当前位置:首页>文档>山西省长治市2025-2026学年高三上学期9月质量监测数学试题答案_2025年9月_250922山西省长治市2025-2026学年高三上学期9月质量监测(全科)

山西省长治市2025-2026学年高三上学期9月质量监测数学试题答案_2025年9月_250922山西省长治市2025-2026学年高三上学期9月质量监测(全科)

  • 2026-04-18 09:07:36 2026-02-11 06:28:10

文档预览

山西省长治市2025-2026学年高三上学期9月质量监测数学试题答案_2025年9月_250922山西省长治市2025-2026学年高三上学期9月质量监测(全科)
山西省长治市2025-2026学年高三上学期9月质量监测数学试题答案_2025年9月_250922山西省长治市2025-2026学年高三上学期9月质量监测(全科)
山西省长治市2025-2026学年高三上学期9月质量监测数学试题答案_2025年9月_250922山西省长治市2025-2026学年高三上学期9月质量监测(全科)
山西省长治市2025-2026学年高三上学期9月质量监测数学试题答案_2025年9月_250922山西省长治市2025-2026学年高三上学期9月质量监测(全科)
山西省长治市2025-2026学年高三上学期9月质量监测数学试题答案_2025年9月_250922山西省长治市2025-2026学年高三上学期9月质量监测(全科)
山西省长治市2025-2026学年高三上学期9月质量监测数学试题答案_2025年9月_250922山西省长治市2025-2026学年高三上学期9月质量监测(全科)

文档信息

文档格式
pdf
文档大小
0.298 MB
文档页数
3 页
上传时间
2026-02-11 06:28:10

文档内容

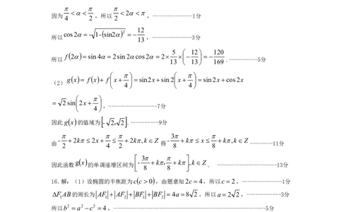
长治市 2025-2026 学年度第一学期高三九月份质量监测 数学答案 一、BAACC DBA 二、ABD BD ACD 3 10 三、12. 135°(或 ) 13. - 14.19 4 10 5 5   f  sin2 四、15.解:(1)若 ,则 , 13 13      2 因为 ,所以 ,--------------1分 4 2 2 12 cos2- 1-  sin2 2  所以 ,--------------3分 13 5  12 120   f 2 sin4 2sin2cos2 2    所以 .----------5分 13  13 169         g x  f x  fx sin2xsin2x sin2xcos2x (2)  4   4     2sin2x  ,-----------------7分  4   因此g  x  的值域为 - 2,2 .----------9分    3  - 2k 2x  2k,kZ - k x k,kZ 由 得 --------11分 2 4 2 8 8  3   g  x  - k, k ,kZ 因此函数 的单调递增区间为  . ---------------------13分  8 8    16.解:(1)设椭圆的半焦距为c c0 ,由题意知2c4,所以c2,--------------1分 F AB的周长为 AF  AF  BF  BF 4a 8 2,所以a 2 2,------------3分 1 1 2 1 2 所以b2 a2 c2 4,-----------------------------------------------------5分 x2 y2 故C的方程为  1.---------------------------------------------------6分 8 4 (2)设l:xmy2, xmy2    联立x2 y2 ,可得 m2 2 y2 4my40, 0,---------------------8分   1  8 4 4m 4 设Ax ,y ,Bx ,y ,所以y  y  ,y y  ,----------10分 1 1 2 2 1 2 m2 2 1 2 m2 2   4 2 m2 1 所以 y  y   y  y 2 4y y  ,-------------------------- 12分 1 2 1 2 1 2 m2 2 {#{QQABbYAEggigApBAARhCEQVSCkKQkBCAAYoGwAAQoAAASRNABAA=}#}  1 8 2 m2 1 16 由S  FF y  y   ,------------------------------13分 F 1 AB 2 1 2 1 2 m2 2 3 解得m  1, ------------------------------------------------------------14分 所以l的方程为x y20或x y20.----------------------------------15分 17.解:(1)证明:A A⊥平面ABCD,AB⊂平面ABCD, 1 ∴A A⊥AB, 1 AB⊥AD,AD A A A,AD,A A⊂平面ADD A , 1 = 1 1 1 ∴AB⊥平面ADD A , 1 1 AB⊂平面ABBA , 1 1 平面ABBA 平面ADD A .------------- 4分 ∴ 1 1 1 1 (2)(ⅰ)由题意得,AB,AD,AA 两两垂直,分别以AB,AD,AA 为x,y,z轴,建立空间直角坐 1 1 标系A-xyz,则B( 2,0,0),C( 2,2,0),D(0, 3 1,0),A(0,0, 2),设球心O(x,y,z),半径 + 1 为R, 则OA OB OC OD R ,即 1 = = = =  x2  y2 (z 2)2  R  x0    (x 2)2  y2 z2  R y 1  ,解得   x 2  2 (y2)2 z2  R  z 0   R  3   x2 (y 31)2 z2  R O(0,1,0),O平面ABCD. -------------9分 (ⅱ)由(ⅰ)得A(0,0,0),C( 2,2,0),O(0,1,0),A(0,0, 2), 1 则OA (0,-1, 2),AC ( 2,2,- 2),AA (0,0, 2),-------------10分 1 1 1  设平面A AC的法向量m(x,y,z), 1    mAC  2x2y 2z 0   1 ,令x 2,得m( 2,1,0),   mAA  2z 0 1  同理可求平面ACO的一个法向量n ( 2,2, 2), 1     mn 6 cos m,n     , m n 3 3 二面角A-AC-O的正弦值为 . -------------15分 1 3 x1 18. 解:(1)由 0得1 x1,所以 f(x)的定义域为(1,1), 1x x1 1x  f(x) f(x)ln ln bx3 b(x)3 axa(x)2a 1x 1x ln12a 2a,  y  f(x)关于点(0,a)中心对称. ------3分 2 2 (2)当b0时, f(x) a0恒成立, 则a 恒成立, 1x2 x2 -1 2 x(1,1),x2 1  1,0  , 2, a2,即a的最小值为-2.-----8分 x2 1 (3)由(1)可知 f(x)关于(0,a)对称,a 2, x1  f(x)ln bx3 2x2, 1x 2 3bx4 (3b2)x2 x2(3bx2 3b2) f(x) 3bx2 2  , 1x2 1x2 1x2 -----11分 x2  0, 令g(x)3bx2 3b2,g(0)3b2,g(1)2, 1x2 {#{QQABbYAEggigApBAARhCEQVSCkKQkBCAAYoGwAAQoAAASRNABAA=}#}2 当b 时,g(0)0, x(0,1)时,g(x)0恒成立, f(x)0, 3  f(x)在(0,1)上单调递增  f(0)2,  f(x)2的解集为  x0 x1  ,满足 题意. 2 当b 时, g(0)0, x (0,1)使得 g(x )0, 3 0 0 x(0,x ) 时g(x)0,即 f(x)0, f(x)单调递减;x(x ,1) 时g(x)0, 即 0 0 f(x)0, f(x)单调递增.  f(0)2 x(0,x )时 f(x)2,不满足题意. 0 2 综上所述, b . -------------17分 3 19.解:(1)设事件A为“某市民使用了3次共享交通工具后积分为5分”,则 1 2 4 P  A  C1 ( )2  . -------------3分 3 3 3 9 (2)依题意:随机变量的可能取值为3,4,5,6, 则 1 1 2 1 6 2 P(3)C0( )3  , P(4)C1 ( )2   , 3 3 27 3 3 3 27 9 1 2 12 4 2 8 P(5)C1 ( )2   , P(6)C3( )3  . 3 3 3 27 9 3 3 27 的分布列为 3 4 5 6 1 2 4 8 27 9 9 27 1 2 4 8 所以数学期望E()3 4 5 6 5. ----------- 9分 27 9 9 27 (3)方法1:已调查过的累计积分恰为n分的概率为B ,积不到n分的情况只有先积n1分, n 2 1 再积2分,概率为 B ,其中 B  , 3 n1 1 3 2 2     因为B  B 1n2 ,即B - B 1n2 , -----------12分 n 3 n1 n 3 n1 3 2 3 所以B   (B  ), -----------13分 n 5 3 n1 5  3 3 4 2 故B  是首项为B   ,公比为 的等比数列,  n 5 1 5 15 3 3 4 2 3 4 2 所以B   ( )n1,即B   ( )n1. -----------17分 n 5 15 3 n 5 15 3 1 2 方法2:由题意可知B  B  B (n3), n 3 n1 3 n2 2 2 2 2 1 1 2 1 则 B  B  B  B (n3),因为B  B (   )  1, n 3 n1 n1 3 n2 2 3 1 3 3 3 3 3 2 2   所以B  B 1(n2),即B - B 1n2 -----------12分 n 3 n1 n 3 n1 3 2 3 所以B   (B  ), -----------13分 n 5 3 n1 5  3 3 4 2 故B  是首项为B   ,公比为 的等比数列,  n 5 1 5 15 3 3 4 2 3 4 2 所以B   ( )n1, 即B   ( )n1 . -----------17分 n 5 15 3 n 5 15 3 {#{QQABbYAEggigApBAARhCEQVSCkKQkBCAAYoGwAAQoAAASRNABAA=}#}