区联考_1014高二期中模拟卷(新高考通用)黄金卷:2024-2025学年高二上学期期中模拟考试
高二数学期中模拟卷01(参考答案)(1)_1多考区联考_1014高二期中模拟卷(新高考通用)黄金卷:2024-2025学年高二上学期期中模拟考试
高二数学期中模拟卷01(参考答案)(1)_1多考区联考_1014高二期中模拟卷(新高考通用)黄金卷:2024-2025学年高二上学期期中模拟考试
高二数学期中模拟卷01(参考答案)(1)_1多考区联考_1014高二期中模拟卷(新高考通用)黄金卷:2024-2025学年高二上学期期中模拟考试
高二数学期中模拟卷01(参考答案)(1)_1多考区联考_1014高二期中模拟卷(新高考通用)黄金卷:2024-2025学年高二上学期期中模拟考试

文档信息

文档格式
docx
文档大小
0.430 MB
文档页数
7 页
上传时间
2026-02-11 02:40:01

文档内容

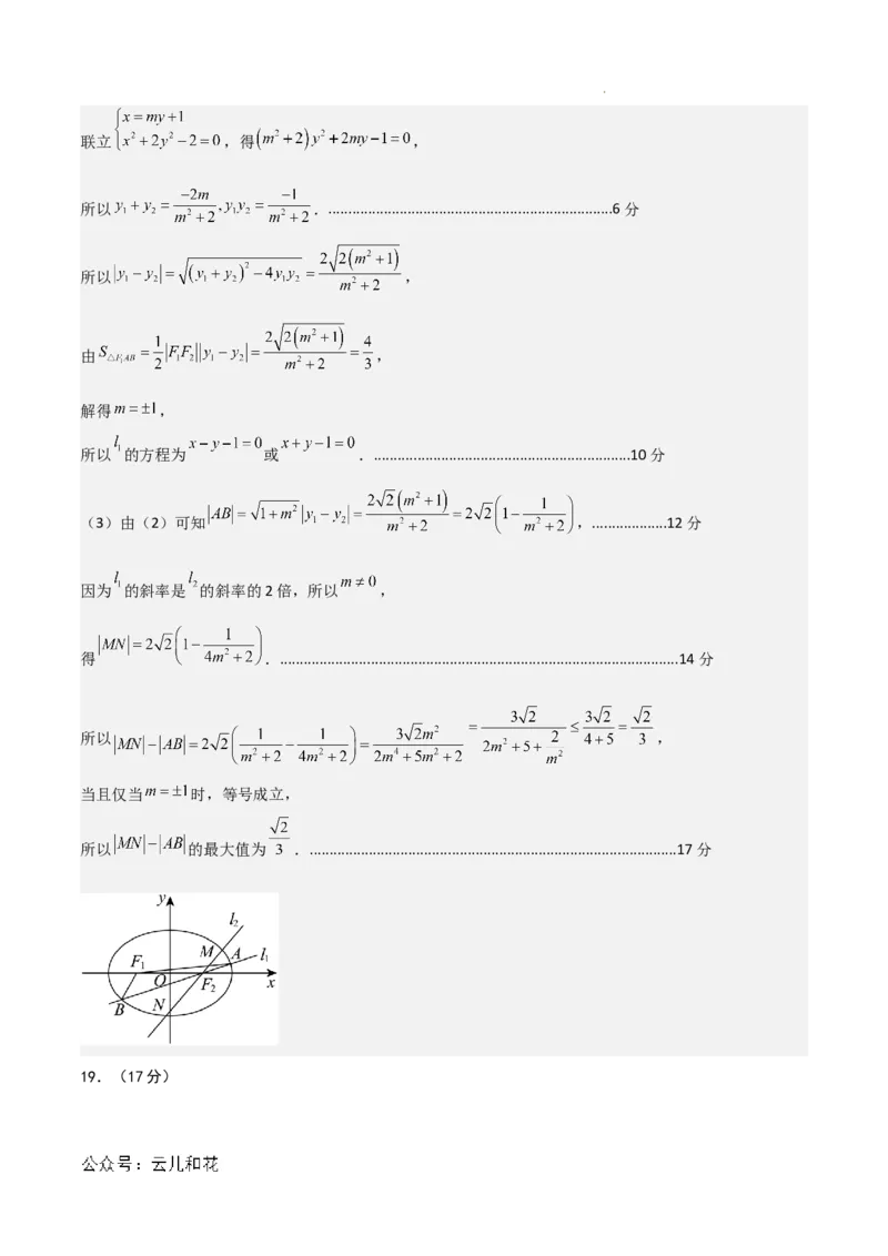
2024-2025 学年高二数学上学期期中模拟卷 参考答案 一、选择题:本题共8小题,每小题5分,共40分。在每小题给出的四个选项中,只有一项是符合题目要 求的。 1 2 3 4 5 6 7 8 C C B B B D A C 二、选择题:本题共3小题,每小题6分,共18分.在每小题给出的选项中,有多项符合题目要求.全部 选对的得6分,部分选对的得部分分,有选错的得0分. 9 10 11 BD BC ACD 三、填空题:本题共3小题,每小题5分,共15分. 12.7 13. / 14.(1,0); 四、解答题:本题共5小题,共77分.解答应写出文字说明、证明过程或演算步骤. 15.(13分) 【详解】(1)因为 , 的中点为 ,且直线 的斜率 , 则线段 的垂直平分线所在直线的方程为 ,.............................................................3分 联立方程 ,解得 ,.....................................................................................5分 即圆心 , , 所以,圆 的方程为 ..............................................................................................7分 (2)因为直线 被曲线 截得弦长为 , 则圆心到直线的距离 ,...............................................................................................10分 学科网(北京)股份有限公司由点到直线的距离公式可得 ,解得 ...........................................................13分 16.(15分) 【详解】(1)因为双曲线E的渐近线方程为 . 所以 ,解得 ,从而 ,即 ,...................................3分 所以右焦点为(2,0),从而 ,解得 , 抛物线C的标准方程和双曲线E的标准方程依次分别为 , ..........................6分 (2) 由题意直线 ,它过抛物线的焦点(2,0), 联立抛物线方程得 ,化简并整理得 , 显然 , , 所以 ,.................................................................................10分 点 到直线 的距离为 ,.....................................................................12分 所以 ,即 的面积为 .............................................15分 17.(15分) 学科网(北京)股份有限公司【详解】(1)证明:过 作 于 , 因为 ,所以 与 相交, 因为平面 平面 ,平面 平面 , 平面 , 所以 平面 ,...........................................................................................................2分 因为 平面 ,所以 , 因为 , 与 相交, 平面 , 所以 平面 ;.......................................................................................................4分 (2)取 的中点 ,连接 , 因为 , ,所以 , 因为 ,所以 为等边三角形, , 所以 ,因为 ,所以 , 因为 平面 , 平面 ,所以 , 所以 两两垂直,.....................................................................................................6分 所以以 为原点, 所在的直线分别为 轴建立空间直角坐标系, 因为 , 所以 , 所以 ,...............................................................................8分 因为 , , , 平面 所以 平面 ,所以 为平面 的一个法向量, 设直线 与平面 所成角为 ,则 .......................................................................................................11分 (3)因为 , 学科网(北京)股份有限公司所以 , 设平面 的法向量为 ,则 ,令 ,则 ,...........................................13分 设平面 的法向量为 ,则 ,令 ,则 ,.................................................15分 所以 , 因为二面角 为钝角, 所以二面角 的余弦值为 ...............................................................................17分 18.(17分) 【详解】(1)设椭圆的半焦距为 ,由题意知 ,所以 , 的周长为 ,所以 , 所以 , 故 的方程为 ...........................................................................................4分 (2)易知 的斜率不为0,设 , 学科网(北京)股份有限公司联立 ,得 , 所以 .........................................................................6分 所以 , 由 , 解得 , 所以 的方程为 或 ..................................................................10分 (3)由(2)可知 ,...................12分 因为 的斜率是 的斜率的2倍,所以 , 得 ......................................................................................................14分 所以 , 当且仅当 时,等号成立, 所以 的最大值为 ..............................................................................................17分 19.(17分) 学科网(北京)股份有限公司【详解】(1) ,.............................1分 , ;.........................................................4分 (2)设 ,由题意得: , 即 ,而 表示的图形是正方形 , 其中 、 、 、 .................................................................6分 即点 在正方形 的边上运动, , , 可知:当 取到最小值时, 最大,相应的 有最大值. 因此,点 有如下两种可能: ①点 为点 ,则 ,可得 ;.................8分 ②点 在线段 上运动时,此时 与 同向,取 , 则 . 因为 ,所以 的最大值为 ...............................................................12分 学科网(北京)股份有限公司(3)易知 ,设 ,则 ..............14分 当 时, ,则 , ,满足题意; 当 时, , 由分段函数性质可知 , 又 且 恒成立,当且仅当 时等号成立. 综上,满足条件的直线有且只有两条, 和 ..........................................................................17分 学科网(北京)股份有限公司