当前位置:首页>文档>黑龙江省牡丹江、鸡西地区朝鲜族学校2021年中考化学试题(原卷版)_中考真题_5.化学中考真题2015-2024年_2021年中考化学真题(83份)_朝鲜族化学

黑龙江省牡丹江、鸡西地区朝鲜族学校2021年中考化学试题(原卷版)_中考真题_5.化学中考真题2015-2024年_2021年中考化学真题(83份)_朝鲜族化学

  • 2026-04-08 20:05:26 2026-02-11 04:00:20

文档预览

黑龙江省牡丹江、鸡西地区朝鲜族学校2021年中考化学试题(原卷版)_中考真题_5.化学中考真题2015-2024年_2021年中考化学真题(83份)_朝鲜族化学
黑龙江省牡丹江、鸡西地区朝鲜族学校2021年中考化学试题(原卷版)_中考真题_5.化学中考真题2015-2024年_2021年中考化学真题(83份)_朝鲜族化学
黑龙江省牡丹江、鸡西地区朝鲜族学校2021年中考化学试题(原卷版)_中考真题_5.化学中考真题2015-2024年_2021年中考化学真题(83份)_朝鲜族化学
黑龙江省牡丹江、鸡西地区朝鲜族学校2021年中考化学试题(原卷版)_中考真题_5.化学中考真题2015-2024年_2021年中考化学真题(83份)_朝鲜族化学
黑龙江省牡丹江、鸡西地区朝鲜族学校2021年中考化学试题(原卷版)_中考真题_5.化学中考真题2015-2024年_2021年中考化学真题(83份)_朝鲜族化学
黑龙江省牡丹江、鸡西地区朝鲜族学校2021年中考化学试题(原卷版)_中考真题_5.化学中考真题2015-2024年_2021年中考化学真题(83份)_朝鲜族化学
黑龙江省牡丹江、鸡西地区朝鲜族学校2021年中考化学试题(原卷版)_中考真题_5.化学中考真题2015-2024年_2021年中考化学真题(83份)_朝鲜族化学
黑龙江省牡丹江、鸡西地区朝鲜族学校2021年中考化学试题(原卷版)_中考真题_5.化学中考真题2015-2024年_2021年中考化学真题(83份)_朝鲜族化学
黑龙江省牡丹江、鸡西地区朝鲜族学校2021年中考化学试题(原卷版)_中考真题_5.化学中考真题2015-2024年_2021年中考化学真题(83份)_朝鲜族化学
黑龙江省牡丹江、鸡西地区朝鲜族学校2021年中考化学试题(原卷版)_中考真题_5.化学中考真题2015-2024年_2021年中考化学真题(83份)_朝鲜族化学
黑龙江省牡丹江、鸡西地区朝鲜族学校2021年中考化学试题(原卷版)_中考真题_5.化学中考真题2015-2024年_2021年中考化学真题(83份)_朝鲜族化学
黑龙江省牡丹江、鸡西地区朝鲜族学校2021年中考化学试题(原卷版)_中考真题_5.化学中考真题2015-2024年_2021年中考化学真题(83份)_朝鲜族化学
黑龙江省牡丹江、鸡西地区朝鲜族学校2021年中考化学试题(原卷版)_中考真题_5.化学中考真题2015-2024年_2021年中考化学真题(83份)_朝鲜族化学
黑龙江省牡丹江、鸡西地区朝鲜族学校2021年中考化学试题(原卷版)_中考真题_5.化学中考真题2015-2024年_2021年中考化学真题(83份)_朝鲜族化学
黑龙江省牡丹江、鸡西地区朝鲜族学校2021年中考化学试题(原卷版)_中考真题_5.化学中考真题2015-2024年_2021年中考化学真题(83份)_朝鲜族化学

文档信息

文档格式
doc
文档大小
0.353 MB
文档页数
11 页
上传时间
2026-02-11 04:00:20

文档内容

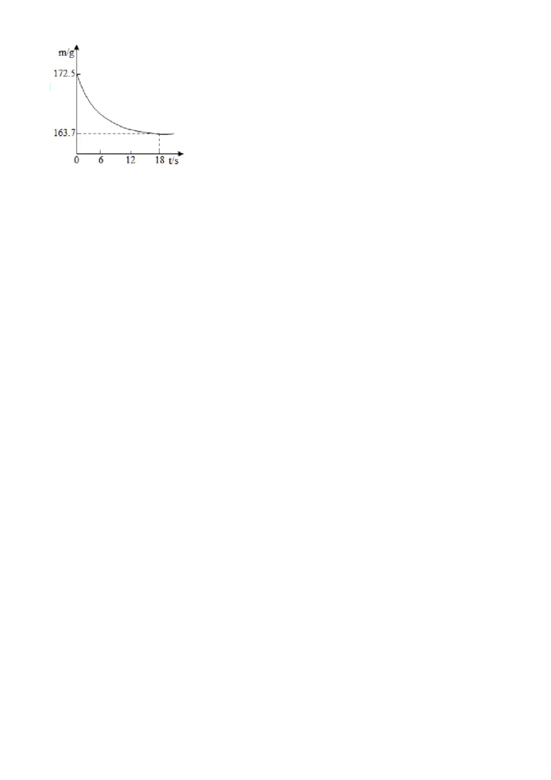
牡丹江、鸡西地区朝鲜族学校 2021 年高中升学考试 化学试卷 考生注意: 1.考试时间90分钟 2.全卷共5道大题,总分100分 可能用到相对原子质量:H:1 O:16 C:12 N:14 Ca:40 K:39 Fe:56 P:31 一、选择题(本题共17道小题,每题2分,共34分,1-14题只有一个正确答案,15-17题有 一个或二个正确答案,漏选得一分多选或错选不得分。 1. 下列生活现象属于化学变化的是 A. 冰雪融化 B. 食物腐烂 C. 水力发电 D. 湿衣晒干 2. 下列物质中,不属于氧化物的是 A. 干冰 B. 生石灰 C. 蒸馏水 D. 纯碱 3. 下列图示的“错误”操作,与相应选项“可能产生的后果”不一致的是 A. 标签受损 B. 不会产生氧气 C. 引起火灾 D. 读数不正确 4. 人体吸入的O 有2%转化为活性氧,它加速人体衰老,被称为“夺命杀手”。我国科学家尝试用Na SeO 2 2 3清除人体内的活性氧,Na SeO 中的Se(硒)元素的化合价是 2 3 A. +2 B. +4 C. +6 D. -2 5. 如图是四种粒子的结构示意图,下列有关说法正确的是( ) A. ④表示的粒子属于金属元素 B. ①表示的粒子在化学反应中易失电子 C. ①②③④表示四种不同元素 D. ②④所表示的粒子化学性质相似 6. 在农业生产中施用的下列化肥属于氮肥的是 A. 碳酸钾KCO 2 3 B. 氯化钾KCl C. 硫酸钾KSO 2 4 D. 硝酸铵NH NO 4 3 7. 下列有关实验现象的描述正确的是 A. 硫在空气中燃烧,发出蓝紫色火焰 B. 红磷在空气中燃烧,产生白色烟雾 C. 把打磨过的铝丝放入硫酸铜溶液中,铝表面出现红色物质,溶液由蓝色变为无色 D. 电解水实验中,正、负极两端玻璃管内收集到的气体体积比为2:1 8. 分析和推理是学习和研究化学的重要方法。下列说法正确的是 A. 有机物一定含有碳元素,则含碳的化合物也一定是有机物 B. 同种元素的原子质子数相同,则质子数相同的原子一定是同种元素 C. 氧化物一定含有氧元素,则含有氧元素的化合物一定是氧化物 D. 中和反应能生成盐和水,则生成盐和水的反应一定是中和反应 9. 实验室用浓盐酸和二氧化锰制取氯气,反应的化学方程式为:MnO +4HCl(浓) X+Cl ↑+2H O,则X的 2 2 2 化学式为 A. MnCl B. ClO C. MnCl D. HClO 2 2 4 10. 如图某反应的微观示意图,不同的球代表不同元素的原子,下列说法正确的是( )A. 化学反应前后,分子种类不变 B. 参加反应的 和 的微粒个数比是1:1 C. 反应涉及的物质中,只有 属于氧化物 D. 在化学变化中,分子可分,原子不可分 11. 煤气厂常在家用煤气(含有一氧化碳)中掺入微量具有难闻气味的乙硫醇(C H S),一旦煤气泄漏, 2 6 容易引起人们警觉。下列关于乙硫醇的说法正确的是 A. 乙硫醇由碳、氢、硫三种元素组成 B. 乙硫醇中含有硫单质 C. 乙硫醇由9个原子构成 D. 乙硫醇中氢元素质量分数最大 12. 化学促进了人类文明的进步和发展,下列事实与化学发挥的作用不符合的是 A. 生产化学肥料和农药——解决环境污染问题 B. 研发新型药物治疗困扰人类的癌症——用化学解决疑难病救治的问题 C. 研发新能源汽车,减少化石燃料燃烧——解决能源危机和环境污染问题 D. 研制可降解塑料——解决“白色污染”问题 13. 实验室有四瓶失去标签的无色溶液,分别是碳酸钠溶液、氯化钡溶液、硫酸钠溶液和稀盐酸中的一种。 为了鉴别它们,将上述溶液分别标记为甲、乙、丙、丁,做如下实验:各取少许,将甲分别滴加到另外三 种溶液中,观察到乙和丁中产生白色沉淀,丙中无明显现象。据此可判断甲是( ) A. 碳酸钠溶液 B. 氯化钡溶液 C. 硫酸钠溶液 D. 稀盐酸 14. 下图为A、B、C三种物质的溶解度曲线,请据图判断下列叙述中不正确的是( ) A. t ℃时,B物质的溶解度为40g 1B. t ℃时,三种物质的溶解度由大到小的顺序为A>B>C 2 C. 要将C的不饱和溶液转化为饱和溶液可以采取降温的方法 D. 要使A从其浓溶液中析出,可采用冷却热饱和溶液的方法 15. 分离与提纯是获得物质的重要方法。下列实验设计能达到实验目的的是 实验目的 实验设计 除去碳酸钠固体中的少量碳酸氢 A 加热至固体质量不再发生变化 钠 B 除去氯化钠固体中的少量碳酸钠 先加足量水溶解,再加适量稀硫酸,蒸发结晶 C 除去硝酸钾溶液中的少量硫酸钾 加入过量的硝酸钡溶液,过滤 D 除去铜粉中混有的少量锌粉 加入过量的稀盐酸,过滤、洗涤、干燥 A. A B. B C. C D. D 16. 能在水中大量共存的一组离子是 A. 、Na+、C1﹣、 B. H+、Na+、 、 C. K+、Ba2+、OH﹣、 D. K+、Ag+、 、C1﹣ 17. 下列图像能够正确反映其对应变化关系的是 A. 将浓硫酸露置在空气中一段时间B. 向等质量等质量分数的稀硫酸中,分别加入足量的铁粉和锌粉 C. 向等质量的氧化镁、氢氧化镁中,分别加入质量分数相同的稀盐酸至过量 D. 向一定质量的饱和石灰水中,加入足量的生石灰 二、填空题(本题共有4道题,每空1分,共22分) 18. 用适当的元素符号或元素符号与数字的组合填空: (1)①地壳中含量最高的元素___________; ②2个硫原子___________; ③3个钠离子___________; ④标出氧化钙中钙元素的化合价___________; (2)2NH 中的“2”表示___________;Ca2+中的“2”表示___________ 3 19. 生活中蕴含着丰富的化学知识。请回答下列问题: (1)天然气主要成分是___________(填写名称); (2)普通干电池采用石墨作为电极材料,是利用其优良的___________性; (3)生活用水多是硬水,生活中常用___________的方法降低水的硬度; (4)铝是生活中常见的金属之一,可以加工成铝箔,体现了金属的___________性; (5)目前有些城市的出租车已改用车用乙醇汽油作燃料,以减少对空气的污染。请写出乙醇燃烧的化学 方程式:___________; (6)碳化硅(SiC)广泛应用于功能陶瓷。在高温下,可以用二氧化硅(SiO)和石墨粉反应制取碳化硅, 2 同时生成一种可燃性气体,该反应的化学方程式为___________。 (7)生活中用含有KIO 的食盐防止甲状腺肿大,KIO 中碘的化合价为___________价。 3 3(8)医生给胃酸过多的病人所开处方中,常包括含Al(OH) 的药物,试用化学方程式表示其治疗原理 3 ___________。 20. 进入冬季以来,我国局部地区出现了新冠疫情反弹情况,日常防疫成为重中之重! (1)活性炭口罩能有效阻隔空气中的氨、苯、甲醛等有害气体,其功能比普通口罩强大,原因是活性炭具有 ___________ 性。 (2)测量体温是防控的重要环节。温度计有多种,常用的体温计有水银温度计,温度升高,水银柱会上升, 从微观角度来解释是___________ (3)一次性口罩一般有三层,中间的一层是熔喷布,是制作口罩的核心材料,熔喷布主要以聚丙烯为主要原 料,其中聚丙烯是___________(填"无机非金属材料"或"有机合成材料")。 (4)居家隔离期间,大家纷纷学习制作各种美食,其中陕西凉皮成为抖音美食。凉皮的主要原料是面粉,面 粉中富含的主要有机营养素是___________ 21. 资源、能源、环境与人类的生活和社会发展密切相关。 (1)水是一种宝贵的自然资源。自来水厂常用氯气杀菌消毒,在此过程中发生反应: Cl+H O=HCl+HClO,HClO中氯元素的化合价为___________。 2 2 的 (2)天然气也是重要 化工原料。甲烷与二氧化碳在一定条件下反应会生成两种常见的可燃性气体,写 出该反应的化学方程式___________。 (3)金属钯属于稀有的贵重金属资源,是航天、航空等高科技领域以及汽车制造业不可缺少的关键材料。 如图是钯元素的相关信息,下列说法正确的是___________(填字母,下同)。 A.钯属于非金属元素 B.钯原子核内有46个质子 C.钯的相对原子质量为106.4g D.X=8 (4)“低碳”是一种生活理念,也是一种生活态度。下列做法不符合“低碳”要求的是___________。 A.纸张双面使用 B.尽量乘坐公共交通工具出行 C.提倡使用节约技术和节能产品D.大量使用化石燃料 三、推断题(本题共2道题,每空一分,共13分) 22. A、B、C、D、E是初中化学常见的物质,相互转化关系如图所示(“→”表示一种物质可以转化为另一 种物质,“﹣”表示相连两物质之间可以发生反应,部分反应物、生成物以及反应条件省略)。其中A是铁 锈的主要成分;B是一种生活中常见的金属单质;C、D、E分别属于盐、碱、酸类化合物;C与D、D与 E反应的生成物之一都是NaSO ,且C与D反应生成蓝色沉淀。请写出: 2 4 (1)物质A是___________(填化学式)物质B是___________(填名称)。 (2)B与C发生反应时,能观察到的实验现象是___________、___________。 (3)写出物质B与E、C与D发生反应的化学方程式: ___________、___________。 23. 小东同学在化学实验室中发现一瓶白色粉末A,其残损的标签显示A是一种常见的钠盐。他想确定其 成分,便取了少许固体A进行加热,发现它没有明显变化,又继续进行了如图所示的实验探究(假设所有 能发生的反应都充分进行;图中部分产物省略)。 (1)写出步骤③中发生反应的化学方程式:___________。 (2)溶液D中,肯定含有的阳离子为___________、___________(填粒子符号)。 (3)白色沉淀C和E分别为___________、___________(填化学式)。 (4)由上述实验探究可知白色粉末A是___________(填化学式)。 (5)根据步骤⑤中的实验现象,小东同学分析并推断出溶液A中还混有NaCl,小亮不同意他的观点,理 由是___________。四、实验题(本题共3小题,每空1分,共19分) 24. 实验是进行科学探究的主要方法,如图是初中化学常见实验装置。 (1)实验室制取氧气和二氧化碳的发生装置都可选用___________(填字母),用该装置制取氧气的化学 反应方程式为___________。 (2)装置B中使用分液漏斗的优点是___________。 (3)若要得到干燥的氧气,所选装置正确的连接顺序为:发生装置→___________(填字母)。将制得的 氧气通入装置G中,发现只有白磷燃烧,对比通氧气前后白磷与红磷的现象,说明可燃物燃娆需要满足的 条件是___________。 25. 科学探究和证据推理是化学学科的核心素养。学习小组对蓝绿色碱式碳酸铜晶体[Cu (OH)CO]的性 2 2 3 质进行实验探究,并基于证据进行推理分析。 Ⅰ、探究碱式碳酸铜受热的变化 【设计实验】学习小组设计了如图装置(夹持仪器已略去),并用于探究碱式碳酸铜的分解产物。注:无水硫酸铜为白色固体,遇水变蓝。 【实验过程】①在装置丙导管a处连接一导管,并插入水中,微热试管,观察到___________,说明整套装 置的气密性良好。 ②按图示加入样品和试剂,加热一段时间后,试管中固体变黑,澄清石灰水变浑浊。 【实验分析】(1)装置乙中的现象是___________。 (2)装置丙中发生反应的化学方程式为___________。 (3)根据现象可知,碱式碳酸铜受热可分解,分解产物有CO、CuO、___________。 2 的 (4)装置乙、丙位置不能互换 理由是___________。 Ⅱ、探究碱式碳酸铜与酸的作用 。 【实验过程】取少量样品于试管中,加水,固体不溶解 继续加入足量稀硫酸,有气泡产生,得到蓝色溶 液。 【实验结论】碱式碳酸铜能与硫酸发生反应,生成的盐为___________。 【拓展延伸】碱式盐在生活中应用广泛。碱式氯化铝[Al(OH)Cl]是一种高效净水剂。已知碱式氯化铝 2 5 与盐酸发生反应生成盐和常见 的溶剂,则此反应的化学方程式为:___________。 26. 某实验小组的同学用氢氧化钙溶液和盐酸进行酸碱中和反应的实验时,向烧杯中的氢氧化钙溶液加入 稀盐酸一会后,发现忘记了滴加指示剂。因此,他们停止滴加稀盐酸,并对烧杯内溶液中的溶质成分进行 探究。 Ⅰ、写出该中和反应的化学方程式:___________。 Ⅱ、探究烧杯内溶液中溶质的成分。 【提出问题】该烧杯内溶液中的溶质是什么? 【猜想】猜想一:可能是CaCl 和Ca(OH); 2 2 猜想二:可能只有CaCl ; 2 猜想三:___________。 【查阅资料】氯化钙溶液呈中性。【进行实验】 实验步骤 实验现象 实验结论 步骤1:取少量烧杯内溶液于试管 ___________。 猜想一不正确 中,滴入几滴酚酞溶液,振荡。 步骤2:取少量烧杯内溶液于另一 ___________,过一会有 猜想二不正确,猜 支试管中,逐滴加入碳酸钠溶液至 白色沉淀产生。 想三正确 过量。 【反思与拓展】 (1)实验步骤2中产生白色沉淀的化学方程式为___________。 (2)烧杯中的溶液未经处理直接倒入下水道,可能造成的危害是___________(写一条)。 (3)要处理烧杯内溶液,使其溶质只含有CaCl ,应向烧杯中加入过量的一种物质,该物质可以是 2 ___________(写化学式) 五、计算题(本题共2小题,每小题6分,共12分) 27. 我国是全球海域可燃冰试开采连续产气时间最长的国家。已知某种可燃冰的化学式为CH •8H O,请回 4 2 答下列问题。 的 (1)这种可燃冰 相对分子质量是_____; (2)这种可燃冰中各元素的质量比为C:H:O=_____(填最简整数比) (3)这种可燃冰中碳元素的质量分数为_____。 28. 某公司生产出的纯碱经检测只含有氯化钠杂质。为测定该纯碱样品中碳酸钠的质量分数,称取26.5g该 样品,加入到盛有一定质量稀盐酸的烧杯中,恰好完全反应。反应过程中测得烧杯内混合物的质量(m) 与反应时间(t)的关系如图所示。 试分析并计算: (1)生成CO 的质量为___________。 2 (2)该纯碱样品中NaCO 的质量分数。 2 3