当前位置:首页>文档>浙江强基联盟2023学年第一学期高三年级10月联考数学答案(1)_2023年10月_0210月合集_2024届浙江强基联盟第一学期高三年级10月联考_浙江强基联盟2024届第一学期高三年级10月联考数学

浙江强基联盟2023学年第一学期高三年级10月联考数学答案(1)_2023年10月_0210月合集_2024届浙江强基联盟第一学期高三年级10月联考_浙江强基联盟2024届第一学期高三年级10月联考数学

  • 2026-04-09 22:30:40 2026-02-13 06:35:21

文档预览

浙江强基联盟2023学年第一学期高三年级10月联考数学答案(1)_2023年10月_0210月合集_2024届浙江强基联盟第一学期高三年级10月联考_浙江强基联盟2024届第一学期高三年级10月联考数学
浙江强基联盟2023学年第一学期高三年级10月联考数学答案(1)_2023年10月_0210月合集_2024届浙江强基联盟第一学期高三年级10月联考_浙江强基联盟2024届第一学期高三年级10月联考数学
浙江强基联盟2023学年第一学期高三年级10月联考数学答案(1)_2023年10月_0210月合集_2024届浙江强基联盟第一学期高三年级10月联考_浙江强基联盟2024届第一学期高三年级10月联考数学
浙江强基联盟2023学年第一学期高三年级10月联考数学答案(1)_2023年10月_0210月合集_2024届浙江强基联盟第一学期高三年级10月联考_浙江强基联盟2024届第一学期高三年级10月联考数学
浙江强基联盟2023学年第一学期高三年级10月联考数学答案(1)_2023年10月_0210月合集_2024届浙江强基联盟第一学期高三年级10月联考_浙江强基联盟2024届第一学期高三年级10月联考数学
浙江强基联盟2023学年第一学期高三年级10月联考数学答案(1)_2023年10月_0210月合集_2024届浙江强基联盟第一学期高三年级10月联考_浙江强基联盟2024届第一学期高三年级10月联考数学
浙江强基联盟2023学年第一学期高三年级10月联考数学答案(1)_2023年10月_0210月合集_2024届浙江强基联盟第一学期高三年级10月联考_浙江强基联盟2024届第一学期高三年级10月联考数学
浙江强基联盟2023学年第一学期高三年级10月联考数学答案(1)_2023年10月_0210月合集_2024届浙江强基联盟第一学期高三年级10月联考_浙江强基联盟2024届第一学期高三年级10月联考数学
浙江强基联盟2023学年第一学期高三年级10月联考数学答案(1)_2023年10月_0210月合集_2024届浙江强基联盟第一学期高三年级10月联考_浙江强基联盟2024届第一学期高三年级10月联考数学

文档信息

文档格式
pdf
文档大小
0.314 MB
文档页数
5 页
上传时间
2026-02-13 06:35:21

文档内容

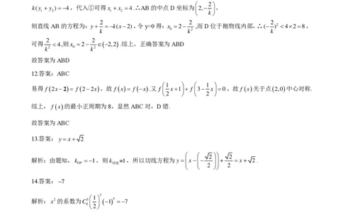
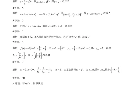
10月强基数学参考答案 1.答案:C 解析:集合A=x 2x4,AB={x|2x3},故选C 2.答案:B 4−a−(2+a)i 解析:z= ,由题 5 1 4 − a = 0 , a = 4 3.答案:B 解析: e = c a = 5 ,取 a = 1 , c = 5 ,则b=2,故选B 4.答案:A 解析: , a+b=(3,4+x) a − 2 b = ( 0 , 4 − 2 x ) ,因 ( a + b ) / / ( a − 2 b ) ,故 4 − 2 x = 0 , x = 2 ,故选A 5.答案:D 解析:由题 a 2 + a  6 a + 6 ,解得 a  6 或 a  − 1 ,故选D 6.答案:C 解析:分别有1人、2人报南京大学两种情况,共计18+6=24种, 故选C 7.答案:B 1 5 解析: f(x)=−2(sin2x− )2 + ,当 2 2 s in 2 x = 1 2 时, y m ax = 5 2 ,当 s in 2 x = 0 时, y m in = 2 ,此时 2 x 6 ,      ,即 x 1 2 , 2      ,故选B 8.答案:D 1 1 1 解析:a =2n+20, − = ,b =2,由累加法得b =2n,由 n b b 2n+1 1 n n n+1 a 2 b 3 4 a 3 , 3 . 2 3   且 b  得   − −  9.答案:BD A选项,若 m ∥ n ,则不满足 B选项,由面面垂直的判定定理推论1知其正确 C选项,由线面垂直的判定定理知其错 D选项,由线面垂直的性质定理和其正确 故答案为BD 10.答案:CD 4 A选项,易知D(X)= 3B选项,易知 2 P ( A B ) = 5 9 , P ( A B ) = 2 9 ,求解易知 P ( B ) = 5 7 ,B错误 C选项,由条件概率定义易知 P ( A ) = P ( B ) D选项,由正态分布的知识易得D正确 故答案为CD 11.答案ABD 易得 x +x =k(y + y )+8①,又 1 2 1 2 y x 1 1 − − y x 2 2 = − k ②,又 y2 =4x ③, y 2 =4x ④,将③④代入②可得: 1 1 2 2 k ( y 1 + y 2 ) = − 4 ,代入①可得 x 1 + x 2 = 4 .∴AB的中点D坐标为  2 , − 2 k  , 则直线AB的方程为: y + 2 k = − k ( x − 2 ) ,令y=0得: x 0 = 2 − 2 k 2 ,而D位于抛物线内部,∴ ( − 2 k ) 2  4  2 = 8 , 2 可得 4,则 k2 x 0 = 2 − 2 k 2  ( − 2 , 2 ) .综上,正确答案为ABD 故答案为ABD 12.答案:ABC 易得 f ( 2 x − 2 ) = f ( 2 − 2 x ) ,故 f ( x ) = f ( − x ) .又 f  1 2 x + 1  + f  3 − 1 2 x  = 0 ,故 f ( x ) 关于点 ( 2 , 0 ) 中心对称. 综上, f ( x ) 的最小正周期为8,显然ABC对,D错. 故答案为ABC 13.答案:y=x+ 2 解析:由题知, k O P = − 1 ,则 k 切 线 = 1   2 2 ,所以切线方程为y=x−− + =x+ 2.   2  2    14.答案: − 7 解析: x 2 的系数为 C 58  1 2  3 ( − 1 ) 5 = − 7 15.答案: − 7 9 解析:由题知, 1 3 = 2 2 ( s in x + c o s x ) ,则 1 9 = 1 2 ( s in x + c o s x ) 2 ,则 s in 2 x = 2 s in x c o s x = 2 9 − 1 = − 7 9 16.答案: 8 解 析 : 由 题 知 a + b = 3 b a ① , a b = c a ② ,, 由 ① 得 b = 3 a − 2 a  a  a  3 2 ,, 由 ② 得 c b = a 2 ,, 则 4c 1 1 4 a a2 + =4a2 + 4a2 + 8,当a4 =1且 =b= 即a=2b=2c=1取“=”,满足题意注.,:: b b(a−b) b(a−b) a2 2 3−a本题的取等条件比较特殊,恰巧同时满足本题条件) 17.解析:注1) 3 b s in C + c s in B = 3 b  s in B s in C + s in C s in B = 3 s in B  s in C = 2 3 -----5分 1 3 注2) S = absinC= = 3ab=4 -----7分 2 4 又c2 =a2 +b2 −2abcosCa2 +b2 =4a=b=2 周长 a + b + c = 6 -----------10分 18.解析:注1) 3 S 4 = 2 ( a 5 + a 8 )  d = 2 a 1 又 a 3 = 3 a 1 + 2  d = a 1 + 1  a 1 = 1 , d = 2  a n = 2 n − 1 , n  N * ------------6分  1 n−1  1  1 2  1 n−1 注2)c =(2n−1) −  T =1+3− +5−  ++(2n−1)−  -----注1) n  2 n  2  2  2 − 1 2 T n =  − 1 2  + 3   − 1 2  2 + 5   − 1 2  3 +    + ( 2 n − 1 )   − 1 2  n -----(2) 由注1)-(2)得 3 2 T n = 1 − ( 2 n − 1 )  − 1 2  n + 2   − 1 2  +  − 1 2  2 +    +  − 1 2  n − 1  -------8分  4 2  1 n 2 化简得T =− n− −  + ------------10分 n  3 9  2 9 若n为偶数时, T n =  − 4 3 n − 2 9    1 2  n + 2 9   − 1 2 , 2 9  -------11分 若为 n 奇数时 T n =  4 3 n + 2 9    1 2  n + 2 9   2 9 ,1  ,因此 T n   − 1 2 , 2 9   2 9 ,1  ------12分 19.解析:注1)取 A D 中点 O ,连接 P O , C O ,则 A D ⊥ P O , A D ⊥ C O , P O C O = O  A D ⊥ 面 P C O  A D ⊥ P C -----------4分 注2)如图建立空间直角坐标系,C(4,0,0),D(02,0),, A D ⊥ 面 P C O  面 P C O ⊥ 面 A B C D ,, P H ⊥ C O ,, 则 P H ⊥ 面 A B C D PDH 为 P D 与平面ABCD所成的角.即 P D H 4   = ---------7分4  P ( 2 , 0 , 2 2 ) CD=(−4,2,0),CP= ( −2,0,2 2 ) 设平面PCD的法向量为 n 1 = ( x , y , z )  C C D P   n n 1 = = 0 0 ( ) 取n = 2,4, 2 --------9分 1 平面ABCD的法向量n =(0,0,1) 2 c o s n n 1 1 n n 2 2 1 1 1 1   =   = -------12分 20.解析:注1)定义域 ( 0 , +  ) f ( x ) = 1 x − 2 a x + ( 1 − 2 a ) = ( x + 1 ) ( − x 2 a x + 1 ) ------2分 a = 1  f  ( x ) = ( x + 1 ) ( − x 2 x + 1 ) ,即 f (x)在  0 , 1 2  递增,  1 2 , +   递减------4分 注2) f ( x )  f  1 2 a  = − ln 2 a − 1 4 a + 1 2 a − 1 = − ln 2 a + 1 4 a − 1 --------6分 转证: − ln 2 a + 1 4 a − 1  1 2 a − a − 1 即证: ln 2 a + 1 4 a − a  0 1 1 设h(x)=lnx+ − x,x(0,1---------8分 2x 2 f  ( x ) = 1 x − 2 1 x 2 − 1 2 = − ( x 2 − x 1 2 ) 2  0 , f ( x )  f ( 1 ) = 0  f ( x )  1 2 a − a − 1 成立------12分 21.解析注1) a = 2 b 8 2 又 + =1a2 =16,b2 =4即: a2 b2 x 1 2 6 + y 4 2 = 1 --------4分 注2)设 l : y = 1 2 x + n ,则 x 2 + 4  1 2 x + n  2 = 1 6  x 2 + 2 n x + 2 n 2 − 8 = 0 ,  = 4 n 2 − 8 ( n 2 − 4 )  0 即 n 2  4 , n  0 , 设A(x,y ),B(x ,y )则 1 1 2 2 x 1 + x 2 = − 2 n , x 1 x 2 = 2 n 2 − 8 ----------6分 设直线 M A , M B 的斜率分别为 k 1 , k 2 则 k 1 = y x 1 1 − − 2 2 2 , k 2 = y x 2 2 − − 2 2 2 k 1 + k 2 = ( y 1 − 2 ) ( x ( 2 x − 1 − 2 2 2 ) 2 + ) ( ( x y 2 2 − − 2 2 2 )) ( x 1 − 2 2 ) ---------8分 ( y 1 − 2 ) ( x 2 − 2 2 ) + ( y 2 − 2 ) ( x 1 − 2 2 ) =  1 2 x 1 + n − 2  ( x 2 − 2 2 ) +  1 2 x 2 + n − 2  ( x 1 − 2 2 ) =xx + ( n−2 2 )(x +x )−2 2 ( 2n−2 2 ) =2n2 −8−2n ( n−2 2 ) −2 2 ( 2n−2 2 ) =0---10分 1 2 1 2 则BMC的角内角平分线是 x = 2 2 --------12分 2 2 4 22.解析:注1)P(X =1)=  = ------------3分 1 3 3 9(2) 5 X 2 可能取0,1,2,3.则 P ( X 2 = 0 ) = 2 3  2 3  1 3  1 3 = 4 8 1 ; P ( X 2 = 3 ) = 2 3  1 3  1 3  1 3 + 1 3  2 3  1 3  1 3 = 4 8 1 P ( X 2 = 1 ) = 1 3  2 3  2 3  2 3 + 2 3  1 3  2 3  2 3 + 2 3  2 3  1 3  2 3 + 2 3  2 3  2 3  1 3 = 3 8 2 1 41 P(X =2)=1−P(X =0)−P(X =1)−P(X =3)= --------------6分 2 2 2 2 81 分布列为: X 2 0 1 2 3 4 32 41 4 P 81 81 81 81 E ( X 2 ) = 1 4 9 -----------------------------------------8分 注3) P ( X n + 1 = 1 ) = P ( X n = 0 ) +  1 3  2 3 + 2 3  1 3  P ( X n = 1 ) + 2 3  2 3 P ( X n = 2 ) P ( X n + 1 = 2 ) = 2 3  2 3 P ( X n = 1 ) +  2 3  1 3 + 1 3  2 3  P ( X n = 2 ) + P ( X n = 3 ) P ( X n + 1 = 3 ) = 1 3  1 3 P ( X n = 2 ) 又 P ( X n = 0 ) + P ( X n = 1 ) + P ( X n = 2 ) + P ( X n = 3 ) = 1 12 15 E(X )=1P(X =1)+2P(X =2)+3P(X =3)=P(X =0)+ P(X =1)+ P(X =2)+2P(X =3) n+1 n n+1 n+1 n 9 n 9 n n E ( X n + 1 ) = 1 + 1 3 P ( X n = 1 ) + 2 3 P ( X n = 2 ) + P ( X n = 3 ) = 1 + 1 3 E ( X n ) --------12分