当前位置:首页>文档>专题06任意角和弧度制、三角函数的概念、诱导公式(4种经典基础练+3种优选提升练)解析版_1多考区联考试卷

专题06任意角和弧度制、三角函数的概念、诱导公式(4种经典基础练+3种优选提升练)解析版_1多考区联考试卷

  • 2026-04-01 17:36:35 2026-02-12 05:20:47

文档预览

专题06任意角和弧度制、三角函数的概念、诱导公式(4种经典基础练+3种优选提升练)解析版_1多考区联考试卷
专题06任意角和弧度制、三角函数的概念、诱导公式(4种经典基础练+3种优选提升练)解析版_1多考区联考试卷
专题06任意角和弧度制、三角函数的概念、诱导公式(4种经典基础练+3种优选提升练)解析版_1多考区联考试卷
专题06任意角和弧度制、三角函数的概念、诱导公式(4种经典基础练+3种优选提升练)解析版_1多考区联考试卷
专题06任意角和弧度制、三角函数的概念、诱导公式(4种经典基础练+3种优选提升练)解析版_1多考区联考试卷
专题06任意角和弧度制、三角函数的概念、诱导公式(4种经典基础练+3种优选提升练)解析版_1多考区联考试卷
专题06任意角和弧度制、三角函数的概念、诱导公式(4种经典基础练+3种优选提升练)解析版_1多考区联考试卷
专题06任意角和弧度制、三角函数的概念、诱导公式(4种经典基础练+3种优选提升练)解析版_1多考区联考试卷
专题06任意角和弧度制、三角函数的概念、诱导公式(4种经典基础练+3种优选提升练)解析版_1多考区联考试卷
专题06任意角和弧度制、三角函数的概念、诱导公式(4种经典基础练+3种优选提升练)解析版_1多考区联考试卷
专题06任意角和弧度制、三角函数的概念、诱导公式(4种经典基础练+3种优选提升练)解析版_1多考区联考试卷
专题06任意角和弧度制、三角函数的概念、诱导公式(4种经典基础练+3种优选提升练)解析版_1多考区联考试卷
专题06任意角和弧度制、三角函数的概念、诱导公式(4种经典基础练+3种优选提升练)解析版_1多考区联考试卷
专题06任意角和弧度制、三角函数的概念、诱导公式(4种经典基础练+3种优选提升练)解析版_1多考区联考试卷
专题06任意角和弧度制、三角函数的概念、诱导公式(4种经典基础练+3种优选提升练)解析版_1多考区联考试卷
专题06任意角和弧度制、三角函数的概念、诱导公式(4种经典基础练+3种优选提升练)解析版_1多考区联考试卷
专题06任意角和弧度制、三角函数的概念、诱导公式(4种经典基础练+3种优选提升练)解析版_1多考区联考试卷
专题06任意角和弧度制、三角函数的概念、诱导公式(4种经典基础练+3种优选提升练)解析版_1多考区联考试卷
专题06任意角和弧度制、三角函数的概念、诱导公式(4种经典基础练+3种优选提升练)解析版_1多考区联考试卷
专题06任意角和弧度制、三角函数的概念、诱导公式(4种经典基础练+3种优选提升练)解析版_1多考区联考试卷
专题06任意角和弧度制、三角函数的概念、诱导公式(4种经典基础练+3种优选提升练)解析版_1多考区联考试卷
专题06任意角和弧度制、三角函数的概念、诱导公式(4种经典基础练+3种优选提升练)解析版_1多考区联考试卷
专题06任意角和弧度制、三角函数的概念、诱导公式(4种经典基础练+3种优选提升练)解析版_1多考区联考试卷
专题06任意角和弧度制、三角函数的概念、诱导公式(4种经典基础练+3种优选提升练)解析版_1多考区联考试卷
专题06任意角和弧度制、三角函数的概念、诱导公式(4种经典基础练+3种优选提升练)解析版_1多考区联考试卷
专题06任意角和弧度制、三角函数的概念、诱导公式(4种经典基础练+3种优选提升练)解析版_1多考区联考试卷
专题06任意角和弧度制、三角函数的概念、诱导公式(4种经典基础练+3种优选提升练)解析版_1多考区联考试卷
专题06任意角和弧度制、三角函数的概念、诱导公式(4种经典基础练+3种优选提升练)解析版_1多考区联考试卷
专题06任意角和弧度制、三角函数的概念、诱导公式(4种经典基础练+3种优选提升练)解析版_1多考区联考试卷
专题06任意角和弧度制、三角函数的概念、诱导公式(4种经典基础练+3种优选提升练)解析版_1多考区联考试卷
专题06任意角和弧度制、三角函数的概念、诱导公式(4种经典基础练+3种优选提升练)解析版_1多考区联考试卷
专题06任意角和弧度制、三角函数的概念、诱导公式(4种经典基础练+3种优选提升练)解析版_1多考区联考试卷
专题06任意角和弧度制、三角函数的概念、诱导公式(4种经典基础练+3种优选提升练)解析版_1多考区联考试卷
专题06任意角和弧度制、三角函数的概念、诱导公式(4种经典基础练+3种优选提升练)解析版_1多考区联考试卷
专题06任意角和弧度制、三角函数的概念、诱导公式(4种经典基础练+3种优选提升练)解析版_1多考区联考试卷
专题06任意角和弧度制、三角函数的概念、诱导公式(4种经典基础练+3种优选提升练)解析版_1多考区联考试卷
专题06任意角和弧度制、三角函数的概念、诱导公式(4种经典基础练+3种优选提升练)解析版_1多考区联考试卷
专题06任意角和弧度制、三角函数的概念、诱导公式(4种经典基础练+3种优选提升练)解析版_1多考区联考试卷
专题06任意角和弧度制、三角函数的概念、诱导公式(4种经典基础练+3种优选提升练)解析版_1多考区联考试卷
专题06任意角和弧度制、三角函数的概念、诱导公式(4种经典基础练+3种优选提升练)解析版_1多考区联考试卷
专题06任意角和弧度制、三角函数的概念、诱导公式(4种经典基础练+3种优选提升练)解析版_1多考区联考试卷
专题06任意角和弧度制、三角函数的概念、诱导公式(4种经典基础练+3种优选提升练)解析版_1多考区联考试卷
专题06任意角和弧度制、三角函数的概念、诱导公式(4种经典基础练+3种优选提升练)解析版_1多考区联考试卷
专题06任意角和弧度制、三角函数的概念、诱导公式(4种经典基础练+3种优选提升练)解析版_1多考区联考试卷
专题06任意角和弧度制、三角函数的概念、诱导公式(4种经典基础练+3种优选提升练)解析版_1多考区联考试卷
专题06任意角和弧度制、三角函数的概念、诱导公式(4种经典基础练+3种优选提升练)解析版_1多考区联考试卷
专题06任意角和弧度制、三角函数的概念、诱导公式(4种经典基础练+3种优选提升练)解析版_1多考区联考试卷
专题06任意角和弧度制、三角函数的概念、诱导公式(4种经典基础练+3种优选提升练)解析版_1多考区联考试卷
专题06任意角和弧度制、三角函数的概念、诱导公式(4种经典基础练+3种优选提升练)解析版_1多考区联考试卷
专题06任意角和弧度制、三角函数的概念、诱导公式(4种经典基础练+3种优选提升练)解析版_1多考区联考试卷
专题06任意角和弧度制、三角函数的概念、诱导公式(4种经典基础练+3种优选提升练)解析版_1多考区联考试卷
专题06任意角和弧度制、三角函数的概念、诱导公式(4种经典基础练+3种优选提升练)解析版_1多考区联考试卷
专题06任意角和弧度制、三角函数的概念、诱导公式(4种经典基础练+3种优选提升练)解析版_1多考区联考试卷
专题06任意角和弧度制、三角函数的概念、诱导公式(4种经典基础练+3种优选提升练)解析版_1多考区联考试卷
专题06任意角和弧度制、三角函数的概念、诱导公式(4种经典基础练+3种优选提升练)解析版_1多考区联考试卷
专题06任意角和弧度制、三角函数的概念、诱导公式(4种经典基础练+3种优选提升练)解析版_1多考区联考试卷
专题06任意角和弧度制、三角函数的概念、诱导公式(4种经典基础练+3种优选提升练)解析版_1多考区联考试卷
专题06任意角和弧度制、三角函数的概念、诱导公式(4种经典基础练+3种优选提升练)解析版_1多考区联考试卷
专题06任意角和弧度制、三角函数的概念、诱导公式(4种经典基础练+3种优选提升练)解析版_1多考区联考试卷
专题06任意角和弧度制、三角函数的概念、诱导公式(4种经典基础练+3种优选提升练)解析版_1多考区联考试卷
专题06任意角和弧度制、三角函数的概念、诱导公式(4种经典基础练+3种优选提升练)解析版_1多考区联考试卷
专题06任意角和弧度制、三角函数的概念、诱导公式(4种经典基础练+3种优选提升练)解析版_1多考区联考试卷
专题06任意角和弧度制、三角函数的概念、诱导公式(4种经典基础练+3种优选提升练)解析版_1多考区联考试卷
专题06任意角和弧度制、三角函数的概念、诱导公式(4种经典基础练+3种优选提升练)解析版_1多考区联考试卷
专题06任意角和弧度制、三角函数的概念、诱导公式(4种经典基础练+3种优选提升练)解析版_1多考区联考试卷
专题06任意角和弧度制、三角函数的概念、诱导公式(4种经典基础练+3种优选提升练)解析版_1多考区联考试卷
专题06任意角和弧度制、三角函数的概念、诱导公式(4种经典基础练+3种优选提升练)解析版_1多考区联考试卷
专题06任意角和弧度制、三角函数的概念、诱导公式(4种经典基础练+3种优选提升练)解析版_1多考区联考试卷
专题06任意角和弧度制、三角函数的概念、诱导公式(4种经典基础练+3种优选提升练)解析版_1多考区联考试卷
专题06任意角和弧度制、三角函数的概念、诱导公式(4种经典基础练+3种优选提升练)解析版_1多考区联考试卷
专题06任意角和弧度制、三角函数的概念、诱导公式(4种经典基础练+3种优选提升练)解析版_1多考区联考试卷
专题06任意角和弧度制、三角函数的概念、诱导公式(4种经典基础练+3种优选提升练)解析版_1多考区联考试卷
专题06任意角和弧度制、三角函数的概念、诱导公式(4种经典基础练+3种优选提升练)解析版_1多考区联考试卷
专题06任意角和弧度制、三角函数的概念、诱导公式(4种经典基础练+3种优选提升练)解析版_1多考区联考试卷
专题06任意角和弧度制、三角函数的概念、诱导公式(4种经典基础练+3种优选提升练)解析版_1多考区联考试卷
专题06任意角和弧度制、三角函数的概念、诱导公式(4种经典基础练+3种优选提升练)解析版_1多考区联考试卷
专题06任意角和弧度制、三角函数的概念、诱导公式(4种经典基础练+3种优选提升练)解析版_1多考区联考试卷
专题06任意角和弧度制、三角函数的概念、诱导公式(4种经典基础练+3种优选提升练)解析版_1多考区联考试卷
专题06任意角和弧度制、三角函数的概念、诱导公式(4种经典基础练+3种优选提升练)解析版_1多考区联考试卷
专题06任意角和弧度制、三角函数的概念、诱导公式(4种经典基础练+3种优选提升练)解析版_1多考区联考试卷
专题06任意角和弧度制、三角函数的概念、诱导公式(4种经典基础练+3种优选提升练)解析版_1多考区联考试卷
专题06任意角和弧度制、三角函数的概念、诱导公式(4种经典基础练+3种优选提升练)解析版_1多考区联考试卷
专题06任意角和弧度制、三角函数的概念、诱导公式(4种经典基础练+3种优选提升练)解析版_1多考区联考试卷
专题06任意角和弧度制、三角函数的概念、诱导公式(4种经典基础练+3种优选提升练)解析版_1多考区联考试卷
专题06任意角和弧度制、三角函数的概念、诱导公式(4种经典基础练+3种优选提升练)解析版_1多考区联考试卷
专题06任意角和弧度制、三角函数的概念、诱导公式(4种经典基础练+3种优选提升练)解析版_1多考区联考试卷
专题06任意角和弧度制、三角函数的概念、诱导公式(4种经典基础练+3种优选提升练)解析版_1多考区联考试卷
专题06任意角和弧度制、三角函数的概念、诱导公式(4种经典基础练+3种优选提升练)解析版_1多考区联考试卷
专题06任意角和弧度制、三角函数的概念、诱导公式(4种经典基础练+3种优选提升练)解析版_1多考区联考试卷
专题06任意角和弧度制、三角函数的概念、诱导公式(4种经典基础练+3种优选提升练)解析版_1多考区联考试卷
专题06任意角和弧度制、三角函数的概念、诱导公式(4种经典基础练+3种优选提升练)解析版_1多考区联考试卷

文档信息

文档格式
docx
文档大小
8.042 MB
文档页数
87 页
上传时间
2026-02-12 05:20:47

文档内容

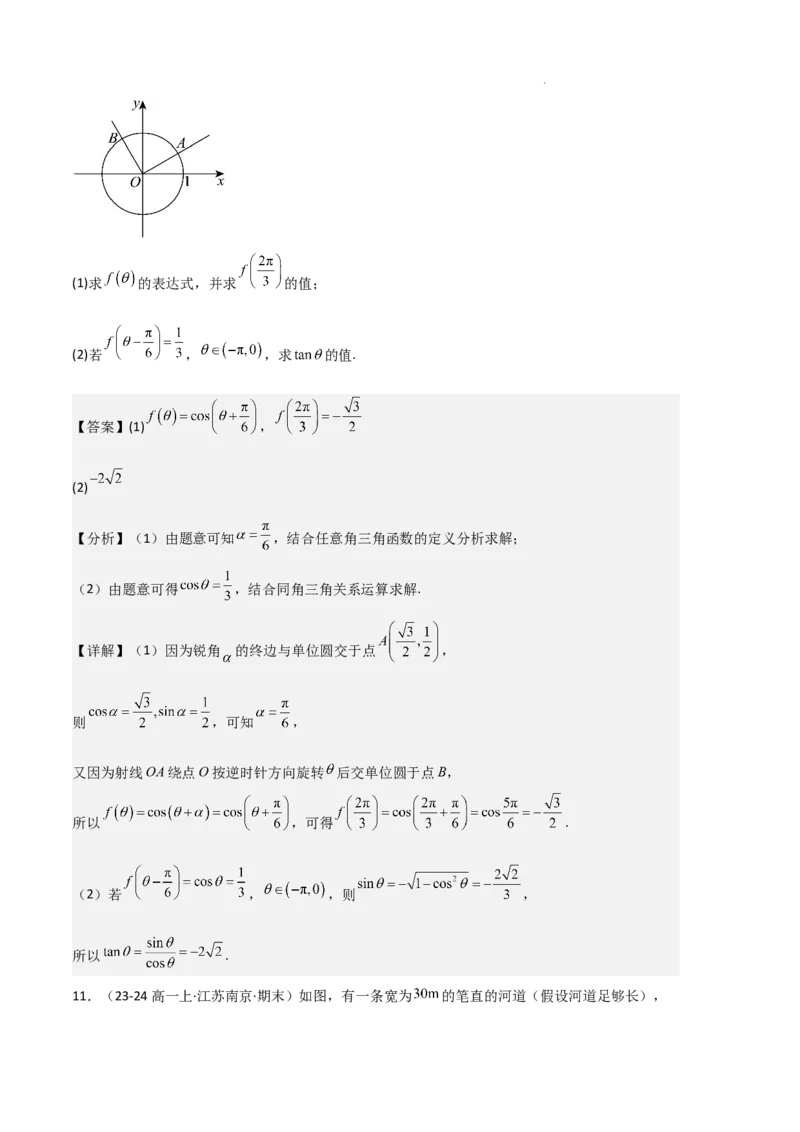
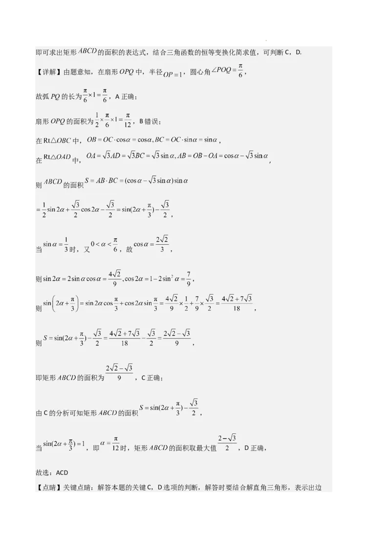
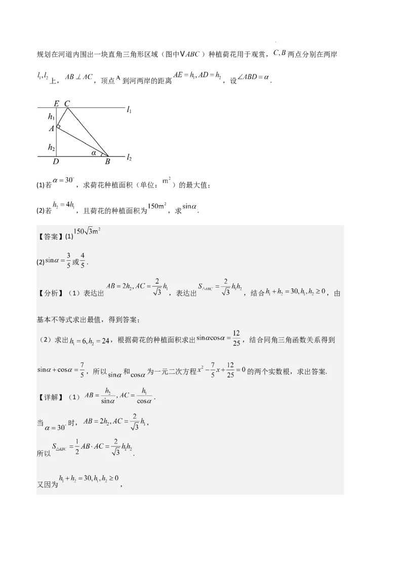
专题 06 任意角和弧度制、三角函数的概念、诱导公式 (4 种经典基础练+3 种优选提升练) 任意角(共10题) 一、单选题 1.(23-24高一上·江苏盐城·期末)若角 的终边与角 的终边关于 轴对称,则 的终边落在 ( ) A. 轴的非负半轴 B.第一象限 C. 轴的非负半轴 D.第三象限 【答案】A 【知识点】轴线角、找出终边相同的角 【分析】由对称可知 ,得终边所在位置. 【详解】角 的终边与角 的终边关于 轴对称,则角 的终边与角 的终边相同, 得 ,则有 , 所以 的终边落在 轴的非负半轴. 故选:A. 2.(23-24高一上·山东枣庄·期末)已知集合 钝角 , 第二象限角 , 小于 的 角 ,则( ) A. B. C. D. 【答案】C 学科网(北京)股份有限公司【知识点】由已知角所在的象限确定某角的范围、判断两个集合的包含关系 【分析】根据钝角的范围,即可得出选项C正确,再由第二象限角的范围 ,即可判断出选项ABD的正误,从而得出结果. 【详解】因为钝角大于 ,且小于 的角,一定是第二象限角,所以 ,故选项C正确, 又第二象限角的范围为 , 不妨取 ,此时 是第二象限角,但 ,所以选项ABD均错误, 故选:C. 3.(23-24高一上·河北唐山·期末)已知 ,则 是( ) A.第一象限角 B.第二象限角 C.第三象限角 D.第四象限角 【答案】C 【知识点】确定已知角所在象限 【分析】 ,再根据终边相同的角的集合,判断 是第几象限角,即可求 出结果. 【详解】因为 ,又 是第三象限角, 所以 是第三象限角, 故选:C. 4.(23-24高一上·内蒙古·期末)若角 与角 的终边相同,则 可能是( ) A. B. C. D. 【答案】D 【知识点】找出终边相同的角 【分析】根据 观察选项得答案. 【详解】由已知 观察选项可得只有 ,所以 可能是 . 故选:D. 5.(22-23高一上·广东深圳·期末)概念是数学的重要组成部分,理清新旧概念之间的关系对学习 学科网(北京)股份有限公司数学十分重要.现有如下三个集合, {钝角}, {第二象限角}, {小于180°的角},则下列 说法正确的是( ) A. B. C. D. 【答案】C 【知识点】由已知角所在的象限确定某角的范围、确定已知角所在象限、判断两个集合的包含关系 【分析】利用钝角和第二象限角的定义即可判断. 【详解】钝角是大于 ,且小于 的角,一定是第二象限角,故 ; 第二象限角的范围是 ,即第二象限角不一定小于 , 故ABD错误,C正确; 故选:C 二、多选题 6.(23-24高一上·湖北·期末)下列说法中正确的是( ) A.若函数 是R上的奇函数,则 B.函数 与 为同一个函数 C.命题“ , ”的否定是“ , ” D.若 是第二象限角,则 是第一象限角 【答案】ABC 【知识点】全称命题的否定及其真假判断、判断两个函数是否相等、函数奇偶性的应用、确定n分 角所在象限 【分析】由奇函数的性质可判断A;根据函数的三要素是否相同判断B;根据含有一个量词的命题 的否定判断C;根据 的范围,可写出 的取值范围,即可判断D. 【详解】对于A,函数 是R上的奇函数,则有 ,故正确; 对于B,因为 定义域为R,且 , 学科网(北京)股份有限公司的定义域为R,二者定义域相同,对应关系相同,值域均为 , 所以 与 是同一函数,故正确; 对于C:命题“ , ”为全称量词命题, 则其否定为存在量词命题:“ , ”,正确; 对于D:由题知 是第二象限角,即 , , ∴ , ,即 是第一或第三象限角,D不正确. 故选:ABC 7.(23-24高一上·湖南株洲·期末)下列各命题中正确的是( ) A. 与 ( 且 )互为反函数 B.函数 的定义域为 C.已知 为第一象限的角,则 是第一、三象限的角 D.时针转过4小时,则时针转过的弧度数为 【答案】AC 【知识点】确定n分角所在象限、任意角的概念、反函数的性质应用、具体函数的定义域 【分析】利用反函数的定义判断A;利用偶次根式被开方数大于等于0列不等式求解判断B;利用 象限角的范围列不等式求 的范围判断C,利用正负角的意义判断D. 【详解】对于A, 与 ( 且 )互为反函数,正确; 对于B,要使函数 有意义,则 ,解得 , 所以函数 的定义域为 ,错误; 对于C,若 是第一象限角,则 ,得 , 学科网(北京)股份有限公司为偶数时, 是第一象限角; 为奇数时, 是第三象限角,正确; 对于D,钟表的时针是顺时针旋转,所以经过4小时,时针转过的弧度数为 ,错误. 故选:AC 三、填空题 8.(23-24高一上·浙江台州·期末) 角是第 象限角. 【答案】二 【知识点】确定已知角所在象限 【分析】直接由象限角的概念得答案. 【详解】由象限角的定义可知, 的角是第二象限角. 故答案为:二. 9.(23-24高一上·天津河西·期末)已知角 ,则角 的终边落在第 象限. 【答案】三 【知识点】确定已知角所在象限、找出终边相同的角 【分析】 根据终边相同的角的表示,将 化为 ,即可判断答案. 【详解】由题意得 , 由于 的终边在第三象限内,故角 的终边落在第三象限内, 故答案为:三 10.(22-23高一上·上海浦东新·期末)已知 ,若将角 的终边顺时针旋转 ,所得的角 的终边与角 的终边重合.则角 . 【答案】 【知识点】找出终边相同的角 【分析】角 的终边顺时针旋转 得到 ,根据终边相同的角的关系列出方程,根据 学科网(北京)股份有限公司求得 的值. 【详解】角 的终边顺时针旋转 得到 ,它与 边重合,所以 , 所以 , 又 ,所以只能令 , . 故答案为: 弧度制(共16题) 一、单选题 1.(23-24高一上·广东·期末)要在半径 厘米的圆形金属板上截取一块扇形板 ,使其 弧 的长为120厘米,则圆心角 ( ) A. B. C. D. 【答案】B 【知识点】弧度的概念 【分析】根据角弧度制的定义,可得答案. 【详解】设扇形弧长为 ,圆心角为 ,半径为 ,则 . 故选:B. 2.(23-24高一上·贵州六盘水·期末)达-芬奇的经典之作《蒙娜丽莎》举世闻名,画中女子神秘的 微笑,数百年来引无数观赏者对其进行研究.某业余爱好者对《蒙娜丽莎》的缩小影像作品进行粗 略测绘,将画中女子的嘴唇近似看作一段圆弧,并测得圆弧 所对的圆心角 为 ,弦 的 长为 ,根据测量得到的数据计算:《蒙娜丽莎》缩小影像作品中圆弧 的长为( )(单 位: ) 学科网(北京)股份有限公司A. B. C. D. 【答案】C 【知识点】弧长的有关计算 【分析】根据扇形弧长公式 代入求解即可. 【详解】因为圆弧 所对的圆心角 ,所以 为等边三角形, 如图所示: 所以 ,即圆弧的半径 , 所以圆弧 的长为 . 故选:C 3.(23-24高一上·安徽安庆·期末)第19届亚运会于2023年9月23日至10月8日在浙江省杭州市 举行,本届亚运会会徽“潮涌”的主体图形由扇面、钱塘江、钱江潮头、赛道、互联网符号及象征 亚奥理事会的太阳图形六个元素组成,其中扇面造型反映江南人文意蕴.已知扇面呈扇环形,内环 半径为1,外环半径为3,扇环所对圆心角为 ,则该扇面的面积为( ) 学科网(北京)股份有限公司A. B. C. D. 【答案】B 【知识点】扇形面积的有关计算 【分析】根据给定条件,利用扇形面积公式计算即得. 【详解】依题意,该扇面的面积为 . 故选:B 4.(23-24高一上·福建龙岩·期末)已知扇形的周长为 ,圆心角为 ,则此扇形的面积是 ( ) A. B. C. D. 【答案】B 【知识点】扇形面积的有关计算、扇形弧长公式与面积公式的应用 【分析】首先求出扇形的半径,再由面积公式计算可得. 【详解】设扇形的半径为 ,因为扇形的圆心角 ,扇形的周长为 , 则 ,解得 , 所以此扇形的面积 . 故选:B 5.(23-24高一上·山西·期末)已知扇形的圆心角为 ,半径为4,则扇形的弧长为( ) A. B.2 C.4 D.8 【答案】D 【知识点】弧长的有关计算 【分析】根据扇形弧长公式计算可得. 【详解】因为扇形的圆心角为 ,半径为4, 学科网(北京)股份有限公司所以由弧长公式得扇形的弧长为 . 故选:D 6.(23-24高一上·山东德州·期末)中国传统扇文化有着极其深厚的底蕴,一般情况下,折扇可看 作是从一个圆面中剪下的扇形制作而成;一个半径为 的扇形,它的周长是 ,则这个扇形所含 弓形的面积是( ) A. B. C. D. 【答案】C 【知识点】扇形弧长公式与面积公式的应用 【分析】通过扇形的周长,求出扇形的弧长,求出扇形的圆心角,然后求出扇形的面积,三角形的 面积,即可得到这个扇形所含弓形的面积. 【详解】 可得:扇形面积 , 三角形面积 , 可得弓形面积 , 故选:C 7.(23-24高一上·云南昆明·期末)窗花是贴在窗纸或窗户玻璃上的剪纸是中国古老的传统民间艺 术之一,它历史悠久,风格独特,深受国内外人士所喜爱.窗花是农耕文化的特色艺术,农村生活 的地理环境,农业生产特征以及社会的习俗方式,也使这种乡土艺术具有了鲜明的中国民俗情趣和 艺术特色.如图所示的四叶形窗花是由一些圆弧构成的旋转对称图形,若设外围虚线正方形的边长 为a,则窗花的面积为( ) 学科网(北京)股份有限公司A. B. C. D. 【答案】A 【知识点】扇形面积的有关计算 【分析】利用扇形三角形面积公式,利用整体减去部分即可. 【详解】根据正方形以及“窗花”的对称性可知:窗花的一个“花瓣(阴影部分)”的面积: , , ,则 , 即S . 故“窗花”面积为 . 故选:A. 二、多选题 8.(23-24高一上·河北沧州·期末)下列说法正确的有( ) 学科网(北京)股份有限公司A.若一个扇形弧长的值与面积的值都是5,则这个扇形圆心角的大小是 B.已知 ,则 C.函数 在其定义域上单调递减 D.若幂函数 的图象过点 ,则 【答案】AB 【知识点】对数的运算性质的应用、求幂函数的解析式、扇形面积的有关计算、根据解析式直接判 断函数的单调性 【分析】利用扇形的面积和弧长公式,计算圆心角判断选项A;由指数式与对数式的互化和对数式 的运算规则求值,判断选项B;由反比例函数的单调性判断选项C;由幂函数的定义判断选项D. 【详解】对于A,设这个扇形的圆心角为 ,半径为r, 其弧长的值与面积的值都是5, , ,解得 ,故A选项正确; 对于B, , , ,则 ,故B选项 正确; 对于C, , 其定义域为 , 由反比例函数的单调性可知, 在 和 上都单调递减,但在定义域上不是单调递减 的,故C选项不正确; 对于D,幂函数 的图象过点 ,则有 , 解得 ,故D选项不正确. 故选:AB. 9.(23-24高一上·吉林长春·期末)中国传统扇文化有着极其深厚的底蕴,一般情况下,折扇可看 学科网(北京)股份有限公司作是从一个圆面中剪下的扇形制作而成.如图,设扇形的面积为 ,其圆心角为 ,圆面中剩余部 分的面积为 ,当 与 的比值为 时,扇面为“美观扇面”,下列结论正确的是( ) A. B.若 ,扇形的半径 ,则 C.若扇面为“美观扇面”,则 D.若扇面为“美观扇面”,半径 ,则扇形面积为 【答案】ACD 【知识点】扇形面积的有关计算 【分析】对于A,利用扇形面积计算公式进行计算即可;对于B,根据条件求得 的值,利用公式计 算即可;对于C,利用条件建立方程,解出即可;对于D,根据条件求得 的值,利用公式计算即 可. 【详解】对于A, 所在的扇形的圆心角分别为 , 所以 ,故A正确; 对于B,若 ,则 ,又 , 则 ,故B错误; 学科网(北京)股份有限公司对于C,若 , 所以 ,故C正确; 对于D,若 , ,又 , 所以 , 故D正确, 故选:ACD. 三、填空题 10.(23-24高一上·甘肃陇南·期末) 用弧度制表示为 . 【答案】 / 【知识点】角度化为弧度 【分析】利用弧度制与角度值的转化即可得到答案. 【详解】因为 弧度,所以 (弧度). 故答案为: 11.(23-24高一上·福建·期末)若扇形的周长为 ,面积为 ,则它的圆心角的弧度数为 . 【答案】 【知识点】弧长的有关计算、扇形面积的有关计算 【分析】 由扇形的面积公式和周长公式列方程,再由弧长公式解出即可. 【详解】设扇形的弧长为 ,半径为 , 由题意可知 ,解得 , 设扇形的圆心角为 ,则 . 学科网(北京)股份有限公司故答案为: 12.(23-24高一上·广西贺州·期末)已知扇形的面积为 ,圆心角弧度数为 ,则其弧长为 ; 【答案】6 【知识点】弧长的有关计算、扇形面积的有关计算 【分析】 根据弧长公式以及扇形面积公式即可求解. 【详解】设弧长为 ,半径为 ,圆心角为 , 故 , 故 , 故答案为:6 13.(23-24高一上·云南昆明·期末)已知某扇形的圆心角是 ,半径为 ,则该扇形的面积为 . 【答案】 【知识点】扇形面积的有关计算 【分析】根据题意,结合扇形的面积公式,准确计算,即可求解. 【详解】由扇形的圆心角是 ,半径为 ,则该扇形的面积为 . 故答案为: . 14.(23-24高一上·山东青岛·期末)如图,已知 是等腰直角三角形, , , 在平面内 绕点 逆时针旋转到 ,使C,B, 在同一直线上,则图中阴影部分的面 积为 . 【答案】 【知识点】扇形面积的有关计算 学科网(北京)股份有限公司【分析】由图可知 ,分别计算即可. 【详解】如图: 由 是等腰直角三角形, , , 所以 , , , , 所以 . 故答案为: 15.(23-24高一上·山东临沂·期末)临沂一中校本部19、20班某数学兴趣小组在探究扇形时,发 现如下现象:如图所示,⊙B向⊙A靠近的过程,就像月亮被磨弯一样.已知在某一时刻,圆A和圆 B处于图1的状态,简化后如图2, , , .则S = . 阴影 【答案】 【知识点】扇形面积的有关计算、三角形面积公式及其应用 【分析】阴影部分的面积为 的半圆面积减去 中圆心角为 的弓形面积,利用已知数据计算 即可. 学科网(北京)股份有限公司【详解】 ,则 为⊙A的直径,连接 ,如图所示, , ,则 为等边三角形, , 的半径为2, 的半径为4, 阴影部分的面积为 的半圆面积减去 中圆心角为 的弓形面积, 则阴影部分的面积为 . 故答案为: 四、解答题 16.(23-24高一上·陕西西安·期末)某农户计划围建一块扇形的菜地,已知该农户围建菜地的篱 笆的长度为24米. (1)若该扇形菜地的圆心角为4弧度,求该扇形菜地的面积; (2)当该扇形菜地的圆心角为何值时,菜地的面积最大,最大值是多少? 【答案】(1) 平方米. (2)该扇形菜地的圆心角为2弧度时,菜地的面积取得最大值36. 【知识点】弧长的有关计算、扇形面积的有关计算、扇形弧长公式与面积公式的应用 【分析】(1)根据弧长公式及扇形面积公式即可求解; (2)结合扇形面积公式及二次函数的最值即可求解. 【详解】(1)设该扇形菜地的半径为 ,弧长为 , 则 ,解得 , 故该扇形菜地的面积 平方米. (2)因为 ,所以 , 则 . 学科网(北京)股份有限公司当 时, 取得最大值36, 此时 ,从而 . 故该扇形菜地的圆心角为2弧度时,菜地的面积取得最大值36. 三角函数的概念(共11题) 一、单选题 1.(23-24高一上·甘肃武威·期末)已知角 满足 , ,且 ,则角 属 于( ) A.第一象限 B.第二象限 C.第三象限 D.第四象限 【答案】B 【分析】根据题意,由三角函数在各个象限符号的正负,即可判断. 【详解】由 , ,得出 为第四象限角, 所以 , 则 为第二象限角或第四象限角,又因为 , 所以 ,则 为第二象限角. 故选:B. 二、多选题 2.(22-23高一上·河北保定·期末)已知角 的始边与 轴的非负半轴重合,终边在直线 上, 则 的值可能是( ) A. B. C. D. 【答案】BD 【分析】由三角函数定义得 ,再由同角三角函数的基本关系建立方程组求解正、余弦,代 入式子化简可得. 【详解】由角 的终边在直线 ,则 , 学科网(北京)股份有限公司联立 解得 或 ; 终边落在第一象限时, ,此时 , 则 ; 终边落在第三象限时, ,此时 , 则 ; 综上所述, 的值为 或 . 故选:BD. 三、填空题 3.(23-24高一上·云南昭通·期末) 为 终边上一点,则 . 【答案】 /0.8 【分析】由余弦的定义可直接求解. 【详解】 . 故答案为: . 学科网(北京)股份有限公司4.(23-24高一上·江苏扬州·期末)若 为第二象限角,则 可化简为 . 【答案】 【分析】根据同角三角函数关系化简即可. 【详解】因为 为第二象限角,所以 , , 所以原式 . 故答案为: . 四、解答题 5.(23-24高一上·四川达州·期末)(1)已知 是第一象限角, ,求 , 的值; (2)已知 ,求 的值. 【答案】(1) , ;(2) 【分析】(1)根据同角三角关系分析求解; (2)根据齐次式问题分析求解. 【详解】(1)因为 是第一象限角, , 学科网(北京)股份有限公司所以 , ; (2)因为 , 所以 . 6.(23-24高一上·四川成都·期末)已知 . (1)求 ; (2)求 的值. 【答案】(1) (2) 【分析】(1)上下同除 ,将正余弦化成正切即可计算; (2)借助 ,将原式化为齐次分式后上下同除 ,将正余弦化成正切后借助 的值即可计算. 【详解】(1) , , 解得 ; (2) . 7.(22-23高一上·黑龙江牡丹江·期末)已知 . (1)求 的值; 学科网(北京)股份有限公司(2)求 的值. 【答案】(1) (2) 【分析】(1)根据题意整理可得 ,进而可得结果; (2)根据齐次式问题分析求解,注意“1”的转化. 【详解】(1)因为 ,整理得 , 所以 ; (2)因为 , 所以 . 8.(23-24高一上·广东中山·期末)已知 ,求下列各式的值. (1) ; (2) . 【答案】(1) (2) 【分析】(1)根据同角三角函数的基本关系式求得正确答案. (2)利用“ 的代换”的方法,结合同角三角函数的基本关系式求得正确答案. 【详解】(1) . (2) 学科网(北京)股份有限公司. 9.(23-24高一上·陕西西安·期末)已知 是第二象限角,且 . (1)求 的值; (2)求 的值. 【答案】(1) (2) . 【分析】(1)根据同角三角函数的基本关系求解即可; (2)根据诱导公式和同角三角函数的基本关系求解即可. 【详解】(1)因为 ,所以 , 因为 ,所以 , 因为 是第二象限角,所以 , 则 . (2) . 10.(23-24高一上·广东深圳·期末)如图,在平面直角坐标系xoy中,锐角 的终边与单位圆交于 点 ,射线OA绕点O按逆时针方向旋转 后交单位圆于点B,点B的横坐标为 . 学科网(北京)股份有限公司(1)求 的表达式,并求 的值; (2)若 , ,求 的值. 【答案】(1) , (2) 【分析】(1)由题意可知 ,结合任意角三角函数的定义分析求解; (2)由题意可得 ,结合同角三角关系运算求解. 【详解】(1)因为锐角 的终边与单位圆交于点 , 则 ,可知 , 又因为射线OA绕点O按逆时针方向旋转 后交单位圆于点B, 所以 ,可得 . (2)若 , ,则 , 所以 . 11.(23-24高一上·江苏南京·期末)如图,有一条宽为 的笔直的河道(假设河道足够长), 学科网(北京)股份有限公司规划在河道内围出一块直角三角形区域(图中 )种植荷花用于观赏, 两点分别在两岸 上, ,顶点 到河两岸的距离 ,设 . (1)若 ,求荷花种植面积(单位: )的最大值; (2)若 ,且荷花的种植面积为 ,求 . 【答案】(1) (2) 或 . 【分析】(1)表达出 ,表达出 ,结合 ,由 基本不等式求出最值,得到答案; (2)求出 ,根据荷花的种植面积求出 ,结合同角三角函数关系得到 ,所以 和 为一元二次方程 的两个实数根,求出答案. 【详解】(1) . 当 时, , 所以 . 又因为 , 学科网(北京)股份有限公司所以 ,当且仅当 时取等号. 所以荷花种植区域面积的最大值为 . (2)因为 ,所以 , 故 , 从而 , 所以 . 又因为 , 所以 . 又因为 ,所以 , 所以 和 为一元二次方程 的两个实数根, 解得 或 , 故 为 或 . 诱导公式(共16题) 一、单选题 1.(23-24高一上·山东菏泽·期末) ( ) A. B. C. D. 【答案】C 学科网(北京)股份有限公司【分析】利用诱导公式化简可得出所求代数式的值. 【详解】 . 故选:C. 2.(23-24高一上·浙江嘉兴·期末)已知 ,则 ( ) A. B. C. D. 【答案】D 【分析】应用诱导公式 ,求解即可. 【详解】由诱导公式 ,且 , 可得 ,即 . 故选:D. 二、多选题 3.(23-24高一上·安徽马鞍山·期末)若角 是 的三个内角,则下列结论中一定成立的 是( ) A. B. C. D. 【答案】AD 【分析】结合三角形的内角与利用诱导公式逐项判断. 【详解】对于A: ,故A正确; 对于B: ,故B错误; 对于C: ,故C错误; 学科网(北京)股份有限公司对于D: ,故D正确. 故选:AD. 4.(23-24高一上·湖北荆门·期末)已知 ,则下列结论正确的是( ) A. B. C. D. 【答案】AC 【分析】根据条件,逐一求出各选项的值,再进行判断. 【详解】由 .故A正确; ,故C正确; ,故D错误; 因为 ,所以 为第一或第三象限角. 若 为第一象限角,则 ,所以 ; 若 为第三象限角,则 ,所以 . 所以B错误. 故选:AC 三、填空题 学科网(北京)股份有限公司5.(23-24高一上·福建福州·期末)若 ,则 . 【答案】 / 【分析】利用诱导公式求解. 【详解】由 , 所以 . 故答案为: 6.(23-24高一上·浙江杭州·期末)若 ,则 . 【答案】 / 【分析】利用角的变换结合诱导公式可求 【详解】因为 , 所以 故答案为: 7.(23-24高一上·浙江丽水·期末)化简 . 【答案】1 【分析】利用诱导公式化简求值. 【详解】 . 学科网(北京)股份有限公司故答案为:1. 8.(23-24高一上·河南洛阳·期末)在平面直角坐标系中, 为坐标原点,点 ,线段 绕点 顺时针方向旋转 后,得到线段 ,则点 的坐标为 . 【答案】 【分析】先判断出以 为终边的角的大小,然后顺时针旋转 ,判断以 为终边的角的大小即 可得出答案. 【详解】因为 ,所以点 在单位圆 上, 且点 在 角的终边所在的直线上, 则点 的初始位置坐标 , 线段 绕点 顺时针转动 后,点 在 角的终边所在的直线上, 所以点 所在位置的坐标为 . 故答案为: . 四、解答题 9.(23-24高一上·云南曲靖·期末)已知 ,且 为第三象限角. (1)求 , 的值; (2)求 的值. 学科网(北京)股份有限公司【答案】(1) , (2) 【分析】(1)利用同角三角函数的基本关系求解; (2)利用诱导公式化简求值. 【详解】(1)因为 , , 所以 ,又 为第三象限角, 所以 ,所以 ; (2)由诱导公式化简得: . 10.(23-24高一上·河南漯河·期末)(1)化简: ; (2)化简: . 【答案】(1)17;(2) 【分析】(1)由指数、对数运算性质运算即可;(2)由诱导公式化简即可求解. 【详解】(1) . (2) 学科网(北京)股份有限公司. 11.(23-24高一上·江苏常州·期末)在平面直角坐标系 中,点 在角 的终边上. (1)求 的值; (2)求 的值. 【答案】(1) (2) 【分析】(1)由三角函数定义求得 ,进而求出 ,再由 即可得出答案; (2)由同角三角函数的基本关系求解即可. 【详解】(1)点 在角 的终边上, , , , 所以 , , 所以 . (2) . 12.(23-24高一上·安徽阜阳·期末)(1)计算: (2)若 ,求 的值. 【答案】(1) ;(2)2. 学科网(北京)股份有限公司【分析】(1)利用指数对数运算法则即可; (2)先利用诱导公式求出 ,然后利用同角三角函数基本关系式即可. 【详解】(1)原式 . (2) , , 所以 . 13.(23-24高一上·河北承德·期末)已知角 的终边经过点 . (1)求 的值; (2)若 ,求 的值. 【答案】(1) (2) 【分析】(1)根据三角函数的定义,即可求解; (2)首先利用诱导公式化简,再转化为正切表示的式子,即可求解. 【详解】(1)由三角函数的定义可知 ,解得 . 所以 . (2)原式 学科网(北京)股份有限公司. 14.(23-24高一上·湖南娄底·期末)已知 . (1)若 是第三象限角,求 , 的值; (2)先化简再求值: . 【答案】(1) (2) 【分析】(1)由平方关系、商数关系结合 是第三象限角即可求解. (2)由诱导公式化简并化成关于 的齐次式,代入即可求解. 【详解】(1)因为 , ,若 是第三象限角, 则解得 . (2)由题意 , 若 ,则原式 . 15.(23-24高一上·安徽马鞍山·期末)计算下列各式的值: (1) ; (2) . 【答案】(1) (2) 【分析】(1)由对数运算法则、指数以及分数指数幂的运算法则求解即可; 学科网(北京)股份有限公司(2)由诱导公式以及特殊三角函数值即可求解. 【详解】(1) . (2) . 16.(23-24高一上·贵州毕节·期末)已知 ,α是第三象限角,求: (1) 的值; (2) 的值. 【答案】(1)2 (2) 【分析】(1)利用同角三角函数的基本关系求解; (2)利用诱导公式化简求值. 【详解】(1)因为 ,α是第三象限角, 则 , 所以tan ; (2) . 学科网(北京)股份有限公司扇形中的最值问题(共8题) 1.(23-24高一上·江苏南京·期末)已知扇形的半径为 ,弧长为 .若其周长的数值为面积的数值 的2倍,则下列说法正确的是( ) A.该扇形面积的最小值为8 B.当扇形周长最小时,其圆心角为2 C. 的最小值为9 D. 的最小值为 【答案】BCD 【知识点】基本不等式求和的最小值、扇形面积的有关计算 【分析】由题意,知 ,则 ,对于选项ABC利用基本不等式可判断,对于 选项D利用二次函数可解. 【详解】由题意,知 ,则 , 所以扇形面积 , 当且仅当 ,即 时,等号成立,选项A错误; 扇形周长为 , 当且仅当 ,即 时,等号成立, 此时,圆心角为 ,选项B正确; 学科网(北京)股份有限公司, 当且仅当 ,即 时,等号成立,选项C正确; , 当 时,上式取得最小值为 ,选项D正确. 故选:BCD. 2.(22-23高一上·吉林·期末)如图,在扇形OPQ中,半径 ,圆心角 ,C是扇形 弧PQ上的动点,矩形 内接于扇形,记 .则下列说法正确的是( ) A.弧PQ的长为 B.扇形OPQ的面积为 C.当 时,矩形 的面积为 D.矩形 的面积的最大值为 【答案】ACD 【知识点】三角恒等变换的化简问题、求含sinx(型)函数的值域和最值、扇形面积的有关计算、弧 长的有关计算 【分析】根据弧长公式可判断A;根据扇形的面积公式可判断B;解直角三角形求得 的长, 学科网(北京)股份有限公司即可求出矩形 的面积的表达式,结合三角函数的恒等变换化简求值,可判断C,D. 【详解】由题意知,在扇形OPQ中,半径 ,圆心角 , 故弧PQ的长为 ,A正确; 扇形OPQ的面积为 ,B错误; 在 中, , 在 中, , 则 的面积 , 当 时,又 ,故 , 则 , 则 , 则 , 即矩形 的面积为 ,C正确; 由C的分析可知矩形 的面积 , 当 ,即 时,矩形 的面积取最大值 ,D正确, 故选:ACD 【点睛】关键点睛:解答本题的关键C,D选项的判断,解答时要结合解直角三角形,表示出边 学科网(北京)股份有限公司的长,从而表示出矩形 的面积,再结合三角函数的恒等变换,即可判断这两个选项 的正误. 3.(23-24高一上·北京东城·期末)如图,在平面直角坐标系 中,点 , , 角 的顶点与坐标原点 重合,始边为 轴的非负半轴,终边与单位圆 交于点 ,则阴影区域的 面积的最大值为 . 【答案】 【知识点】扇形面积的有关计算、由终边或终边上的点求三角函数值、求15°等特殊角的正弦、圆 上点到定直线(图形)上的最值(范围) 【分析】连接 ,当点 距离直线 最远时,阴影区域的面积的最大值,利用三角形的面积公 式和扇形面积公式计算即可. 【详解】连接 ,当点 距离直线 最远时,阴影区域的面积的最大值,根据圆的几何特征可 得此时 且 ,如图: 设 是 的终边,则 ,所以 ,则 , 又 , 所以阴影区域的面积的最大值为 . 学科网(北京)股份有限公司故答案为: . 4.(23-24高一上·重庆·期末)南朝乐府民歌《子夜四时歌》之夏歌曰:“叠扇放床上,企想远风 来;轻袖佛华妆,窈窕登高台”,中国传统折扇有着极其深厚的文化底蕴.如图所示,展开的折扇 可看作是从一个扇形,某艺术节展示活动中,小李同学打算利用一条2米长的紫色丝带围成一个扇 形展示框,则该展示框的面积最大值为 . 【答案】 / 【知识点】扇形面积的有关计算、求二次函数的值域或最值 【分析】设该扇形的半径为 ,弧长为 ,面积为 ,由已知可得 , ,利用扇形面 积公式结合二次函数求最值即可. 【详解】设该扇形的半径为 ,弧长为 ,面积为 , 由已知 ,则 , , 所以 , 所以当 时, 有最大值 . 故答案为: . 三、解答题 5.(22-23高一上·湖南长沙·期末)如图所示,有一块扇形钢板 ,面积是 平方米,其所在圆 学科网(北京)股份有限公司的半径为1米. (1)求扇形圆心角的大小; (2)现在钢板 上裁下一块平行四边形钢板 ,要求使裁下的钢板面积最大.设 , 试问如何确定 的位置,才能使裁下的钢板符合要求?最大面积为多少? 【答案】(1) (2) 是 的中点, 平方米 【知识点】扇形面积的有关计算、辅助角公式、cos2x的降幂公式及应用、三角形面积公式及其应 用 【分析】(1)利用扇形面积公式列方程,从而求得扇形圆心角的大小. (2)连接 ,设 ,将裁下的钢板的面积用 来表示,结合三角函数的性质求得面积的 最大值以及此时 点的位置. 【详解】(1)依题意, , 设 ,则 , , 即扇形圆心角的大小为 . (2)连接 ,设 ,过 作 ,垂足为 , 在 中, , 所以 , 设四边形 的面积为 , 学科网(北京)股份有限公司则 , 由于 , , , 所以当 , 时, 取得最大值为 (平方米). 所以当 是 的中点时,裁下的钢板符合要求,最大面积为 平方米. 6.(23-24高一上·湖南株洲·期末)在半径为 的半圆形空地上,某小区准备设计三个矩形地块栽 种一种花草,三个扇形 , , 的圆心角均为 ,且矩形的地块具有对称性,按如图 所示的方案,矩形分别内接于对应的扇形,分别求扇形 和 内接矩形的最大值. 【答案】 ; 【知识点】辅助角公式、求含sinx(型)函数的值域和最值、扇形面积的有关计算 【分析】利用锐角三角函数定义,结合矩形面积公式分别表示两个矩形面积,根据正弦二倍角公式、 辅助角公式、降幂公式,结合正弦型函数的性质进行求解即可. 【详解】在扇形 中,其内接矩形为 ,如图1: 学科网(北京)股份有限公司设 ,在直角 中,由 ,可得 , . 又 , 所以 . 当 ,即 时,扇形 内接矩形 的面积最大,最大值为 . 在扇形 中,其内接矩形为 ,取圆弧 的中点为 ,连接 , 设 , , ,如图2: 则 ,于是 , 又 , 所以 学科网(北京)股份有限公司, 当 时,即 时,扇形 内接矩形 的面积最大,最大值为 . 7.(23-24高一上·江苏南通·期末)如图,在半径为4、圆心角为 的扇形 中; 分别为 的中点,点 在圆弧 上且 · (1)若 ,求梯形 的高; (2)求四边形 面积的最大值. 【答案】(1) (2) 【知识点】扇形中的最值问题、任意角的概念 【分析】(1)作出梯形 的高后结合题意计算即可得; (2)四边形 面积为 ,设 ,结合 ,即可求出面积关于 的表达式,即可得最大值. 【详解】(1)连接 ,过点 作 于点 ,交 于点 , 由 , ,扇形半径为4, 分别为 的中点, 故 , , , , 学科网(北京)股份有限公司则 ,故 为等边三角形, 则 , , 故梯形 的高为 ; (2)设 ,则 , 且此时 ,四边形 面积为: , ∴ 时, 取最大值 . 8.(23-24高一上·浙江台州·期末)如图是一种升降装置结构图,支柱 垂直水平地面,半径为1 的圆形轨道固定在支柱 上,轨道最低点 , , .液压杆 、 ,牵引杆 、 ,水平横杆 均可根据长度自由伸缩,且牵引杆 、 分别与液压杆 、 垂直.当液压杆 、 同步伸缩时,铰点 在圆形轨道上滑动,铰点 在支柱 上滑动,水平横杆 作升降运动(铰点指机械设备中铰链或者装置臂的连接位置,通常用一根销轴将相邻零件连接起来, 学科网(北京)股份有限公司使零件之间可围绕铰点转动). (1)设劣弧 的长为 ,求水平横杆 的长和 离水平地面的高度 (用 表示); (2)在升降过程中,求铰点 距离的最大值. 【答案】(1) ; (2) 【知识点】基本(均值)不等式的应用、三角函数在生活中的应用、弧长的有关计算 【分析】(1)轨道圆心为 ,圆的半径为1,劣弧 的长为 时,有 ,由三角函数表 示出 和 的长; (2)证明出 ,则 ,通过换元利用基本不等式求出最 大值. 【详解】(1)记轨道圆心为 ,则 , 设劣弧 的长为 ,则 , 得 , . 学科网(北京)股份有限公司(2)由已知, , , , 则 ,又 ,所以 , 则 , 令 ,有 ,. 则 , , 因为 ,当且仅当 时,取到等号, 所以铰点 距离的最大值为 . 【点睛】方法点睛: 求 的最大值时,证明 ,由已知的 和 ,有 ,通过换元 ,有 ,借助基本不等式可求最大值. 同角三角函数的基本关系综合应用(共9题) 1.(23-24高一上·河北唐山·期末)如图,已知直线 , 分别在直线 , 上, 是 , 之 学科网(北京)股份有限公司间的定点,点 到 , 的距离分别为 , , .设 . (1)用 表示边 , 的长度; (2)若 为等腰三角形,求 的面积; (3)设 ,问:是否存在 ,使得 ?若存在,请求出 的值;若不存在,请说明理 由. 【答案】(1) , ; (2) (3)不存在 使得 【知识点】基本(均值)不等式的应用、二倍角的正弦公式、三角函数的化简、求值——同角三角 函数基本关系、三角函数定义的其他应用 【分析】 (1)根据三角函数得到 , 的长度; (2)在(1)的基础上,得到方程,得到 ,结合同角三角函数关系求出 ,求 出三角形面积; (3)得到 ,由基本不等式和三角函数有界性得到 ,故不存在 使得 . 【详解】(1)由题意得 , 因为 , , 所以 , 故 , ; (2)由(1)得, , , 学科网(北京)股份有限公司故 ,即 , 又 ,所以 ,即 , 所以 ; (3)由(1)得, , , 故 , 当且仅当 ,即 时,等号成立, 又 ,当且仅当 时,等号成立, 显然 与 不会同时成立, 故 ,不存在 使得 . 【点睛】三角函数的思想方法常常用来解决一些与角度有关的实际问题,原因是三角函数的有界性, 且三角函数的公式众多,比如和差公式,倍角公式,半角公式等,可以很好的表达相关量的关系, 利用相关工具,解决问题 2.(23-24高一上·山西长治·期末)已知 . (1)若 为锐角,求 的值; (2)求 的值. 【答案】(1) (2)3 【知识点】正、余弦齐次式的计算、三角函数的化简、求值——同角三角函数基本关系、用和、差 角的余弦公式化简、求值、二倍角的正弦公式 【分析】(1)化简 得 ,结合平方关系求出 ,再利用两角差 学科网(北京)股份有限公司的余弦公式,即可求得答案; (2)由(1)可得 ,化简 为 ,利用齐次式法求值, 即可得答案. 【详解】(1)由 ,得 , 因为 锐角, ,所以 , 可得 ; (2)由 得 , 则 . 3.(23-24高一上·河南省直辖县级单位·期末)如图,在平面直角坐标系中,锐角 的顶点与原点 重合,始边与x轴的正半轴重合,终边和单位圆交于A点,将 绕点O按逆时针方向旋转角 后, 终边在第二象限和单位圆交于B点.点A的横坐标为 ,点B的横坐标为 . (1)求 的值; 学科网(北京)股份有限公司(2)求 的值; (3)求 的值. 【答案】(1) ; (2) ; (3) . 【知识点】二倍角的余弦公式、已知两角的正、余弦,求和、差角的余弦、三角函数的化简、求值 ——同角三角函数基本关系、由终边或终边上的点求三角函数值 【分析】(1)利用三角函数定义,同角三角函数的平方关系及诱导公式计算即可; (2)利用诱导公式,二倍角公式计算即可; (3)利用三角函数定义,同角三角函数的平方关系及商数关系结合余弦的差角公式计算即可. 【详解】(1)由题意及三角函数定义可知 , ,所以 , 由诱导公式可知 ; (2)由(1)及二倍角公式可知 , 又 ,所以 ,故 (负值舍去); (3)由题意可知 , 为第二象限角, 所以 , 所以 学科网(北京)股份有限公司, 因为 , 为第二象限角, , 则 为第二象限角,即 , 所以 4.(23-24高一上·广东广州·期末)已知函数 . (1)求函数 的最小正周期; (2)若 ,求 的值. 【答案】(1) (2) 【知识点】辅助角公式、求正弦(型)函数的最小正周期、三角函数的化简、求值——同角三角函 数基本关系 【分析】(1)由辅助角公式化简后结合正弦型函数的性质即可得; (2)由题意结合象限可得 、 ,借助二倍角公式即可得 的值. 【详解】(1) , 则 ,即函数 的最小正周期为 ; (2) , 故 ,又 ,故 , 学科网(北京)股份有限公司. 5.(23-24高一上·四川广安·期末)已知 . (1)求 和 的值; (2)若 为第四象限角,当 时,求函数 的最小值. 【答案】(1) ; (2) 【知识点】三角恒等变换的化简问题、二倍角的正切公式、三角函数的化简、求值——同角三角函 数基本关系、求二次函数的值域或最值 【分析】(1)利用两角和的正弦与余弦公式展开化简已知等式得 ,由同角三角函 数关系得 ,再由二倍角正切公式可得 ; (2)由 为第四象限,可得 的值,确定二次函数 ,按对称轴是否在区间内分类讨 论求最小值即可. 【详解】(1)由 得, , 所以有 , 化简整理得 . 若 ,则 ,这与 矛盾, 故 ,所以有 , 学科网(北京)股份有限公司则 ; (2)由 为第四象限角,得 , 故联立 ,可得 , 所以 , 二次函数 的图象开口向上,对称轴为 , 由 , ,则 . 当 时, , 在 上单调递减,在 单调递增, 则 ; 当 时, 在 单调递增, 则 . 综上所述, . 6.(23-24高一上·江苏常州·期末)已知 . (1)若 为奇函数,求 的值,并解方程 ; (2)解关于 的不等式 . 【答案】(1) (2)答案见解析 【知识点】由奇偶性求参数、解含有参数的一元二次不等式、三角函数的化简、求值——同角三角 学科网(北京)股份有限公司函数基本关系、对数的运算性质的应用 【分析】(1)由 为奇函数,可令 ,求出 的值,并根据对数运算求出 ,即得方程的解集; (2)将不等式代入化简为 ,即 ,分别在 三种情况下分类讨论即可. 【详解】(1) 的定义域为R, 因为 为奇函数,则 , 解得 ,故 , 又 ,即 , 所以函数 为奇函数,故 . 又 ,即 , 解得 ,即 . (2)因为 , , , 关于 的不等式 可转化为 , 即 , ①当 时, ; ②当 时, ,解得 , 学科网(北京)股份有限公司③当 时, 或 ,解得 或 , , 综上,当 时,原不等式的解集为 , 当 时,原不等式的解集为 , 当 时,原不等式的解集为 . 7.(23-24高一上·山西太原·期末)已知 ,且 . (1)求 的值; (2)求 的值. 【答案】(1) (2) 【知识点】三角函数的化简、求值——同角三角函数基本关系、用和、差角的余弦公式化简、求值、 二倍角的正弦公式、给值求值型问题 【分析】(1)借助二倍角公式与三角函数基本关系将弦化为切计算即可得; (2)结合三角函数基本关系与三角恒等变换计算即可得. 【详解】(1) ,且 , 则 ; (2) , , , , , 则 ,即 , , 学科网(北京)股份有限公司. 8.(23-24高一上·青海西宁·期末)已知第二象限角 满足________.请从下列三个条件中任选一 个作答.(注:如果多个条件分别作答,按第一个解答计分) 条件①: , 是关于 的方程 的两个实根;条件②:角 终边上一点 ,且 ;条件③: . (1)求 的值; (2)求 的值. 【答案】(1) (2) 【知识点】用和、差角的正切公式化简、求值、三角函数的化简、求值——同角三角函数基本关系、 正、余弦齐次式的计算、由终边或终边上的点求三角函数值 【分析】(1)选①,结合韦达定理以及一元二次方程可得 ,选②,由三角函数定义可 得 ,选③,由两角差的正切公式可得 ;代入 即可得解. (2)利用诱导公式化简成 的齐次式即可得解. 【详解】(1)选择① 由于 , 是关于 的方程 的两个实根, 则 , 为第二象限角, 学科网(北京)股份有限公司解得 , ; 则 , 选② 因为角 终边上一点 ,且 , 所以 ,且 为第二象限角,解得 , 则点 ; 所以 , 选③ 因为 , 所以 , 解得 , 所以 . (2) . 9.(23-24高一上·湖南长沙·期末)已知 , . (1)求 的值; (2)若 ,且 ,求 的值. 学科网(北京)股份有限公司【答案】(1) (2) 【知识点】二倍角的正弦公式、用和、差角的正切公式化简、求值、三角函数的化简、求值——同 角三角函数基本关系 【分析】(1)利用两角差正切公式求得 ,然后化弦为切及二倍角公式,结合“1”的代换 化弦为切求解即可; (2)先利用同角三角函数关系求得 ,然后利用两角和正切公式求值,最后根据角的范围 确定角的大小. 【详解】(1)因为 , , 所以 ,解得 , 所以 ; (2)因为 ,且 ,所以 ,所以 . 所以 , 又因为 , ,所以 ,所以 . 诱导公式综合应用(共25题) 学科网(北京)股份有限公司1.(23-24高一上·山西长治·期末)已知 ,则下列说法正 确的是( ) A. B. C.若 ,则 D.若 ,则 【答案】BCD 【知识点】正、余弦齐次式的计算、三角函数的化简、求值——同角三角函数基本关系、三角函数 的化简、求值——诱导公式、二倍角的正弦公式 【分析】利用诱导公式化简 的表达式,可判断A,B;利用齐次式法求值,可判断C;化 为 ,求值,即可判断D. 【详解】由题意得 ,A错误,B正确; 当 时, ,C正确; 若 ,则 ,D正确. 故选:BCD. 2.(23-24高一上·安徽芜湖·期末)已知 ,则下列结论正确的是( ) A. B. C. D. 【答案】ACD 学科网(北京)股份有限公司【知识点】二倍角的余弦公式、诱导公式五、六、三角函数的化简、求值——同角三角函数基本关 系 【分析】利用诱导公式整体求值判断A,同角三角函数基本关系判断B,利用二倍角余弦公式判断CD. 【详解】已知 ,则 ,A正确; 因为 ,则 ,故 ,故B错误; ,C正确; ,故 ,D正确. 故选:ACD 3.(23-24高一上·广东惠州·期末)已知函数 的部分图 象如图所示, 图象经过点 和点 ,且 在区间 上单调,则( ) A. B. C. D. 【答案】BCD 【知识点】由正(余)弦函数的性质确定图象(解析式)、利用正弦型函数的单调性求参数、三角 学科网(北京)股份有限公司函数的化简、求值——诱导公式 【分析】根据图象先确定出 的值,然后根据图象所过的点以及单调性结合分类讨论确定出 的 值,则AB选项可判断;求出 的解析式,代入计算可判断出C选项;计算并化简 ,即可判断出D选项. 【详解】由图象可知: ,所以 , 因为 的图象过 ,所以 , 因为 ,所以 或 , 因为 在区间 上单调,所以 ,所以 , ①当 时, , 因为 图象过 ,所以 ,所以 , 所以 , ,又 ,所以 , 此时 ,显然 在 附近单调递增,这与图象矛盾,故B错误; ②当 时, , 因为 图象过 ,所以 ,所以 , 所以 , ,又 ,所以 , 所以 ,当 时,令 , 此时 在 上单调递减,故A正确; 因为 ,故C正确; 学科网(北京)股份有限公司因为 , , 所以 ,故D正确; 故选:BCD. 【点睛】关键点点睛:本题考查正弦函数的图象与性质的综合运用,对学生的分析与计算能力要求 较高,难度较大.解答本题的关键在于:分析出 取值并结合单调性求解出 的值后,要根据图象 对所得结果进行检验,排除一组 的取值,由此才可继续分析剩余选项. 4.(23-24高一上·福建龙岩·期末)在①角 的终边与单位圆的交点为 ;② ;③ 这三个条件中任选一个,补充在下面的横线上,并解答 问题. 已知 ,且 ,_________. (1)求 的值; (2)求 的值. 【答案】(1) (2) 【知识点】用和、差角的正弦公式化简、求值、三角函数的化简、求值——诱导公式、三角函数的 化简、求值——同角三角函数基本关系 【分析】(1)选条件①:根据 满足单位圆方程求解;选条件②:根据正弦的二倍角公式, 结合同角三角函数的关系求解;选条件③:根据同角三角函数的关系求解;均可得 的值,再根据诱导公式化简即可; 学科网(北京)股份有限公司(2)根据题意可得 ,再根据 ,展开后根据同角三角函数的关 系结合角度范围分别求解正余弦值,从而求得 ,进而根据角度范围可得 . 【详解】(1)选条件①:因为角 的终边与单位圆的交点为 , 可得 ,又 为锐角,所以 , 所以由三角函数的定义可得 选条件②: 因为 , 为锐角,所以 ; 又因为 ,得 . 选条件③:因为 , , 所以 得 , 又因为 为锐角,所以 , , . 故 ; (2) , 由(1) , , 学科网(北京)股份有限公司. . 5.(23-24高一上·河北沧州·期末)已知角 的终边经过点 . (1)求 的值; (2)求 的值. 【答案】(1) (2) 【知识点】由终边或终边上的点求三角函数值、正、余弦齐次式的计算、三角函数的化简、求值 ——同角三角函数基本关系、三角函数的化简、求值——诱导公式 【分析】(1)由三角函数定义得 ,进一步结合诱导公式化简求值即可; (2)由平方关系、商数关系化成关于 的齐次式即可求解. 【详解】(1)由条件知 , . (2) . 6.(23-24高一上·江苏常州·期末)在平面直角坐标系xOy中,角 的始边为 轴的非负半轴,终 学科网(北京)股份有限公司边经过第四象限内的点 ,且 . (1)求 的值; (2)求 的值. 【答案】(1) (2) 【知识点】由终边或终边上的点求三角函数值、三角函数的化简、求值——同角三角函数基本关系、 诱导公式二、三、四、诱导公式五、六 【分析】(1)利用角 的始边为x轴的非负半轴,终边经过第四象限内的点 ,得出 ,求解 即可; (2)利用诱导公式转化为 ,结合三角函数定义即可求值. 【详解】(1)因为角 的始边为x轴的非负半轴,终边经过第四象限内的点 , , 所以 ,且 , 解得 (2) 因为 , 学科网(北京)股份有限公司所以 , 所以原式 7.(23-24高一上·湖北武汉·期末)已知函数 . (1)化简 的解析式; (2)若 ,且 , ,求 . 【答案】(1) ; (2) . 【知识点】用和、差角的正弦公式化简、求值、三角函数的化简、求值——诱导公式、三角函数的 化简、求值——同角三角函数基本关系 【分析】(1)直接利用三角函数的诱导公式求出结果; (2)利用三角函数的值和角的恒等变换求出结果. 【详解】(1) (2)由于 , 故 , 所以 , 由于 , 故 , , , 所以 , , 学科网(北京)股份有限公司故 , , 故 , 所以 . 8.(23-24高一上·安徽安庆·期末)(1)求 的值; (2)已知 , ,求 的值. 【答案】(1) ;(2) 【知识点】诱导公式五、六、三角函数的化简、求值——同角三角函数基本关系、对数的运算性质 的应用、对数的运算 【分析】(1)根据对数的运算法则及指数的运算法则计算即可; (2)由已知条件可得 ,再利用诱导公式及同角的商数关系化简原不等式即可得答案. 【详解】(1) (2)因为 , 所以 , 所以 , 所以 或 ,即 或 , 又 , 为第二象限角,所以 ,所以 ; 学科网(北京)股份有限公司所以 . 9.(23-24高一上·山东青岛·期末)如图,平面直角坐标系 中,角 的终边 与单位圆交于 点 . (1)求 , 的值; (2)求 的值. 【答案】(1) , (2) 【知识点】三角函数的化简、求值——诱导公式、三角函数的化简、求值——同角三角函数基本关 系、由终边或终边上的点求三角函数值 【分析】(1)利用三角函数的定义即可求解. (2)利用诱导公式化简即可求解. 【详解】(1)由三角函数的定义知: 因为 ,所以 , 所以 . (2)因为 , , 学科网(北京)股份有限公司, 所以 . 10.(23-24高一上·广西柳州·期末)已知 , (1)求 的值 (2) . 【答案】(1) (2) 【知识点】三角函数的化简、求值——诱导公式、三角函数的化简、求值——同角三角函数基本关 系 【分析】(1)利用同角三角函数的关系结合诱导公式求解即可. (2)利用同角三角函数的关系求解即可. 【详解】(1)因为 , 又因为 ,所以 . (2) 11.(23-24高一上·山东济宁·期末)在平面直角坐标系xoy中,角 与 的顶点均为坐标原点O, 学科网(北京)股份有限公司始边均为x轴的非负半轴.若角 的终边OP与单位圆交于点 ,将OP绕原点O 按逆时针方向旋转 后与角 的终边OQ重合. (1)求 的值; (2)求 的值. 【答案】(1) (2) 【知识点】三角函数的化简、求值——诱导公式、三角函数的化简、求值——同角三角函数基本关 系、正、余弦齐次式的计算、由单位圆求三角函数值 【分析】(1)根据任意角三角函数的定义结合同角三角关系可得 , ,进而 结合诱导公式运算求解; (2)根据题意利用诱导公式结合齐次式问题运算求解. 【详解】(1)由题意可知: , , 因为 ,即 ,且 ,解得 , 即 , . 又因为 , 可得 , 学科网(北京)股份有限公司. 所以 . (2)由(1)知 , 所以 . 12.(23-24高一上·江苏宿迁·期末)已知函数 , . (1)若角 顶点在坐标原点,始边为 正半轴,终边与单位圆交点的横坐标为 ,求 的值; (2)若 ,求 的值. 【答案】(1) (2) 【知识点】三角函数的化简、求值——诱导公式、三角函数的化简、求值——同角三角函数基本关 系、已知正(余)弦求余(正)弦、由终边或终边上的点求三角函数值 【分析】(1)利用同角三角函数的平方关系化简函数 的解析式,由已知条件求出 的值, 结合同角三角函数的基本关系可求得 的值; (2)利用诱导公式结合同角三角函数的基本关系可求得 的值. 【详解】(1)解:由 , 学科网(北京)股份有限公司因为 , , , 所以 , 因为角 的终边与单位圆交点的横坐标为 ,且 , 由三角函数的定义可得 ,则 , 因此, . (2)解:因为 , 所以 , 所以 . 13.(23-24高一上·江苏盐城·期末)如图,在平面直角坐标系 中,锐角 和钝角 的顶角与 坐标原点重合,始边与 轴的非负半轴重合,终边分别与单位圆交于 两点,且 . (1)求 的值; 学科网(北京)股份有限公司(2)若 ,求 的值. 【答案】(1) (2) 【知识点】三角函数的化简、求值——同角三角函数基本关系、诱导公式二、三、四、诱导公式五、 六 【分析】(1)依题意 ,利用诱导公式化简可得 ; (2)由 可得 ,由同角三角函数之间的基本关系可得结果. 【详解】(1)由题意可知钝角 , 所以 . (2)由 可得 , 即 ,可得 , 即 ,所以 ; 可得 ,即 , 解得 或 . 而 为钝角,且 ,故 ,故 , 故 . 14.(23-24高一上·湖北恩施·期末)(1)已知 ,求 学科网(北京)股份有限公司的值; (2)已知 为第二象限角, ,求 的值. 【答案】(1) ;(2) 【知识点】三角函数的化简、求值——诱导公式、三角函数的化简、求值——同角三角函数基本关 系、正、余弦齐次式的计算、sinα±cosα和sinα·cosα的关系 【分析】(1)利用诱导公式化简,可得 ,然后把原式化成齐次式,利用以求的正切函数求值; (2)利用同角的三角函数的基本关系求值. 【详解】解:(1)∵ , ∴由诱导公式化简得: , ∴ , ∴ . (2)∵ ,∴ , ∴ , ∴ , 又∵ 为第二象限角,∴ , ∴ ,∴ . 15.(23-24高一上·江苏连云港·期末)求值 (1)已知 是第三象限角,且 ,求 的值; (2)已知 ,求 的值. 学科网(北京)股份有限公司【答案】(1) (2) 【知识点】已知正(余)弦求余(正)弦、已知弦(切)求切(弦)、诱导公式五、六、三角函数 的化简、求值——诱导公式 【分析】(1)根据条件,利用平方关系得到 ,再利用诱导公式即可求出结果; (2)根据条件得到 ,从而得到 ,通过求出 ,联立 ,求出 ,即可求出结果. 【详解】(1)因为 是第三象限角,且 , 所以 , 又 ,所以 . (2)因为 ①,得到 ,即 , 又 ,所以 ,由 , 得到 ②,联立①②得到 , 所以 . 16.(23-24高一上·陕西宝鸡·期末)已知 . (1)求 的值; (2)求 的值. 【答案】(1) 学科网(北京)股份有限公司(2) 或 【知识点】已知正(余)弦求余(正)弦、正、余弦齐次式的计算、三角函数的化简、求值——同 角三角函数基本关系、三角函数的化简、求值——诱导公式 【分析】(1)利用三角函数的诱导公式结合同角三角函数关系化简已知等式,即可求得答案; (2)判断角所在象限,分类讨论,根据同角三角函数关系求出 的值,即可求得答案. 【详解】(1)由题意得 . 得 ,即 ; (2)由 ,知 ,则 为第一象限角或第三象限角, 代入 ,得 , 当 为第一象限角时, , , 所以 当 为第三象限角时, , , 所以 综上所述, 或 17.(23-24高一上·河北石家庄·期末)(1)计算: : 学科网(北京)股份有限公司(2)已知 是第三象限角,且 ①求 的值; ②求 的值. (3)化简: . 【答案】(1) ;(2)① ;② ;(3) . 【知识点】对数的运算性质的应用、正、余弦齐次式的计算、三角函数的化简、求值——诱导公式、 二倍角的余弦公式 【分析】(1)运用对数换底公式、对数的运算性质、指数幂的运算性质化简计算即得; (2)①利用三角诱导公式和同角的基本关系式化简已知式求得 ,再根据角的象限确定 值;②将所求的弦的二次齐次式通过构造分母化弦为切即得; (3)利用二倍角公式化单角为半角,再逆用二倍角公式,最后根据角的范围去掉根号,化简即得. 【详解】(1) . (2)由题意可得:① , 即 是第三象限角, . ② 是第三象限角, , 学科网(北京)股份有限公司(3)由 , 原式 . 18.(23-24高一上·云南昭通·期末)已知 . (1)化简 ; (2)若 ,且 ,求 的值. 【答案】(1) (2) 【知识点】二倍角的余弦公式、二倍角的正弦公式、用和、差角的正弦公式化简、求值、三角函数 的化简、求值——诱导公式 【分析】(1)利用诱导公式化简即可; (2)先由 求得 ,再结合二倍角公式以及两角和与差的正弦公式即可求得答 案. 学科网(北京)股份有限公司【详解】(1)∵ , ∴ , ∴ . (2)∵ ,∴ . 又 ,∴ , ∴ , , ∴ . 19.(23-24高一上·重庆·期末)化简或计算下列各式: (1) ; (2) 【答案】(1)18 (2) 【知识点】三角函数的化简、求值——诱导公式、对数的运算性质的应用、指数幂的运算 【分析】(1)由指数函数和对数函数的运算性质得到结果. (2)由半角和全角公式化简得到结果. 【详解】(1) 学科网(北京)股份有限公司(2) 20.(23-24高一上·福建莆田·期末)(1)化简求值 (2)已知 为锐角,且满足 求 的值; 【答案】(1) ;(2) 【知识点】三角函数的化简、求值——诱导公式、正、余弦齐次式的计算、对数的运算性质的应用、 对数的运算 【分析】(1)根据对数的运算法则,即可求得答案; (2)解方程求出 ,利用诱导公式化简 ,结合齐次式法求值,即可得 答案. 【详解】(1) ; (2)因为 为锐角,且满足 , 解得 ,(负值舍), 故 . 21.(23-24高一上·陕西西安·期末)(1)证明差角的余弦公式 学科网(北京)股份有限公司(2)若 ,求 的值. 【答案】(1)证明见解析;(2) 【知识点】三角函数的化简、求值——诱导公式、利用平方关系求参数、由三角函数值求终边上的 点或参数 【分析】(1)在单位圆中作角 ,利用三角函数定义写出相应点的坐标,再由 关系利用两点间的距离公式代入整理可证; (2)根据整体角间的关系利用诱导公式求解可得. 【详解】(1)不妨令 . 如图, 设单位圆与 轴的正半轴相交于点 , 以 轴非负半轴为始边作角 , 则它们的终边分别与单位圆相交于点 , , . 连接 .若把扇形 绕着点 旋转 角, 则点 分别与点 重合. 学科网(北京)股份有限公司根据圆的旋转对称性可知, 与 重合, 从而 = ,∴ . 根据两点间的距离公式,得: , 化简得: 当 时,上式仍然成立. ∴对于任意角 有: . (2)由 , 则 ; 且 ; , 故 . 22.(23-24高一上·宁夏石嘴山·期末)已知角 为第四象限角,且角 的终边与单位圆交于点 . (1)求 的值; (2)求 的值. 学科网(北京)股份有限公司【答案】(1) (2) 【知识点】三角函数的化简、求值——诱导公式、由终边或终边上的点求三角函数值 【分析】(1)将点代入单位圆后结合任意角三角函数定义求解即可. (2)利用诱导公式化简求值即可. 【详解】(1)在单位圆中 ,解得 , 因为 第四象限角,所以 (2) 第四象限角 . 23.(23-24高一上·江苏常州·期末)已知集合 . (1)判断元素 , 与集合 的关系,并说明理由; (2)求 . 【答案】(1) , . (2) 【知识点】三角函数的化简、求值——诱导公式、交集的概念及运算、判断元素与集合的关系 【分析】(1)由元素与集合的关系求解即可; (2)由 结合诱导公式求出 ,再由交集的定义求解即可. 【详解】(1)令 ,解得: ,故 ; 学科网(北京)股份有限公司令 ,解得: ,故 ; 故 , . (2)因为 , , 当 为偶数,则 , 当 为奇数,则 , 所以 ,所以 . 24.(23-24高一上·山东聊城·期末)在平面直角坐标系中,角 的顶点与坐标原点重合,始边与 轴非负半轴重合,终边过点 . (1)求 的值; (2)已知 为锐角, ,求 . 【答案】(1) (2) 【知识点】给值求角型问题、三角函数的化简、求值——诱导公式、正、余弦齐次式的计算、由终 边或终边上的点求三角函数值 【分析】(1)利用三角函数的定义求出 的值,利用诱导公式以及弦化切可求得所求代数式的 值; (2)求出 的值,利用两角差的正弦公式求出 的值,结合角 的范围可求得角 的 值. 【详解】(1)解:因为角 的终边过点 ,所以 , 学科网(北京)股份有限公司则 , , . . (2)解:因为角 的终边过点 ,所以 为第四象限角,即 , 又因为 为锐角,则 ,可得 , 因为 ,则 , 因为 ,所以 . 则 . 所以 . 25.(22-23高一上·陕西榆林·期末)筒车是我国古代发明的一种水利灌溉工具,因其经济又环保, 所以至今还在农业生产中被使用.如图,假定在水流稳定的情况下,一个直径为10米的筒车开启后 按逆时针方向匀速旋转,转一周需要1分钟,筒车的轴心O距离水面的高度为 米.以盛水筒P刚 浮出水面时开始计算时间,设筒车开始旋转t秒后盛水筒P到水面的距离为h米(规定:若盛水筒 P在水面下,则h为负数). 学科网(北京)股份有限公司(1)写出h(单位:米)关于t(单位:秒)的函数解析式 (其中 , , ); (2)若盛水筒P在 , 时刻距离水面的高度相等,求 的最小值. 【答案】(1) , (2)40 【知识点】几何中的三角函数模型、由正(余)弦函数的性质确定图象(解析式)、三角函数的化 简、求值——诱导公式 【分析】(1)根据图形,利用几何知识和三角函数求解函数解析式; (2)根据正弦方程,求解 的关系,通过分类讨论得到 的最小值. 【详解】(1)如图,过O作 交PB于点C,设筒车与水面的交点为M,N,连接OM. 因为筒车转一周需要1分钟,所以筒车每秒钟转 ,则 . 又因为 , ,所以 , 则 . , , 即 , . 学科网(北京)股份有限公司(2)不妨设 ,由题意得 , 故 , ① , ,解得 , ,故 ,当且 仅当 , 时,等号成立, ② , ,解得 ,显然当 时, 取得最小 值,最小值为 . 综上, 的最小值为40. 【点睛】思路点睛:几何中的三角函数模型, 一般应按下面几个步骤进行:一是要认真分析题意, 借助已知或画出的示意图,弄清已知量和未知量,二是找出有关的数学模型,找出直角三角形或通 过添加辅助线构造有关的直角三角形,把问题转化为求直角三角形的边或角有关问题,三是选择合 适的三角函数表示出相应的角或线段,建立起函数模型. 学科网(北京)股份有限公司