当前位置:首页>文档>专题10植物的激素调节(学生卷)_近10年高考真题汇编(必刷)_十年(2014-2024)高考生物真题分项汇编(全国通用)_2023年高考真题和模拟题生物分项汇编(全国通用)

专题10植物的激素调节(学生卷)_近10年高考真题汇编(必刷)_十年(2014-2024)高考生物真题分项汇编(全国通用)_2023年高考真题和模拟题生物分项汇编(全国通用)

  • 2026-04-10 13:29:27 2026-02-12 10:52:11

文档预览

专题10植物的激素调节(学生卷)_近10年高考真题汇编(必刷)_十年(2014-2024)高考生物真题分项汇编(全国通用)_2023年高考真题和模拟题生物分项汇编(全国通用)
专题10植物的激素调节(学生卷)_近10年高考真题汇编(必刷)_十年(2014-2024)高考生物真题分项汇编(全国通用)_2023年高考真题和模拟题生物分项汇编(全国通用)
专题10植物的激素调节(学生卷)_近10年高考真题汇编(必刷)_十年(2014-2024)高考生物真题分项汇编(全国通用)_2023年高考真题和模拟题生物分项汇编(全国通用)
专题10植物的激素调节(学生卷)_近10年高考真题汇编(必刷)_十年(2014-2024)高考生物真题分项汇编(全国通用)_2023年高考真题和模拟题生物分项汇编(全国通用)
专题10植物的激素调节(学生卷)_近10年高考真题汇编(必刷)_十年(2014-2024)高考生物真题分项汇编(全国通用)_2023年高考真题和模拟题生物分项汇编(全国通用)
专题10植物的激素调节(学生卷)_近10年高考真题汇编(必刷)_十年(2014-2024)高考生物真题分项汇编(全国通用)_2023年高考真题和模拟题生物分项汇编(全国通用)
专题10植物的激素调节(学生卷)_近10年高考真题汇编(必刷)_十年(2014-2024)高考生物真题分项汇编(全国通用)_2023年高考真题和模拟题生物分项汇编(全国通用)
专题10植物的激素调节(学生卷)_近10年高考真题汇编(必刷)_十年(2014-2024)高考生物真题分项汇编(全国通用)_2023年高考真题和模拟题生物分项汇编(全国通用)
专题10植物的激素调节(学生卷)_近10年高考真题汇编(必刷)_十年(2014-2024)高考生物真题分项汇编(全国通用)_2023年高考真题和模拟题生物分项汇编(全国通用)
专题10植物的激素调节(学生卷)_近10年高考真题汇编(必刷)_十年(2014-2024)高考生物真题分项汇编(全国通用)_2023年高考真题和模拟题生物分项汇编(全国通用)
专题10植物的激素调节(学生卷)_近10年高考真题汇编(必刷)_十年(2014-2024)高考生物真题分项汇编(全国通用)_2023年高考真题和模拟题生物分项汇编(全国通用)
专题10植物的激素调节(学生卷)_近10年高考真题汇编(必刷)_十年(2014-2024)高考生物真题分项汇编(全国通用)_2023年高考真题和模拟题生物分项汇编(全国通用)
专题10植物的激素调节(学生卷)_近10年高考真题汇编(必刷)_十年(2014-2024)高考生物真题分项汇编(全国通用)_2023年高考真题和模拟题生物分项汇编(全国通用)
专题10植物的激素调节(学生卷)_近10年高考真题汇编(必刷)_十年(2014-2024)高考生物真题分项汇编(全国通用)_2023年高考真题和模拟题生物分项汇编(全国通用)
专题10植物的激素调节(学生卷)_近10年高考真题汇编(必刷)_十年(2014-2024)高考生物真题分项汇编(全国通用)_2023年高考真题和模拟题生物分项汇编(全国通用)
专题10植物的激素调节(学生卷)_近10年高考真题汇编(必刷)_十年(2014-2024)高考生物真题分项汇编(全国通用)_2023年高考真题和模拟题生物分项汇编(全国通用)
专题10植物的激素调节(学生卷)_近10年高考真题汇编(必刷)_十年(2014-2024)高考生物真题分项汇编(全国通用)_2023年高考真题和模拟题生物分项汇编(全国通用)

文档信息

文档格式
docx
文档大小
0.972 MB
文档页数
13 页
上传时间
2026-02-12 10:52:11

文档内容

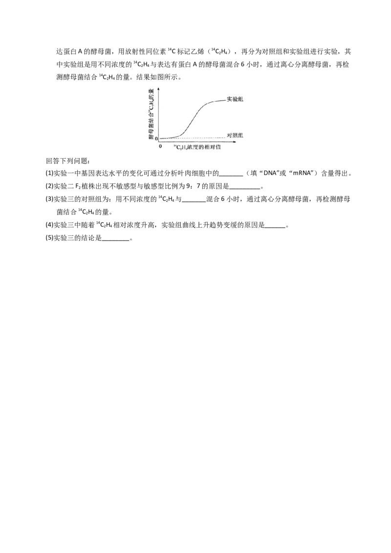
专题 10 植物的激素调节 一、单选题 1.(2023·新课标卷·统考高考真题)我国劳动人民在漫长的历史进程中,积累了丰富的生产、生活经验, 并在实践中应用。生产和生活中常采取的一些措施如下。 ①低温储存,即果实、蔬菜等收获后在低温条件下存放 ②春化处理,即对某些作物萌发的种子或幼苗进行适度低温处理 ③风干储藏,即小麦、玉米等种子收获后经适当风干处理后储藏 ④光周期处理,即在作物生长的某一时期控制每天光照和黑暗的相对时长 ⑤合理密植,即栽种作物时做到密度适当,行距、株距合理 ⑥间作种植,即同一生长期内,在同一块土地上隔行种植两种高矮不同的作物 关于这些措施,下列说法合理的是( ) A.措施②④分别反映了低温和昼夜长短与作物开花的关系 B.措施③⑤的主要目的是降低有机物的消耗 C.措施②⑤⑥的主要目的是促进作物的光合作用 D.措施①③④的主要目的是降低作物或种子的呼吸作用强度 2.(2023·全国·统考高考真题)植物激素是一类由植物体产生的,对植物的生长发育有显著影响的微量有 机物,下列关于植物激素的叙述,错误的是( ) A.在植物幼嫩的芽中色氨酸可以转变成生长素 B.生长素可以从产生部位运输到其他部位发挥作用 C.生长素和乙烯可通过相互作用共同调节植物的生长发育 D.植物体内生长素可以作为催化剂直接参与细胞代谢过程 3.(2023·湖北·统考高考真题)多年生植物甲为一种重要经济作物,果实采收期一般在10月,在生长过 程中常受到寄生植物乙的危害(植物乙的果实成熟期为当年10月到次年2月)。为阻断植物乙的传播 和蔓延,科研人员选用不同稀释浓度的植物生长调节剂M喷施处理,结果如图所示。下列叙述错误的 是( ) 曲线1:稀释浓度为1/100;曲线2:稀释浓度为1/200;曲线3:稀释浓度为1/400;曲线4:对照组 A.据图综合分析,为防治乙的危害,M的稀释浓度应选用1/400B.植物乙对照组的曲线逐渐下降,说明其生长逐渐减弱 C.喷施M时间选择甲果实采收后,乙果实未大量成熟前 D.植物生长调节剂M与植物激素脱落酸的作用相似 4.(2023·浙江·统考高考真题)为研究红光、远红光及赤霉素对莴苣种子萌发的影响,研究小组进行黑暗 条件下莴苣种子萌发的实验。其中红光和远红光对莴苣种子赤霉素含量的影响如图甲所示,红光、远 红光及外施赤霉素对莴苣种子萌发的影响如图乙所示。 据图分析,下列叙述正确的是( ) A.远红光处理莴苣种子使赤霉素含量增加,促进种子萌发 B.红光能激活光敏色素,促进合成赤霉素相关基因的表达 C.红光与赤霉素处理相比,莴苣种子萌发的响应时间相同 D.若红光处理结合外施脱落酸,莴苣种子萌发率比单独红光处理高 5.(2023·广东·统考高考真题)某研学小组参加劳动实践,在校园试验田扦插繁殖药用植物两面针种苗。 下列做法正确的是( ) A.插条只能保留1个芽以避免养分竞争 B.插条均应剪去多数叶片以避免蒸腾作用过度 C.插条的不同处理方法均应避免使用较高浓度NAA D.插条均须在黑暗条件下培养以避免光抑制生根 6.(2023·广东·统考高考真题)种植和欣赏水仙是广东的春节习俗。当室外栽培的水仙被移入室内后,其 体内会发生一系列变化,导致徒长甚至倒伏。下列分析正确的是( ) A.水仙光敏色素感受的光信号发生改变 B.水仙叶绿素传递的光信号发生改变 C.水仙转入室内后不能发生向光性弯曲 D.强光促进了水仙花茎及叶的伸长生长 7.(2023·北京·统考高考真题)水稻种子萌发后不久,主根生长速率开始下降直至停止。此过程中乙烯含 量逐渐升高,赤霉素含量逐渐下降。外源乙烯和赤霉素对主根生长的影响如图。以下关于乙烯和赤霉 素作用的叙述,不正确的是( )A.乙烯抑制主根生长 B.赤霉素促进主根生长 C.赤霉素和乙烯可能通过不同途径调节主根生长 D.乙烯增强赤霉素对主根生长的促进作用 8.(2023·山东·高考真题)拟南芥的向光性是由生长素分布不均引起的,以其幼苗为实验材料进行向光性 实验,处理方式及处理后4组幼苗的生长、向光弯曲情况如图表所示。由该实验结果不能得出的是( ) 分组 处理 生长情况 弯曲情况 甲 不切断 正常 弯曲 乙 在①处切断 慢 弯曲 丙 在②处切断 不生长 不弯曲 丁 在③处切断 不生长 不弯曲 A.结构Ⅰ中有产生生长素的部位 B.①②之间有感受单侧光刺激的部位 C.甲组的①②之间有生长素分布不均的部位 D.②③之间无感受单侧光刺激的部位 9.(2023·浙江·统考高考真题)研究人员取带叶的某植物茎段,切去叶片,保留叶柄,然后将茎段培养在 含一定浓度乙烯的空气中,分别在不同时间用一定浓度IAA处理切口。在不同时间测定叶柄脱落所需的 折断强度,实验结果如图所示。 下列关于本实验的叙述,正确的是( ) A.切去叶片可排除叶片内源性IAA对实验结果的干扰B.越迟使用IAA处理,抑制叶柄脱落的效应越明显 C.IAA与乙烯对叶柄脱落的作用是相互协同的 D.不同时间的IAA处理效果体现IAA作用的两重性 二、多选题 10.(2023·湖南·统考高考真题)番茄果实发育历时约53天达到完熟期,该过程受脱落酸和乙烯的调控, 且果实发育过程中种子的脱落酸和乙烯含量达到峰值时间均早于果肉。基因NCEDI和AC01分别是脱落 酸和乙烯合成的关键基因。NDGA抑制NCED1酶活性,1-MCP抑制乙烯合成。花后40天果实经不同处 理后果实中脱落酸和乙烯含量的结果如图所示。下列叙述正确的是( ) A.番茄种子的成熟期早于果肉,这种发育模式有利于种群的繁衍 B.果实发育过程中脱落酸生成时,果实中必需有NCEDI酶的合成 C.NCED1酶失活,ACO1基因的表达可能延迟 D.脱落酸诱导了乙烯的合成,其诱导效应可被1-MCP消除 三、综合题 11.(2023·山西·统考高考真题)植物的生长发育受多种因素调控。回答下列问题。 (1)细胞增殖是植物生长发育的基础。细胞增殖具有周期性,细胞周期中的分裂间期为分裂期进行物质 准备,物质准备过程主要包括___________。 (2)植物细胞分裂是由生长素和细胞分裂素协同作用完成的。在促进细胞分裂方面,生长素的主要作用 是__________,细胞分裂素的主要作用是__________。 (3)给黑暗中生长的幼苗照光后幼苗的形态出现明显变化,在这一过程中感受光信号的受体有 __________(答出1点即可),除了光,调节植物生长发育的环境因素还有__________(答出2点 即可)。 12.(2023·湖北·统考高考真题)乙烯(C H )是一种植物激素,对植物的生长发育起重要作用。为研究乙 2 4 烯作用机制,进行了如下三个实验。 【实验一】乙烯处理植物叶片2小时后,发现该植物基因组中有2689个基因的表达水平升高,2374个 基因的表达水平下降。 【实验二】某一稳定遗传的植物突变体甲,失去了对乙烯作用的响应(乙烯不敏感型)。将该突变体 与野生型植株杂交,F 植株表型为乙烯不敏感。F 自交产生的F 植株中,乙烯不敏感型与敏感型的 1 1 2 植株比例为9:7. 【实验三】科学家发现基因A与植物对乙烯的响应有关,该基因编码一种膜蛋白,推测该蛋白能与乙 烯结合。为验证该推测,研究者先构建含基因A的表达载体,将其转入到酵母菌中,筛选出成功表达蛋白A的酵母菌,用放射性同位素14C标记乙烯(14C H ),再分为对照组和实验组进行实验,其 2 4 中实验组是用不同浓度的14C H 与表达有蛋白A的酵母菌混合6小时,通过离心分离酵母菌,再检 2 4 测酵母菌结合14C H 的量。结果如图所示。 2 4 回答下列问题: (1)实验一中基因表达水平的变化可通过分析叶肉细胞中的_______(填“DNA”或“mRNA”)含量得出。 (2)实验二F 植株出现不敏感型与敏感型比例为9:7的原因是_________。 2 (3)实验三的对照组为:用不同浓度的14C H 与_______混合6小时,通过离心分离酵母菌,再检测酵母 2 4 菌结合14C H 的量。 2 4 (4)实验三中随着14C H 相对浓度升高,实验组曲线上升趋势变缓的原因是______。 2 4 (5)实验三的结论是________。一、单选题 1.(2023·安徽安庆·安庆一中校考三模)研究者以拟南芥根段作为组织培养材料,探讨了激素诱导愈伤组 织分化生芽的机制。在愈伤组织生芽过程中,细胞分裂素(CK)通过A基因和W基因起作用。为探讨 A基因与W基因的关系,用转基因方法在突变体a(A基因功能缺失突变体)中过量表达W基因,获得 材料甲。将材料甲、突变体a和野生型三组愈伤组织在CK与生长素比例高(高CK)的培养基中培养, 三组愈伤组织分化出芽的比例如图所示。下列有关说法正确的是( ) A.细胞分裂素主要促进细胞伸长生长 B.A基因表达产物可能调控W基因表达 C.A基因表达产物是诱导出芽的必要条件 D.生长素只能从形态学上端运输到形态学下端 2.(2023·广东·广州市第二中学校联考模拟预测)植物褪黑素于1993年在日本牵牛花中首次被发现,植 物褪黑素具有参与植物的生长发育和逆境胁迫的应答作用。为了解植物褪黑素(MT)对Cd2+(镉离 子)胁迫下水稻幼根生长发育的影响,某研究小组测定不同浓度的Cd*胁迫和褪黑素处理下水稻幼根的 总长度(如图所示)。以下说法正确的是( ) A.植物褪黑素是人工合成的具有微量高效的植物生长调节剂 B.从图中可以看出,MT能缓解Cd2+对水稻幼根生长的危害,提高其对Cd2+的耐受程度 C.MT缓解Cd2+对水稻幼根生长的危害的最适浓度是10μmol·L-1 D.不同浓度的MT处理对植物幼根的生长表现出了低浓度促进高浓度抑制效应 3.(2023·河北沧州·校考模拟预测)用不同浓度的生长素(IBA)处理山茶插条,一段时间后统计其生根数, 计算生根率,结果如图所示。下列相关叙述正确的是( )A.应将插条的形态学上端浸泡在IBA溶液中 B.IBA可以提亮山茶插条的生根率 C.IBA浓度过高会抑制山茶插条生根 D.保进生根的最适1BA浓度范围是 4.(2023·广东·广州市第二中学校联考模拟预测)坐果指经受精形成的幼果能正常生长发育而不脱落。赤 霉素(GA)能提高番茄坐果率,人工合成的番茄灵(PCPA)也有提高坐果率的效果。某科研小组利用 一定浓度的赤霉素和番茄灵进行一系列实验(如图所示),下列叙述错误的是( ) A.番茄灵是人工合成的植物生长调节剂 B.B组处理方法是用一定浓度的PCPA培养番茄 C.生产中,赤霉素和番茄灵共同使用时,坐果率明显提高 D.实验结果说明赤霉素和番茄灵都能提高坐果率,赤霉素更明显 5.(2023·江苏·统考模拟预测)甲图表示燕麦幼苗生长素浓度与作用的关系;乙图表示将一株燕麦幼苗水 平放置,培养一段时间后的生长状况;丙图表示燕麦胚芽鞘。下列有关叙述错误的是( ) A.甲、乙图示都说明了植物生长素作用具有两重性,乙图中四个点中只有a点是抑制作用 B.光不仅能够为植物提供能量,还能作为信号调控植物生长发育过程 C.丙图A段产生生长素,向B段运输时运输方式为主动运输 D.在探究生长素类似物促进插条生根的最适浓度时,预实验的目的是减小实验误差 6.(2023·河北·河北巨鹿中学校联考三模)生长素和赤霉素都能促进植物生长。下列相关叙述正确的是( )A.两者通过为细胞提供能量来调节细胞的生命活动 B.两者的分泌既受基因调控,又能影响基因表达 C.两者都能促进果实的形成和成熟,并表现出协同作用 D.两者都是由植物的内分泌细胞产生的微量有机物 7.(2023·广西南宁·南宁二中校考模拟预测)如图甲表示水平放置的幼苗根、茎的生长状况,如图乙是同 一植株的不同器官对生长素浓度的反应。下列叙述正确的是( ) A.图甲、乙能体现生长素作用的两重性 B.图甲A处的生长素浓度一定高于10-2mol·L-1 C.e表示抑制根,f表示抑制芽,m表示抑制茎 D.促进不同种类的植物生长的最适生长素浓度相同 8.(2023·广西·模拟预测)研究表明,大熊猫是由以肉食为主的始熊猫进化而来,历经约800万年。下列 叙述错误的是( ) A.“放射性同位素”可用于研究大熊猫进化 B.对大熊猫尿液成分分析,可能检测到生长素 C.大熊猫食性进化的实质是有利变异的保存 D.大熊猫食性进化可能是竞争的加剧造成的 9.(2023·陕西·统考一模)下列关于植物生命活动调节的叙述中,正确的是( ) A.决定器官生长、发育的,往往不是某种激素的绝对含量,而是不同激素的相对含量 B.生产啤酒时通常利用赤霉素处理大麦种子,因为赤霉素可催化种子的淀粉水解 C.在芽等幼嫩的部位中,色氨酸可转变成生长素,可用双缩脲试剂鉴定生长素 D.多种激素相互作用、共同调节植物的生命活动,植物的生命活动只存在激素调节 10.(2023·江苏扬州·扬州中学校考三模)植物生长发育是由基因表达调控、激素调节和环境因素调节共 同完成的。下列说法正确的是( ) A.植物根中具有感受重力的物质和细胞,可以将重力信号转换为生长素合成信号 B.年轮、春化作用均能说明湿度参与植物生长发育的调节 C.种子的萌发是受多种植物激素共同调控的生命活动过程 D.植物生长调节剂是人工合成的分子结构和生理作用都与植物激素类似的化合物 11.(2023·辽宁沈阳·沈阳二中校考模拟预测)科学家研究了绞股蓝种子中赤霉素和脱落酸在分子水平上 的调节机理,以及环境因素对这两种激素合成的影响,结果如下图所示。下列叙述正确的是( )A.蛋白质2可能是α-淀粉酶 B.蛋白质3一定是光敏色素 C.种子的萌发根本上是由脱落酸和赤霉素相对含量决定的 D.据图可知温度较低、播种浅更有利于绞股蓝种子发芽 12.(2023·广东梅州·统考三模)为研究拟南芥中IAA调控植物初生根生长的机制,研究人员进行了如图实 验。下列分析错误的是( ) A.由实验可知,IAA和GA对根的生长影响具有协同作用 B.该实验证实GA通过促进IAA合成来促进根的生长 C.该实验的自变量不只有一个,植物种类属于无关变量 D.去掉顶芽的拟南芥的生长素含量会低于正常植株的 13.(2023·江苏扬州·江苏省高邮中学校考模拟预测)生长素对细胞生长调节的机理如下图,相关叙述正 确的是( ) A.生长素主要通过控制乙烯的合成参与细胞代谢,调控细胞的伸长 B.乙烯具有促进果实成熟和直接抑制细胞伸长的作用 C.植物体中能合成生长素的部位都能合成乙烯,合成乙烯的部位不一定能合成生长素 D.生长素和乙烯均可通过主动运输进行细胞间的跨膜运输 二、综合题 14.(2023·安徽合肥·合肥一中校考模拟预测)水稻是我国的主粮之一,对水稻的研究历来备受关注。随 着全球气候变化,极端天气会使水稻大量减产,加剧粮食安全问题。研究水稻适应温度变化的调控机 制,对水稻增产具有重要意义。 (1)研究发现花粉母细胞减数分裂容易受温度影响,由此推测低温冷害导致稻谷减产的原因是 ____________________。水的比热容大,可用于调节和改善田间小气候,农业生产上可采取灌 ________(填“深水”或“浅水”)帮助水稻防御低温。(2)高温热害也是限制农作物产量的重要因素。籽粒形成期的水稻遭遇高温,叶绿素含量会显著减少, 光合作用强度下降,____________减少,导致水稻减产。高温还会导致水稻产生大量活性氧,超过 水稻体内抗氧化酶催化活性氧代谢的限度,进而损伤核物质。油菜素内酯能减小活性氧对水稻核物 质的损伤,推测油菜素内酯的作用原理是提高了________________。 (3)请设计实验验证施用油菜素内酶类调节剂能够提高水稻在高温胁迫下的结实率(实粒数占总粒数的 比例),并简要写出实验思路及预期结果。____________ 15.(2023·北京·北京四中校考模拟预测)科学家依据油菜素内酯(brassinolide,BL)的基本化学结构特征, 鉴定到大约60种与BL结构与功能相似的植物甾醇,统称为油菜素甾醇类物质(Brassinosteroids, BR)。BR与其他植物激素一起参与调节植物发育,包括茎叶的生长、根的生长以及种子的萌发等。 (1)BR是近几十年,继生长素、________________之后被确定的第六大植物激素,请列举化学物质被确 定为植物激素的标准(或植物激素的特征),请写出4条________________。 (2)IAA可以通过促进细胞的________________促进植物的生长,科研工作者以拟南芥为实验材料,研究 了BL(1nmol/L)与IAA在植物侧根发育中的作用,如图1。 ①将发育状况基本相同的拟南芥幼苗用于实验,图1设计了________________组实验,激素组成是 ________________的一组其侧根数目作为计算百分比的标准(100%)或对照组。 ②据图1分析:IAA对侧根发育的作用特点是________________。 ③BL和IAA协同效应发生在IAA________________浓度范围。 (3)科研工作者克隆到了BL合成信号通路中的2个关键基因(CPD和DWF4),并检测了侧根中的mRNA 含量。图2说明,BL的合成受到________________调节,图3说明体内BL含量受________________ 机制调节维持相对稳定。 16.(2023·广东·模拟预测)水稻是世界主要粮食作物之一,其有效分蘖是高产的关键。分蘖是水稻麦、 类等禾本科作物的一种特殊的分枝(相当于侧芽)现象,顶端优势是植物分枝调控的核心问题。为探 究外源生长素极性运输抑制剂对不同磷浓度处理条件下水稻分蘖数的影响,某科研小组取若干长势相同的水稻幼苗进行实验,并在水稻灌浆期统计分蘖数,分组、处理和实验结果如表所示。回答下列问 题: 分 处理 分蘖数(个) 组 甲 NP 2.7 组 乙 NP+NPA 4.2 组 丙 LP 1.3 组 丁 LP+NPA 1.0 组 注:NPA为生长素极性运输抑制剂,NP为正常供磷条件,IP为低磷条件。 (1)植物顶芽产生的生长素,是由________经过一系列反应转变而成的。这些生长素可通过________方 式逐渐向下运输,使枝条上部的侧芽发育受到抑制,植株因而表现出顶端优势。 (2)根据甲、乙两组的实验结果可知,正常供磷条件下,NPA最可能通过________促进水稻分蘖的发生。 综合表中数据可知,除了生长素之外,水稻体内可能还存在其他因素抑制分蘖的发生,判断依据是 ________。 (3)在实际生产中,除了分蘖数外,分蘖角度(指植株主茎与分蘖之间的夹角,如图中 角)也是水稻 栽培和品种选育研究的一个重要性状。根据分蘖角度一般可将水稻分为两类:分蘖角度较小的直立 型和分蘖角度较大的散生型。某研究所在搜集稻种资源时,发现一株分蘖角度可随生育进程呈动态 变化的水稻,并初步判断该植株在理论上符合高产要求。这株水稻在分蘖期(生长前期)表现为散 生型、进入抽穗期(生长后期或成熟期)后逐渐表现为直立型。请结合所学的生物学知识,尝试从 光能利用、种间关系及机械化收割的便捷性等角度分析,为何该研究所初步判断这株水稻在理论上 符合高产要求?________ 17.(2023·山东济南·统考三模)2,4-D是常用的植物生长调节剂,对植物生长具有多重作用,寻找应用 的最佳浓度范围,具有重要的应用价值。下图为生长素和2,4-D的结构图。回答下列问题 (1)植物细胞中_____(填“含”或“不含”)控制合成2,4-D的基因。据图分析,2,4-D和生长素具 有相似的生理作用,原因是_____。 (2)小麦与花生相比,对2,4-D作用较敏感的是_____。用一定浓度的2,4-D涂抹未授粉的番茄雌蕊柱头也能培育出无籽番茄,说明2,4-D有_____作用。 (3)在探究2,4-D促进枝条生根的实验中,实验前枝条需用清水浸泡一段时间,该操作的目的是_____。 然后将枝条的_____部(填“顶”或“基”)浸泡在配制好的2,4-D溶液中。 (4)植物自身可以合成生长素,农业生产中还要使用植物生长调节剂的原因是_____。因植物生长调节剂 具有_____等优点而在生产中广泛应用,但是使用时依然要_____,才能发挥作用。 18.(2023·湖北襄阳·襄阳四中校考模拟预测)独脚金内酯(SL)是近年来新发现的一类植物激素,SL合 成受阻或SL不敏感突变体都会失去顶端优势。现有拟南芥SL突变体1(max1)和SL突变体2 (max2),其生长素水平正常,但植株缺失顶端优势,与野生型(W)形成明显区别(如图1);在幼 苗期进行嫁接试验,培养后植株形态如图2所示。回答下列问题。 注:野生型的根能产生SL,R代表根,S代表地上部分,“+” 代表嫁接。 (1)植物激素是指____。 (2)据图推测,max2_R、W_S、W_R中能产生SL的是_____;maxl_S、max2_S、W_S中对SL不敏感的是 ____。 (3)若再进行两组嫁接实验:甲组为max2_S+max1_R和乙组为max1_S+max2_R,试预测两组实验的顶端 优势缺失情况,甲组:______;乙组:______。 19.(2023·黑龙江大庆·大庆实验中学校考模拟预测)矮化后的夹竹桃可以净化空气、美化环境。在培育 矮化植物时,除了进行摘除顶芽等一些修剪工作外,还要控制光照等条件才能达到效果,根据所学知 识回答下列问题。 (1)为了探究2,4-D促进夹竹桃生根的最适浓度,处理插条的方法主要是__________和___________。在 正式实验前先做一个预实验,其目的是__________。 (2)矮化过程中,需要__________(填“补充”或“减少”)光照。植物之所以能够对光做出反应,表 明植物具有能接受光信号的分子,__________是其中的一种,该物质在植物体__________(部位) 的细胞内比较丰富。 (3)为了探究某矮化夹竹桃是赤霉素受体异常还是无法产生赤霉素造成的,应该选择夹竹桃__________ (“幼苗”还是“成体”)为实验材料,原因是__________。请写出探究的实验思路:_________。 20.(2023·安徽·校联考模拟预测)为研究机械压力在豌豆幼苗出土时对上胚轴生长的影响,科研人员完成下列实验。 (1)在植物生长过程中,___________(答出2点即可)等环境因素参与调节植物的生长。对出土的豌豆 幼苗而言,机械压力具有重要影响。 (2)科研人员将若干豌豆幼苗分为实验组和对照组,实验组施加机械压力,对照组不施加(如图1),测 定幼苗的乙烯产生量,实验结果如图2。 请结合图1,解释图2中20天后两条曲线变化趋势不同的原因___________。 (3)科研人员进一步实验,给豌豆幼苗施加机械压力(分别覆盖厚度为60mm、90mm、120mm的玻璃 珠)或施用不同浓度乙烯处理(单位为ppm),得到图3所示结果。 ①由实验结果分析,___________可导致豌豆上胚轴缩短变粗。 ②综合上述结果,科研人员推测机械压力导致豌豆上胚轴缩短变粗依赖于乙烯,论证依据是 ____________。 (4)由此可见,植物生长发育的调控是由___________共同调节的。