当前位置:首页>文档>化学试题答案_2024年6月(1)_01按日期_01号_2024届山东省实验中学高三下学期5月高考模拟_2024届山东省实验中学高三下学期5月高考模拟化学

化学试题答案_2024年6月(1)_01按日期_01号_2024届山东省实验中学高三下学期5月高考模拟_2024届山东省实验中学高三下学期5月高考模拟化学

  • 2026-04-11 15:15:57 2026-02-12 16:28:04

文档预览

化学试题答案_2024年6月(1)_01按日期_01号_2024届山东省实验中学高三下学期5月高考模拟_2024届山东省实验中学高三下学期5月高考模拟化学
化学试题答案_2024年6月(1)_01按日期_01号_2024届山东省实验中学高三下学期5月高考模拟_2024届山东省实验中学高三下学期5月高考模拟化学
化学试题答案_2024年6月(1)_01按日期_01号_2024届山东省实验中学高三下学期5月高考模拟_2024届山东省实验中学高三下学期5月高考模拟化学
化学试题答案_2024年6月(1)_01按日期_01号_2024届山东省实验中学高三下学期5月高考模拟_2024届山东省实验中学高三下学期5月高考模拟化学

文档信息

文档格式
docx
文档大小
0.209 MB
文档页数
2 页
上传时间
2026-02-12 16:28:04

文档内容

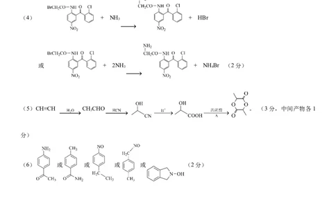
化学参考答案 1-5:CDCBB 6-10:DCBCD 11.A 12. C 13. BC 14. BD 15. AD 16、(12分) (1)F>N>C>H>B(1分) 5∶4(1分) (2)吡啶(1分) 吡咯中,氮原子的孤对电子参与了环的芳香性,这使得氮原子上的电子云密度降低,从而减 弱了其碱性,更难与盐酸反应,即降低其溶解性(1分) (3)小于(1分) (4)易(1分) 中的O-O与S相连,S的电负性大于H,即S对O-O中的电子对吸引力大于H,使O-O中 O原子的电子云密度降低,故 中的比HO 中更易断裂(1分) 2 2 (5)[TiCl (H O) ]Cl•2H O(2分) 2 2 4 2 (6) (1分) (2分) 18、(12分)(除标明外,每空2分) (1)A(1分) BD(1分) (2)Cu2++Cu+2Cl-=2CuCl 当溶液中蓝色褪去变为无色(1分) C (3)乙醇挥发可带走CuCl表面的水分防止其被氧化 (4)79.6 酸式滴定管(1分) 19、(12分)(除标明外,每空2分) (1)+206.3 (2)0.7P 1.56 开始升温时,以II为主,该反应是放热反应,升温平衡向逆反应方向移动,转化率降低;再升 0 第 1 页 共 2 页温,以反应I和III为主,两个反应都是吸热反应,升温向正反应方向移动,转化率升高。(1分) (3)CaO可以去除CO 的反应为: CaO+CO =CaCO ,生成的CaCO 覆盖在CaO的表面,减小了CaO与 CO 的 2 2 3 3 2 接触面积,导致吸收效率降低甚至失效。(1分) (4) B 5.0625 20、(12分)(1)硝基、羰基(2分) (2) (1分) (3)BD(2分,每个1分) (4) + NH + HBr 3 或 + 2NH + NH Br (2分) 3 4 (5)CH≡CH CHCHO 。 (3分,中间产物各1 3 分) (6) 或 或 或 或 (2分) 第 2 页 共 2 页