当前位置:首页>文档>数学(新高考卷01)(参考答案)_2024高考押题卷_62024学科网全系列_24学科网高考押题预测卷_2024年高考数学押题预测卷_数学(新高考卷01,新题型结构)-2024年高考押题预测卷

数学(新高考卷01)(参考答案)_2024高考押题卷_62024学科网全系列_24学科网高考押题预测卷_2024年高考数学押题预测卷_数学(新高考卷01,新题型结构)-2024年高考押题预测卷

  • 2026-04-25 05:39:59 2026-02-12 23:29:11

文档预览

数学(新高考卷01)(参考答案)_2024高考押题卷_62024学科网全系列_24学科网高考押题预测卷_2024年高考数学押题预测卷_数学(新高考卷01,新题型结构)-2024年高考押题预测卷
数学(新高考卷01)(参考答案)_2024高考押题卷_62024学科网全系列_24学科网高考押题预测卷_2024年高考数学押题预测卷_数学(新高考卷01,新题型结构)-2024年高考押题预测卷
数学(新高考卷01)(参考答案)_2024高考押题卷_62024学科网全系列_24学科网高考押题预测卷_2024年高考数学押题预测卷_数学(新高考卷01,新题型结构)-2024年高考押题预测卷
数学(新高考卷01)(参考答案)_2024高考押题卷_62024学科网全系列_24学科网高考押题预测卷_2024年高考数学押题预测卷_数学(新高考卷01,新题型结构)-2024年高考押题预测卷
数学(新高考卷01)(参考答案)_2024高考押题卷_62024学科网全系列_24学科网高考押题预测卷_2024年高考数学押题预测卷_数学(新高考卷01,新题型结构)-2024年高考押题预测卷
数学(新高考卷01)(参考答案)_2024高考押题卷_62024学科网全系列_24学科网高考押题预测卷_2024年高考数学押题预测卷_数学(新高考卷01,新题型结构)-2024年高考押题预测卷
数学(新高考卷01)(参考答案)_2024高考押题卷_62024学科网全系列_24学科网高考押题预测卷_2024年高考数学押题预测卷_数学(新高考卷01,新题型结构)-2024年高考押题预测卷
数学(新高考卷01)(参考答案)_2024高考押题卷_62024学科网全系列_24学科网高考押题预测卷_2024年高考数学押题预测卷_数学(新高考卷01,新题型结构)-2024年高考押题预测卷
数学(新高考卷01)(参考答案)_2024高考押题卷_62024学科网全系列_24学科网高考押题预测卷_2024年高考数学押题预测卷_数学(新高考卷01,新题型结构)-2024年高考押题预测卷
数学(新高考卷01)(参考答案)_2024高考押题卷_62024学科网全系列_24学科网高考押题预测卷_2024年高考数学押题预测卷_数学(新高考卷01,新题型结构)-2024年高考押题预测卷
数学(新高考卷01)(参考答案)_2024高考押题卷_62024学科网全系列_24学科网高考押题预测卷_2024年高考数学押题预测卷_数学(新高考卷01,新题型结构)-2024年高考押题预测卷

文档信息

文档格式
docx
文档大小
0.431 MB
文档页数
7 页
上传时间
2026-02-12 23:29:11

文档内容

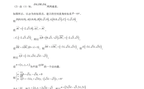
2024年高考押题预测卷01【新高考卷】 数学·参考答案 第一部分(选择题 共58分) 一、选择题:本题共8小题,每小题5分,共40分。在每小题给出的四个选项中,只有一项是符合题目要 求的。 1 2 3 4 5 6 7 8 B C D C B A A D 二、选择题:本题共3小题,每小题6分,共18分.在每小题给出的选项中,有多项符合题目要求.全部 选对的得6分,部分选对的得部分分,有选错的得0分. 9 10 11 AC ABC ACD 第二部分(非选择题 共92分) 三、填空题:本题共3小题,每小题5分,共15分。 12. 13. 14. 四、解答题:本题共5小题,共77分。解答应写出文字说明、证明过程或演算步棸。 15.【详解】(1)在 中, , ,则 , , 在 中,由正弦定理得 , . (2)在 和 中,由余弦定理得 , , 得 ,又 ,得 , 1 原创精品资源学科网独家享有版权,侵权必究! 学科网(北京)股份有限公司则 , , 四边形ABCD的面积 . 16.【详解】(1)当 时, ,则 , 令 ,得 或 , 由于 ,所以当 , , 在 单调递减, 所以当 , , 在 单调递增, 所以 在 时取到极小值,且 , 又因为 , , 综上,函数 在 上的最大值为 ,最小值为 . (2)因为 ,所以 , 当 ,即 时, , 在 单调递增, 当 ,即 时, 令 ,则 , 所以当 , , 在 单调递增, 当 , , 在 单调递减, 当 , , 在 单调递增. 2 原创精品资源学科网独家享有版权,侵权必究! 学科网(北京)股份有限公司综上所述,当 时, 在 单调递增, 当 时, 在 , 单调递增,在 单调递减. 17.【详解】(1)参与调查的人员认知度分值的平均数为 , 方差为 . (2)将这8个字随机排列,不同的排列方法有 种, 相同的字分别相邻的不同情况有 种, 故参与者可以获得奖励的概率 . 若2人同时参与游戏,则恰好有1人获奖的概率为 . (3)根据分层抽样的规则可知,A类抽取4人,B类抽取12人,C类抽取2人,D类抽取2人,则X的所 有可能取值为0,1,2,则 , , , ∴X的分布列为 X 0 1 2 P ∴X的数学期望为 . 18.【详解】(1)不妨设 , 因为 平面 平面 ,故 , 3 原创精品资源学科网独家享有版权,侵权必究! 学科网(北京)股份有限公司在 中, , 由余弦定理, , 得 ,故 ,则 , 因为 平面 ,所以 平面 , 而 平面 ,所以平面 平面 ; (2)由(1)知, 两两垂直, 如图所示,以 为坐标原点,建立的空间直角坐标系 , 则 , 故 , ,所以 , 设 ,则 ,即 , 所以 ; 设 为平面 的一个法向量, 则 , 令 ,则 ,所以 , 因为 轴 平面 ,则可取 为平面 的一个法向量, 设平面 与平面 的夹角为 , 则 , 4 原创精品资源学科网独家享有版权,侵权必究! 学科网(北京)股份有限公司解得 ,故 . 19.【详解】(1)椭圆 的标准方程为 ,则 . 当直线 的倾斜角为 时, 分别为椭圆的左、右顶点,此时两切线平行无交点,不符合题意, 所以直线 的倾斜角不为 , 设直线 , 由 ,得 , 则 , 所以 , 又椭圆 在点 处的切线方程为 ,在点 处的切线方程为 , 由 ,得 , 5 原创精品资源学科网独家享有版权,侵权必究! 学科网(北京)股份有限公司代入 ,得 ,所以 , 则点 到直线 的距离 , 所以 , 设 ,则 , 令 ,则 ,所以 在 上单调递增, 所以当 ,即 时, 的面积最小,最小值是 ; (2)椭圆 的焦点在 轴上,长半轴长为 ,短半轴长为1, 椭球由椭圆 及其内部绕 轴旋转 而成旋转体, 构造一个底面半径为1,高为 的圆柱,在圆柱中挖去一个以圆柱下底面圆心为顶点, 圆柱上底面为底面的圆锥后得到一新几何体, 当平行于底面的截面与圆锥顶点距离为 时,设小圆锥底面半径为 , 则 ,即 ,所以新几何体的截面面积为 , 把 代入 ,得 ,解得 , 所以半椭球的截面面积为 , 6 原创精品资源学科网独家享有版权,侵权必究! 学科网(北京)股份有限公司由祖暅原理,得椭球的体积 . 7 原创精品资源学科网独家享有版权,侵权必究! 学科网(北京)股份有限公司