当前位置:首页>文档>数学(北京卷)(参考答案)_2023高考押题卷_学易金卷-2023学科网押题卷(各科各版本)_2023学科网押题卷-学易金卷-数学_数学(北京卷)-学易金卷:2023年高考考前押题密卷

数学(北京卷)(参考答案)_2023高考押题卷_学易金卷-2023学科网押题卷(各科各版本)_2023学科网押题卷-学易金卷-数学_数学(北京卷)-学易金卷:2023年高考考前押题密卷

  • 2026-03-29 09:39:45 2026-02-12 14:46:29

文档预览

数学(北京卷)(参考答案)_2023高考押题卷_学易金卷-2023学科网押题卷(各科各版本)_2023学科网押题卷-学易金卷-数学_数学(北京卷)-学易金卷:2023年高考考前押题密卷
数学(北京卷)(参考答案)_2023高考押题卷_学易金卷-2023学科网押题卷(各科各版本)_2023学科网押题卷-学易金卷-数学_数学(北京卷)-学易金卷:2023年高考考前押题密卷
数学(北京卷)(参考答案)_2023高考押题卷_学易金卷-2023学科网押题卷(各科各版本)_2023学科网押题卷-学易金卷-数学_数学(北京卷)-学易金卷:2023年高考考前押题密卷
数学(北京卷)(参考答案)_2023高考押题卷_学易金卷-2023学科网押题卷(各科各版本)_2023学科网押题卷-学易金卷-数学_数学(北京卷)-学易金卷:2023年高考考前押题密卷
数学(北京卷)(参考答案)_2023高考押题卷_学易金卷-2023学科网押题卷(各科各版本)_2023学科网押题卷-学易金卷-数学_数学(北京卷)-学易金卷:2023年高考考前押题密卷
数学(北京卷)(参考答案)_2023高考押题卷_学易金卷-2023学科网押题卷(各科各版本)_2023学科网押题卷-学易金卷-数学_数学(北京卷)-学易金卷:2023年高考考前押题密卷
数学(北京卷)(参考答案)_2023高考押题卷_学易金卷-2023学科网押题卷(各科各版本)_2023学科网押题卷-学易金卷-数学_数学(北京卷)-学易金卷:2023年高考考前押题密卷
数学(北京卷)(参考答案)_2023高考押题卷_学易金卷-2023学科网押题卷(各科各版本)_2023学科网押题卷-学易金卷-数学_数学(北京卷)-学易金卷:2023年高考考前押题密卷
数学(北京卷)(参考答案)_2023高考押题卷_学易金卷-2023学科网押题卷(各科各版本)_2023学科网押题卷-学易金卷-数学_数学(北京卷)-学易金卷:2023年高考考前押题密卷
数学(北京卷)(参考答案)_2023高考押题卷_学易金卷-2023学科网押题卷(各科各版本)_2023学科网押题卷-学易金卷-数学_数学(北京卷)-学易金卷:2023年高考考前押题密卷
数学(北京卷)(参考答案)_2023高考押题卷_学易金卷-2023学科网押题卷(各科各版本)_2023学科网押题卷-学易金卷-数学_数学(北京卷)-学易金卷:2023年高考考前押题密卷

文档信息

文档格式
docx
文档大小
0.204 MB
文档页数
7 页
上传时间
2026-02-12 14:46:29

文档内容

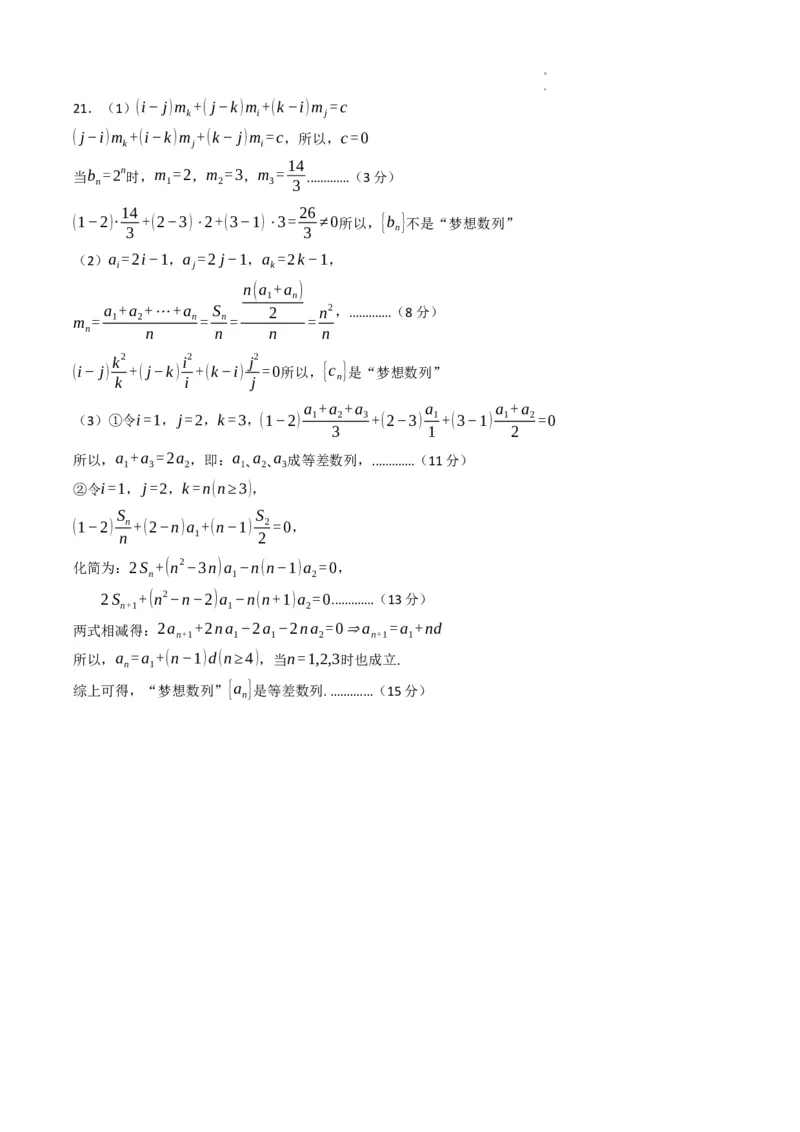
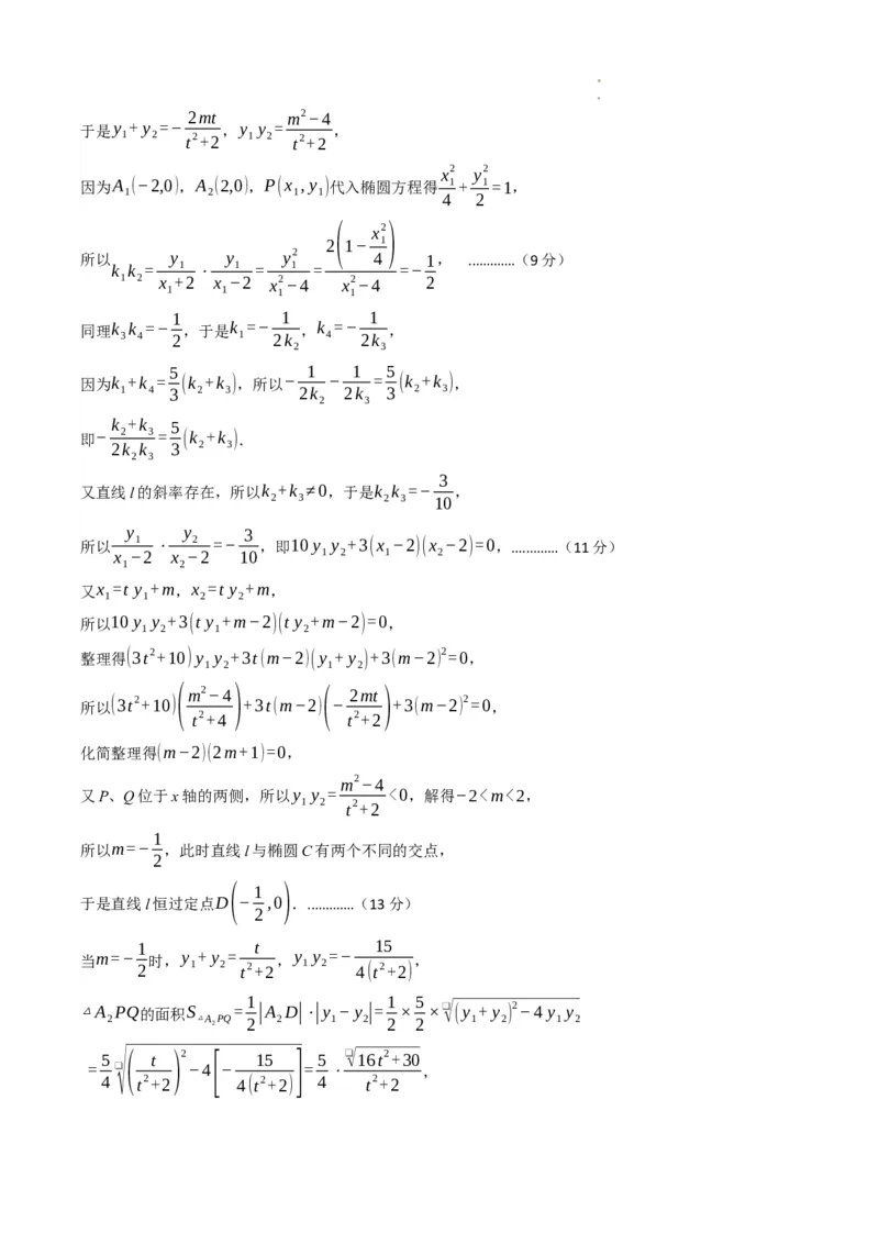
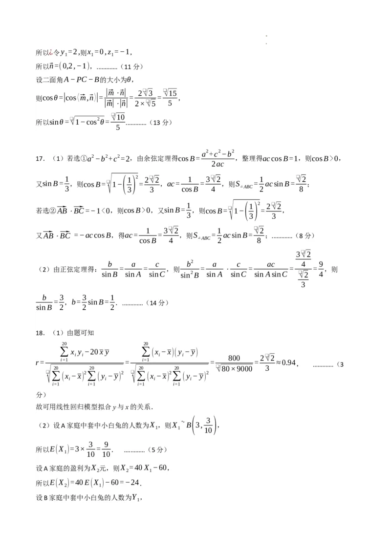
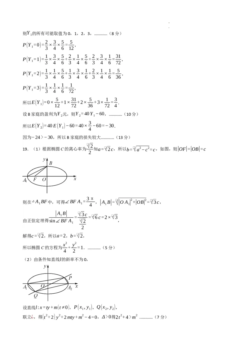
2023 年高考考前押题密卷(北京卷) 数学·参考答案 1 2 3 4 5 6 7 8 9 10 D B D B B B D D D D ❑√10 1 11.4 12.68 13. 16 . 15 3 14.4 【解答题评分细则】 16.(1)因为PA垂直于圆O所在的平面,即PA⊥平面ABC, BC⊂平面ABC,所以PA⊥BC, 又因为AC为圆O的直径,所以BC⊥AB, .…………(2分) PA∩AB=A,PA,AB⊂平面PAB, 所以BC⊥平面PAB,AN⊂平面PAB,所以BC⊥AN, 又因为AN⊥PB,BC∩PB=B,BC,PB⊂平面PBC, 所以AN⊥平面PBC,PC⊂平面PBC,所以AN⊥PC,.…………(4分) 又因为AS⊥PC,AS∩AN=A,AS,AN⊂平面ASN, 所以PC⊥平面ASN,SN⊂平面ASN, 所以∠ASN是二面角A−PC−B的平面角. .…………(5分) (2)设AC=2a,因为∠ACB=30∘,∠PCA=45∘, 所以AB=a,PA=2a,BC=❑√3a, 过点B作AP的平行线为z轴,并以BC,BA为x,y轴建系如图, 则A(0,a,0),B(0,0,0),C(❑√3a,0,0),P(0,a,2a),.…………(7分) 设平面APC的法向量为⃗m=(x,y,z), ⃗AP=(0,0,2a),⃗AC=(❑√3a,−a,0), 所以¿令x=1,则y=❑√3,z=0, 所以⃗m=(1,❑√3,0),.…………(9分) 设平面PBC的法向量为⃗n=(x ,y ,z ), 1 1 1 ⃗BC=(❑√3a,0,0),⃗BP=(0,a,2a), 学科网(北京)股份有限公司所以¿令y =2,则x =0,z =−1, 1 1 1 所以⃗n=(0,2,−1),.…………(11分) 设二面角A−PC−B的大小为θ, |⃗m⋅⃗n| 2❑√3 ❑√15 则cosθ=|cos⟨⃗m,⃗n⟩|= = = , |⃗m|⋅|⃗n| 2×❑√5 5 ❑√10 所以sinθ=❑√1−cos2θ= .…………(13分) 5 a2+c2−b2 17.(1)若选①a2−b2+c2=2,由余弦定理得cosB= ,整理得accosB=1,则cosB>0, 2ac 又sinB= 1 ,则cosB=❑ √ 1− (1) 2 = 2❑√2 ,ac= 1 = 3❑√2 ,则S = 1 acsinB= ❑√2 ; 3 3 3 cosB 4 △ABC 2 8 若选②⃗AB⋅⃗BC=−1<0,则cosB>0,又sinB= 1 ,则cosB=❑ √ 1− (1) 2 = 2❑√2 , 3 3 3 1 3❑√2 1 ❑√2 又⃗AB⋅⃗BC =−accosB,得ac= = ,则S = acsinB= ;.…………(8分) cosB 4 △ABC 2 8 3❑√2 b a c b2 a c ac 4 9 (2)由正弦定理得: = = ,则 = ⋅ = = = ,则 sinB sinA sinC sin2B sin A sinC sin AsinC ❑√2 4 3 b 3 3 1 = ,b= sinB= ..…………(14分) sinB 2 2 2 18.(1)由题可知 20 20 ∑ x y −20x y ∑(x −x)(y −y) i i i i 800 2❑√2 r= i=1 = i=1 = = ≈0.94, .…………(3 √ 20 20 √ 20 20 ❑√80×9000 3 ❑∑(x −x) 2∑(y −y) 2 ❑∑(x −x) 2∑(y −y) 2 i i i i i=1 i=1 i=1 i=1 分) 故可用线性回归模型拟合y与x的关系. ( 3 ) (2)设A家庭中套中小白兔的人数为X ,则X ~B 3, , 1 1 10 3 9 所以E(X )=3× = . .…………(5分) 1 10 10 设A家庭的盈利为X 元,则X =40X −60, 2 2 1 所以E(X )=40E(X )−60=−24. 2 1 设B家庭中套中小白兔的人数为Y , 1 学科网(北京)股份有限公司则Y 的所有可能取值为0,1,2,3,.…………(8分) 1 2 3 5 5 P(Y =0)= × × = , 1 3 4 6 12 1 3 5 2 1 5 2 3 1 31 P(Y =1)= × × + × × + × × = , 1 3 4 6 3 4 6 3 4 6 72 1 1 5 1 3 1 2 1 1 5 P(Y =2)= × × + × × + × × = , 1 3 4 6 3 4 6 3 4 6 36 1 1 1 1 P(Y =3)= × × = , 1 3 4 6 72 5 31 5 1 3 所以E(Y )=0× +1× +2× +3× = . 1 12 72 36 72 4 设B家庭的盈利为Y 元,则Y =40Y −60,.…………(10分) 2 2 1 3 所以E(Y )=40E(Y )−60=40× −60=−30. 2 1 4 因为−24>−30,所以B家庭的损失较大.…………(13分) ❑√2 19.(1)根据椭圆C的离心率为 知a=❑√2c,所以b=❑√a2−c2=c,如图,则|OF|=|OB|=c 2 3π 则在△A BF中,可得∠BF A = ,|A B|=❑√|OA | 2+|OB| 2=❑√3c, 1 1 4 1 1 |A B| ❑√3c 1 = =❑√6c=2×❑√3 由正弦定理得sin∠BF A ❑√2 , 1 2 解得c=❑√2,所以a=2,b=❑√2, x2 y2 所以椭圆C的方程为 + =1..…………(5分) 4 2 (2)由条件知直线l的斜率不为0, 设直线l:x=ty+m(t≠0),P(x ,y ),Q(x ,y ), 1 1 2 2 联立¿,得(t2+2)y2+2mty+m2−4=0,Δ>0得2t2+4>m2 .…………(7分) 学科网(北京)股份有限公司2mt m2−4 于是y + y =− ,y y = , 1 2 t2+2 1 2 t2+2 x2 y2 因为A (−2,0),A (2,0),P(x ,y )代入椭圆方程得 1+ 1=1, 1 2 1 1 4 2 ( x2 ) 2 1− 1 所以 y y y2 4 1, .…………(9分) k k = 1 ⋅ 1 = 1 = =− 1 2 x +2 x −2 x2−4 x2−4 2 1 1 1 1 1 1 1 同理k k =− ,于是k =− ,k =− , 3 4 2 1 2k 4 2k 2 3 5 1 1 5 因为k +k = (k +k ),所以− − = (k +k ), 1 4 3 2 3 2k 2k 3 2 3 2 3 k +k 5 即− 2 3= (k +k ). 2k k 3 2 3 2 3 3 又直线l的斜率存在,所以k +k ≠0,于是k k =− , 2 3 2 3 10 y y 3 所以 1 ⋅ 2 =− ,即10 y y +3(x −2)(x −2)=0,.…………(11分) x −2 x −2 10 1 2 1 2 1 2 又x =t y +m,x =t y +m, 1 1 2 2 所以10 y y +3(t y +m−2)(t y +m−2)=0, 1 2 1 2 整理得(3t2+10)y y +3t(m−2)(y + y )+3(m−2) 2=0, 1 2 1 2 所以(3t2+10) (m2−4) +3t(m−2) ( − 2mt ) +3(m−2) 2=0, t2+4 t2+2 化简整理得(m−2)(2m+1)=0, m2−4 又P、Q位于x轴的两侧,所以y y = <0,解得−2❑√30,t2= , 16 5 16λ 20 S = ⋅ = 于是 △A 2 PQ 4 λ2+2 2, λ+ λ 20 y= 又函数 2在(❑√30,+∞)上单调递减, λ+ λ ( 5 ) 所以△A PQ面积的取值范围为 0, ❑√30 ..…………(15分) 2 8 20.((1) ,即切点为 , 该点处的斜率 . 则 ,故 ..…………(4分) (2)由(1)知 . 则 等价于 ,.…………(6分) 故 设 ,则 ,所以当 时, , 所以 在 上单调递增,所以 ,.…………(8分) 即当 时, , 因为 ,所以 ,当且仅当 时取等号, 所以 ,即 ..…………(10分) 令 ,则 , 当 ,则 在 上为增函数. 因为 ,所以 ,又 ,.…………(13分) 由于 ,即 , 则 ,即 ..…………(15分) 学科网(北京)股份有限公司21.(1)(i− j)m +(j−k)m +(k−i)m =c k i j (j−i)m +(i−k)m +(k− j)m =c,所以,c=0 k j i 14 当b =2n 时,m =2,m =3,m = .…………(3分) n 1 2 3 3 14 26 (1−2)· +(2−3)⋅2+(3−1)⋅3= ≠0所以,{b }不是“梦想数列” 3 3 n (2)a =2i−1,a =2 j−1,a =2k−1, i j k n(a +a ) 1 n a +a +⋯+a S 2 n2,.…………(8分) m = 1 2 n= n= = n n n n n k2 i2 j2 (i− j) +(j−k) +(k−i) =0所以,{c }是“梦想数列” k i j n a +a +a a a +a (3)①令i=1,j=2,k=3,(1−2) 1 2 3+(2−3) 1+(3−1) 1 2=0 3 1 2 所以,a +a =2a ,即:a 、a 、a 成等差数列,.…………(11分) 1 3 2 1 2 3 ②令i=1,j=2,k=n(n≥3), S S (1−2) n+(2−n)a +(n−1) 2=0, n 1 2 化简为:2S +(n2−3n)a −n(n−1)a =0, n 1 2 2S +(n2−n−2)a −n(n+1)a =0.…………(13分) n+1 1 2 两式相减得:2a +2na −2a −2na =0⇒a =a +nd n+1 1 1 2 n+1 1 所以,a =a +(n−1)d(n≥4),当n=1,2,3时也成立. n 1 综上可得,“梦想数列”{a }是等差数列. .…………(15分) n 学科网(北京)股份有限公司学科网(北京)股份有限公司