当前位置:首页>文档>辽宁物理-试题-p_近10年高考真题汇编(必刷)_2024年高考真题_高考真题(截止6.29)_辽宁卷副科(黑龙江、辽宁、吉林)(6科全)

辽宁物理-试题-p_近10年高考真题汇编(必刷)_2024年高考真题_高考真题(截止6.29)_辽宁卷副科(黑龙江、辽宁、吉林)(6科全)

  • 2026-04-14 23:16:09 2026-02-12 02:29:17

文档预览

辽宁物理-试题-p_近10年高考真题汇编(必刷)_2024年高考真题_高考真题(截止6.29)_辽宁卷副科(黑龙江、辽宁、吉林)(6科全)
辽宁物理-试题-p_近10年高考真题汇编(必刷)_2024年高考真题_高考真题(截止6.29)_辽宁卷副科(黑龙江、辽宁、吉林)(6科全)
辽宁物理-试题-p_近10年高考真题汇编(必刷)_2024年高考真题_高考真题(截止6.29)_辽宁卷副科(黑龙江、辽宁、吉林)(6科全)
辽宁物理-试题-p_近10年高考真题汇编(必刷)_2024年高考真题_高考真题(截止6.29)_辽宁卷副科(黑龙江、辽宁、吉林)(6科全)
辽宁物理-试题-p_近10年高考真题汇编(必刷)_2024年高考真题_高考真题(截止6.29)_辽宁卷副科(黑龙江、辽宁、吉林)(6科全)
辽宁物理-试题-p_近10年高考真题汇编(必刷)_2024年高考真题_高考真题(截止6.29)_辽宁卷副科(黑龙江、辽宁、吉林)(6科全)
辽宁物理-试题-p_近10年高考真题汇编(必刷)_2024年高考真题_高考真题(截止6.29)_辽宁卷副科(黑龙江、辽宁、吉林)(6科全)
辽宁物理-试题-p_近10年高考真题汇编(必刷)_2024年高考真题_高考真题(截止6.29)_辽宁卷副科(黑龙江、辽宁、吉林)(6科全)
辽宁物理-试题-p_近10年高考真题汇编(必刷)_2024年高考真题_高考真题(截止6.29)_辽宁卷副科(黑龙江、辽宁、吉林)(6科全)
辽宁物理-试题-p_近10年高考真题汇编(必刷)_2024年高考真题_高考真题(截止6.29)_辽宁卷副科(黑龙江、辽宁、吉林)(6科全)

文档信息

文档格式
docx
文档大小
0.763 MB
文档页数
6 页
上传时间
2026-02-12 02:29:17

文档内容

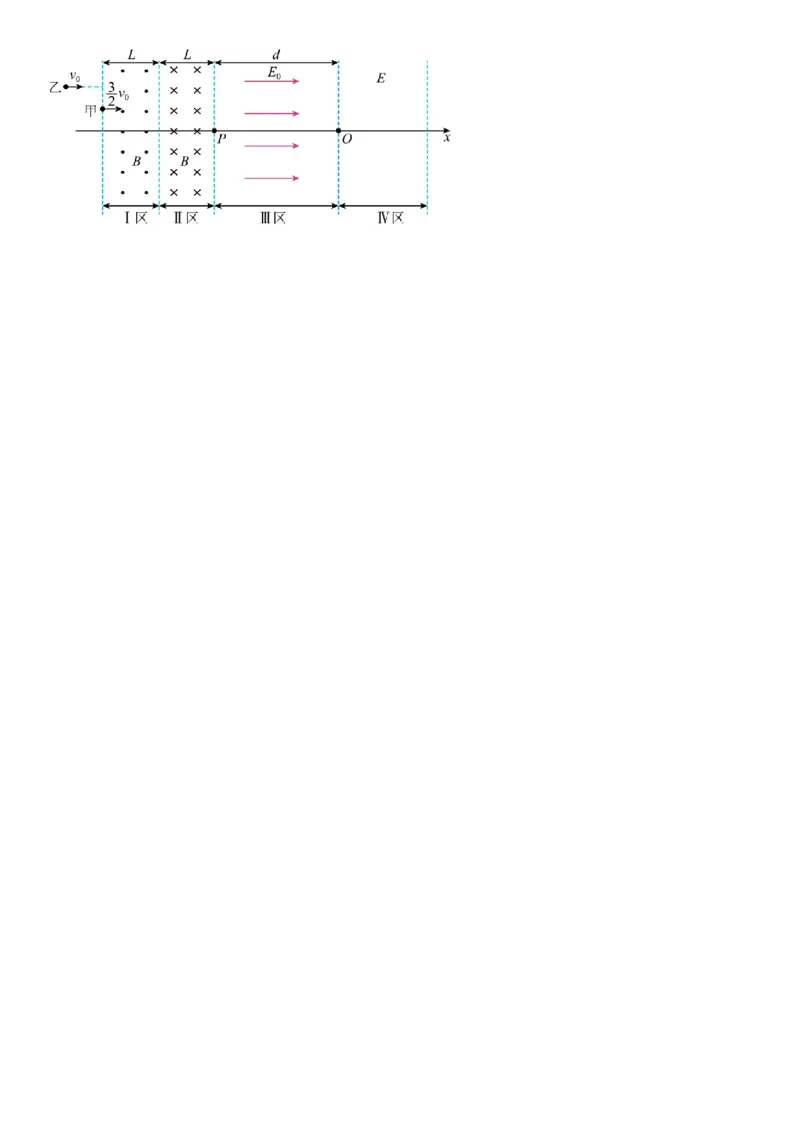
2024年高考辽宁卷物理 一、单选题 1.2024年5月3日,长征五号遥八运载火箭托举嫦娥六号探测器进入地月转移轨道,火箭升空过程中,以下描述 其状态的物理量属于矢量的是( ) A.质量 B.速率 C.动量 D.动能 2.“指尖转球”是花式篮球表演中常见的技巧。如图,当篮球在指尖上绕轴转动时,球面上P、Q两点做圆周运 动的( ) A.半径相等 B.线速度大小相等 C.向心加速度大小相等 D.角速度大小相等 3.利用砚台将墨条研磨成墨汁时讲究“圆、缓、匀”,如图,在研磨过程中,砚台始终静止在水平桌面上。当墨 条的速度方向水平向左时,( ) A.砚台对墨条的摩擦力方向水平向左 B.桌面对砚台的摩擦力方向水平向左 C.桌面和墨条对砚台的摩擦力是一对平衡力 D.桌面对砚台的支持力与墨条对砚台的压力是一对平衡力 4.某同学自制双缝干涉实验装置,在纸板上割出一条窄缝,于窄缝中央沿缝方向固定一根拉直的头发丝形成双缝, 将该纸板与墙面平行放置,如图所示。用绿色激光照双缝,能在墙面上观察到干涉条纹。下列做法可以使相邻两 条亮纹中央间距变小的是( ) A.换用更粗的头发丝 B.换用红色激光照双缝 C.增大纸板与墙面的距离 D.减小光源与纸板的距离 5.某种不导电溶液的相对介电常数 与浓度 的关系曲线如图(a)所示,将平行板电容器的两极板全部插入该 溶液中,并与恒压电源,电流表等构成如图(b)所示的电路,闭合开关S后,若降低溶液浓度,则( )A.电容器的电容减小 B.电容器所带的电荷量增大 C.电容器两极板之间的电势差增大 D.溶液浓度降低过程中电流方向为M→N 6.在水平方向的匀强电场中,一带电小球仅在重力和电场力作用下于竖直面(纸面)内运动。如图,若小球的初 速度方向沿虚线,则其运动轨迹为直线,若小球的初速度方向垂直于虚线,则其从O点出发运动到O点等高处的 过程中( ) A.动能减小,电势能增大 B.动能增大,电势能增大 C.动能减小,电势能减小 D.动能增大,电势能减小 7.如图(a),将一弹簧振子竖直悬挂,以小球的平衡位置为坐标原点O,竖直向上为正方向建立x轴。若将小球 从弹簧原长处由静止释放,其在地球与某球状天体表面做简谐运动的图像如(b)所示(不考虑自转影响),设地 球、该天体的平均密度分别为 和 ,地球半径是该天体半径的n倍。 的值为( ) A. B. C. D. 二、多选题 8.X射线光电子能谱仪是利用X光照射材料表面激发出光电子,并对光电子进行分析的科研仪器,用某一频率的 X光照射某种金属表面,逸出了光电子,若增加此X光的强度,则( ) A.该金属逸出功增大 B.X光的光子能量不变 C.逸出的光电子最大初动能增大 D.单位时间逸出的光电子数增多 9.如图,两条“∧”形的光滑平行金属导轨固定在绝缘水平面上,间距为L,左、右两导轨面与水平面夹角均为 30°,均处于竖直向上的匀强磁场中,磁感应强度大小分别为2B和B。将有一定阻值的导体棒ab、cd放置在导轨 上,同时由静止释放,两棒在下滑过程中始终与导轨垂直并接触良好,ab、cd的质量分别为2m和m,长度均为 L。导轨足够长且电阻不计,重力加速度为g,两棒在下滑过程中( )A.回路中的电流方向为abcda B.ab中电流趋于 C.ab与cd加速度大小之比始终为2︰1 D.两棒产生的电动势始终相等 10.一足够长木板置于水平地面上,二者间的动摩擦因数为μ。 时,木板在水平恒力作用下,由静止开始向右 运动。某时刻,一小物块以与木板等大、反向的速度从右端滑上木板。已知 到 的时间内,木板速度v随 时间t变化的图像如图所示,其中g为重力加速度大小。 时刻,小物块与木板的速度相同。下列说法正确的 是( ) A.小物块在 时刻滑上木板 B.小物块和木板间动摩擦因数为2μ C.小物块与木板的质量比为3︰4 D. 之后小物块和木板一起做匀速运动 三、实验题 11.某探究小组要测量电池的电动势和内阻。可利用的器材有:电压表、电阻丝、定值电阻(阻值为 )、金属 夹、刻度尺、开关S、导线若干。他们设计了如图所示的实验电路原理图。 (1)实验步骤如下: ①将电阻丝拉直固定,按照图(a)连接电路,金属夹置于电阻丝的 。(填“A”或“B”)端; ②闭合开关S,快速滑动金属夹至适当位置并记录电压表示数U,断开开关S,记录金属夹与B端的距离L; ③多次重复步骤②,根据记录的若干组U、L的值,作出图(c)中图线Ⅰ; ④按照图(b)将定值电阻接入电路,多次重复步骤②,再根据记录的若干组U、L的值,作出图(c)中图线Ⅱ。(2)由图线得出纵轴截距为b,则待测电池的电动势 。 (3)由图线求得Ⅰ、Ⅱ的斜率分别为 、 ,若 ,则待测电池的内阻 (用 和 表示)。 12.图(a)为一套半圆拱形七色彩虹积木示意图,不同颜色的积木直径不同。某同学通过实验探究这套积木小幅 摆动时周期T与外径D之间的关系。 (1)用刻度尺测量不同颜色积木的外径D,其中对蓝色积木的某次测量如图(b)所示,从图中读出 。 (2)将一块积木静置于硬质水平桌面上,设置积木左端平衡位置的参考点O,将积木的右端按下后释放,如图(c) 所示。当积木左端某次与O点等高时记为第0次并开始计时,第20次时停止计时,这一过程中积木摆动了 个周期。 (3)换用其他积木重复上述操作,测得多组数据。为了探究T与D之间的函数关系,可用它们的自然对数作为横、 纵坐标绘制图像进行研究,数据如下表所示: 颜色 红 橙 黄 绿 青 蓝 紫 2.9392 2.7881 2.5953 2.4849 2.197 ⋯ 1.792 根据表中数据绘制出 图像如图(d)所示,则T与D的近似关系为 。 A. B. C. D. (4)请写出一条提高该实验精度的改进措施: 。 四、解答题13.如图,理想变压器原、副线圈的匝数比为n:n = 5:1,原线圈接在电压峰值为U 的正弦交变电源上,副 1 2 m 线圈的回路中接有阻值为R的电热丝,电热丝密封在绝热容器内,容器内封闭有一定质量的理想气体。接通电路 开始加热,加热前气体温度为T。 0 (1)求变压器的输出功率P; (2)已知该容器内的气体吸收的热量Q与其温度变化量ΔT成正比,即Q = CΔT,其中C已知。若电热丝产生的 热量全部被气体吸收,要使容器内的气体压强达到加热前的2倍,求电热丝的通电时间t。 14.如图,高度 的水平桌面上放置两个相同物块A、B,质量 。A、B间夹一压缩量 的轻弹簧,弹簧与A、B不栓接。同时由静止释放A、B,弹簧恢复原长时A恰好从桌面左端沿水平方 向飞出,水平射程 ;B脱离弹簧后沿桌面滑行一段距离 后停止。A、B均视为质点,取重力加 速度 。求: (1)脱离弹簧时A、B的速度大小 和 ; (2)物块与桌面间的动摩擦因数μ; (3)整个过程中,弹簧释放的弹性势能 。 15.现代粒子加速器常用电磁场控制粒子团的运动及尺度。简化模型如图:Ⅰ、Ⅱ区宽度均为L,存在垂直于纸面 的匀强磁场,磁感应强度等大反向;Ⅲ、Ⅳ区为电场区,Ⅳ区电场足够宽,各区边界均垂直于x轴,O为坐标原点。 甲、乙为粒子团中的两个电荷量均为+q,质量均为m的粒子。如图,甲、乙平行于x轴向右运动,先后射入Ⅰ区 时速度大小分别为 和 。甲到P点时,乙刚好射入Ⅰ区。乙经过Ⅰ区的速度偏转角为30°,甲到O点时,乙恰 好到P点。已知Ⅲ区存在沿+x方向的匀强电场,电场强度大小 。不计粒子重力及粒子间相互作用,忽 略边界效应及变化的电场产生的磁场。 (1)求磁感应强度的大小B; (2)求Ⅲ区宽度d; (3)Ⅳ区x轴上的电场方向沿x轴,电场强度E随时间t、位置坐标x的变化关系为 ,其中常系数 , 已知、k未知,取甲经过O点时 。已知甲在Ⅳ区始终做匀速直线运动,设乙在Ⅳ区受到的电场力大小为F, 甲、乙间距为Δx,求乙追上甲前F与Δx间的关系式(不要求写出Δx的取值范围)