当前位置:首页>文档>湖南省长沙市第一中学2023-2024学年高二下学期期末考试物理试题_6月_240622湖南省长沙市第一中学2023-2024学年高二下学期第二次阶段性考试

湖南省长沙市第一中学2023-2024学年高二下学期期末考试物理试题_6月_240622湖南省长沙市第一中学2023-2024学年高二下学期第二次阶段性考试

  • 2026-04-10 10:10:10 2026-02-14 07:18:34

文档预览

湖南省长沙市第一中学2023-2024学年高二下学期期末考试物理试题_6月_240622湖南省长沙市第一中学2023-2024学年高二下学期第二次阶段性考试
湖南省长沙市第一中学2023-2024学年高二下学期期末考试物理试题_6月_240622湖南省长沙市第一中学2023-2024学年高二下学期第二次阶段性考试
湖南省长沙市第一中学2023-2024学年高二下学期期末考试物理试题_6月_240622湖南省长沙市第一中学2023-2024学年高二下学期第二次阶段性考试
湖南省长沙市第一中学2023-2024学年高二下学期期末考试物理试题_6月_240622湖南省长沙市第一中学2023-2024学年高二下学期第二次阶段性考试
湖南省长沙市第一中学2023-2024学年高二下学期期末考试物理试题_6月_240622湖南省长沙市第一中学2023-2024学年高二下学期第二次阶段性考试
湖南省长沙市第一中学2023-2024学年高二下学期期末考试物理试题_6月_240622湖南省长沙市第一中学2023-2024学年高二下学期第二次阶段性考试
湖南省长沙市第一中学2023-2024学年高二下学期期末考试物理试题_6月_240622湖南省长沙市第一中学2023-2024学年高二下学期第二次阶段性考试
湖南省长沙市第一中学2023-2024学年高二下学期期末考试物理试题_6月_240622湖南省长沙市第一中学2023-2024学年高二下学期第二次阶段性考试
湖南省长沙市第一中学2023-2024学年高二下学期期末考试物理试题_6月_240622湖南省长沙市第一中学2023-2024学年高二下学期第二次阶段性考试
湖南省长沙市第一中学2023-2024学年高二下学期期末考试物理试题_6月_240622湖南省长沙市第一中学2023-2024学年高二下学期第二次阶段性考试
湖南省长沙市第一中学2023-2024学年高二下学期期末考试物理试题_6月_240622湖南省长沙市第一中学2023-2024学年高二下学期第二次阶段性考试
湖南省长沙市第一中学2023-2024学年高二下学期期末考试物理试题_6月_240622湖南省长沙市第一中学2023-2024学年高二下学期第二次阶段性考试
湖南省长沙市第一中学2023-2024学年高二下学期期末考试物理试题_6月_240622湖南省长沙市第一中学2023-2024学年高二下学期第二次阶段性考试
湖南省长沙市第一中学2023-2024学年高二下学期期末考试物理试题_6月_240622湖南省长沙市第一中学2023-2024学年高二下学期第二次阶段性考试
湖南省长沙市第一中学2023-2024学年高二下学期期末考试物理试题_6月_240622湖南省长沙市第一中学2023-2024学年高二下学期第二次阶段性考试

文档信息

文档格式
docx
文档大小
0.717 MB
文档页数
15 页
上传时间
2026-02-14 07:18:34

文档内容

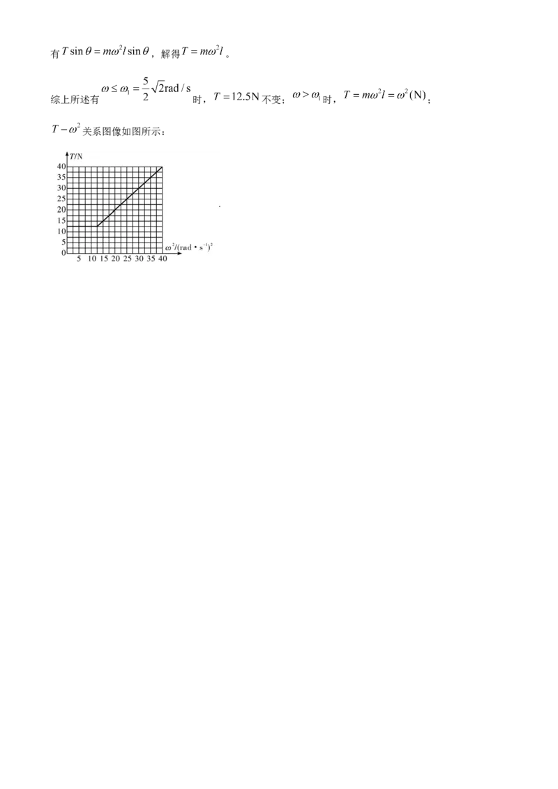
长沙市第一中学 2023-2024 学年度高二第二学期第二次阶段性检测 物 理 时量:75分钟 满分:100分 得分__________ 一、单选题(本题共6小题,每小题4分,共24分。每小题给出的四个选项中,只有一个选 项正确) 1.2022年6月,我国完全自主设计并建造的首艘弹射型航空母舰“福建舰”正式下水。“福建舰”下水 之后,将在南海进行一系列航行和系泊试验。下列说法正确的是( ) A.“福建舰”受到的重力方向一定指向地心 B.“福建舰”在码头补给充足后,它的惯性将变大 C.“福建舰”大角度转弯时,舰上各点的速度相同 D.研究战斗机在航母上的起落时,可以将“福建舰”看成质点 2.如图, 时,甲乙两汽车从相距 的两地开始相向行驶,它们的 图像如图所示,忽略汽车 掉头所需时间,下列对汽车运动状况的描述正确的是( ) A.在第1小时末,乙车改变运动方向 B.在第2小时末,甲乙两车相距 C.在前4小时内,乙车运动加速度的大小总比甲车的小 D.在第4小时末,甲乙两车相遇 3.乘坐缆车观光岳麓山已经是一条非常热门又成熟的旅游线路,如图,质量为M的缆车车厢通过合金悬 臂固定悬挂在缆绳上,车厢水平底板上放置一质量为m的货物,在缆绳牵引下货物随车厢一起斜向上加速 运动。若运动过程中悬臂和车厢始终处于竖直方向,重力加速度为g,则( ) A.车厢对货物的摩擦力方向平行于缆绳向上B.车厢对货物的作用力方向平行于缆绳向上 C.悬臂对车厢的作用力方向沿悬臂竖直向上 D.悬臂对车厢的作用力大于 4.如图所示,用一段轻绳把轻质滑轮吊装在A点,一根轻绳跨过滑轮,绳的一端拴在井中的水桶上,人 用力拉绳的另一端,滑轮中心为O点,人拉绳沿水平面向左运动,把井中质量为m的水桶匀速提上来,人 的质量为M,重力加速度为g,在此过程中,以下说法正确的是( ) A.人对绳的拉力变大 B.吊装滑轮的绳子上的拉力逐渐变大 C.地面对人的摩擦力逐渐变大 D.地面对人的支持力逐渐变小 5.如图所示,滚筒洗衣机脱水时,滚筒绕水平轴转动,滚筒上有很多漏水孔,附着在潮湿衣服上的水从 漏水孔中被甩出,达到脱水的目的。某一阶段,如果认为湿衣服在竖直平面内做匀速圆周运动,已知滚筒 半径为R,取重力加速度为g,那么下列说法正确的是( ) A.衣物通过最高点和最低点时线速度和加速度均相同 B.脱水过程中滚筒对衣物作用力始终指向圆心 C.增大滚筒转动的周期,水更容易被甩出 D.为了保证衣物在脱水过程中能做完整的圆周运动,滚筒转动的角速度至少为 6.如图所示,水平轻弹簧一端固定,另一端与滑块连接,当滑块轻放在顺时针匀速转动的水平传送带上 瞬间,弹簧恰好无形变。在滑块向右运动至速度为零的过程中,下列关于滑块的速度v随时间t、滑块受到 的摩擦力f随位移x变化的关系图像中,一定错误的是( )A. B. C. D. 二、多选题(本大题共4小题,共20分。在每小题给出的四个选项中,有多项符合题目要求, 全部选对得5分,选对但不全的得3分,有选错的得0分) 7.北京冬奥会开幕式24节气倒计时惊艳全球,如图是地球沿椭圆轨道绕太阳运行所处不同位置对应的节 气,下列说法正确的是( ) A.从冬至到春分的运行时间小于地球公转周期的 B.夏至时地球的运行速度最大 C.太阳既在地球公转轨道的焦点上,也在火星公转轨道的焦点上 D.若用a代表椭圆轨道的半长轴,T代表公转周期, ,则地球和火星对应的k值不同 8.如图所示,质量均为M的A、B两滑块放在粗糙水平面上,两轻杆等长,杆与滑块、杆与杆间均用光 滑铰链连接,在两杆铰合处悬挂一质量为m的重物C,整个装置处于静止状态,设杆与水平面间的夹角为 。下列说法正确的是( )A.当m一定时, 越大,轻杆受力越大 B.当M、m一定时,滑块对地面的压力与 无关 C.当m和 一定时,M越大,滑块与地面间的摩擦力越大 D.若 ,则无论m多么大,M一定不会滑动 9.某次野外拍摄时拍到了青蛙捕食昆虫的有趣画面:如图所示,一只青蛙在离水面高 的C洞潜伏。某 时刻,一只昆虫喝完水后从B点开始沿着一根与水面之间夹角为 的树干AB以 匀速上行, A点在C点正上方且比水面高 ;与此同时,青蛙以 水平跳出。已知青蛙捕食时,舌头能 伸出 。取重力加速度大小 ,空气阻力不计, ,则下列说法正确的是 ( ) A.青蛙此次捕食能成功 B.青蛙落水点到B点的距离等于 C.若青蛙与昆虫恰好在树干相遇,则昆虫速度大于 D.青蛙捕到昆虫时,青蛙速度的最小值为 10.如图所示,在光滑的圆柱体内表面距离底面高为h处,给一质量为m的小滑块沿水平切线方向的初速 度 ,小滑块将沿圆柱体内表面旋转滑下。假设滑块下滑过程中表面与圆柱体内表面紧密贴合,重力加速 度为g。下列说法正确的是( )A.小滑块滑落到圆柱体底面时速度大小为 B.小滑块滑落到圆柱体底面所用时间 C.若圆柱体内表面是粗糙的,小滑块在圆柱体内表面所受到的摩擦力f正比于两者之间的正压力N,则小 滑块在水平方向做加速度逐渐减小的减速运动 D.在C选项情景的基础上,若圆柱体足够高,小滑块最终沿竖直方向做匀速直线运动 三、实验题(本大题共2小题,共14分) 11.(6分)如图甲所示是用轻杆、小球和硬纸板等制作而成的一个简易加速度计,可以粗略测量运动物 体的加速度。在轻杆上端装上转轴,固定于竖直纸板上的O点,轻杆下端固定一小球,杆可在竖直平面内 自由转动。将此装置固定于运动物体上,当物体向右加速(减速)运动时,杆便向左(向右)摆动。忽略 摩擦及空气阻力。 为了制作加速度计的刻度盘,同学们进行了如下操作: (1)让重锤做自由落体运动,利用打点计时器(使用的电源频率为 )打出的纸带测量当地的重力加 速度。实验中得到一条较理想的纸带,如图乙所示。在纸带上取7个连续计时点。根据数据求出重力加速 度大小为 __________ 。(保留三位有效数字) (2)测量当地重力加速度后还应测量的物理量是__________。(填入所选物理量前的字母) A.小球的质量m B.轻杆的长度L C.轻杆与竖直方向的夹角 D.小球的直径d (3)物体运动的加速度a与上述所测物理量之间的关系式为__________。(用所测物理量的字母表示) 12.(8分)为探究“合力与分力的关系”,小鲁同学设计了如下实验。如图甲,在相距为D的两根竖直 杆之间用一根长为L的不可伸长的轻绳连接(打结)一物体C,在绳的两端分别连接两个拉力传感器P和 Q,保持P、Q的位置不变,且Q高于P,不计拉力传感器的重力。改变悬挂点C到P点的距离 (不相 对滑动),测得两传感器的拉力大小随 的变化图像如图乙中Ⅰ、Ⅱ图线所示,试回答下列问题。(1)C点的轨迹在一个__________上(选填“圆”“抛物线”或“椭圆”)。 (2)图线Ⅰ表示的是__________处传感器的拉力(选填“P”或“Q”)。 (3)根据图像可求得交点的纵坐标为__________N,物体的重力为__________(用图中传感器的读数,及 绳长L和两杆间距D表示)。 四、解答题(本大题共3小题,共42分) 13.(12分)如图为某景观水车模型,水从槽口水平流出,某时刻正好垂直落在与水平面成 角的轮叶 边缘上,轮叶在水流不断冲击下转动,稳定时轮叶边缘线速度与水流冲击的速度大小近似相等。已知槽口 到水车轴O所在的水平面距离为2R,水车轮轴到轮叶边缘的距离为R。忽略空气阻力,取重力加速度为 g。求: (1)水流的初速度 的大小; (2)稳定时轮叶转动的角速度 ; (3)轮叶边缘上质量为m的钉子,随水车转动到与水平轴O等高的P点时,水车对钉子作用力F的大小。 14.(14分)如图,倾角为 的斜面与水平面相连,有一质量 的物块,从斜面上A点由静止开 始下滑后恰好停在水平面上的C点,已知AB长 ,BC长 。物块与各接触面之间的动摩擦因数相同, 且不计物块在B点的能量损失。g取 , , 。求:(1)物块与接触面之间的动摩擦因数; (2)若从A点开始对物体施加 竖直向下的恒力作用,到达斜面底端时立即撤去F,求物块运动 的总时间; (3)若改变(2)中竖直向下恒力F的大小,求物块运动的最短时间。 15.(16分)如图所示,装置 可绕竖直轴 转动,可视为质点的小球A与两细线连接后分别系 于B、C两点,装置静止时细线AB水平,细线AC与竖直方向的夹角 ,已知小球A的质量 ,细线AC长 ,B点距C点的水平和竖直距离相等(重力加速度g取 , , )。 (1)若装置匀速转动的角速度为 时,细线AB上的张力为零而细线AC与竖直方向夹角仍为 ,求角 速度 的大小; (2)若装置匀速转动的角速度 ,求细线AC与竖直方向的夹角; (3)装置可以以不同的角速度匀速转动,试通过计算在坐标图中画出细AC上张力T随角速度的平方 变化的关系图像。 长沙市第一中学 2023-2024 学年度高二第二学期第二次阶段性检测 物理参考答案 一、二选择题(1~6小题每小题4分;7~10小题每小题5分,选不全得3分) 题号 1 2 3 4 5 6 7 8 9 10 答案 B B D C D C AC BD ACD ABC1.B 2.B【解析】由图可知,2小时内乙车一直做反方向的运动,1小时末开始减速但方向没有变,故A错误; 图像与时间轴围成的面积为汽车运动的位移,则可知,2小时内,甲车正向运动的位移为 ,而乙车反向运动,其位移大小为 ,因两车相向运 动,且初始时刻相距 ,则2小时末时,两车还相距 ,故B正确; 图像的斜率表示加速度,由图可知,乙车图像斜率的绝对值总是大于甲车图像斜率的绝对值,故乙车的加 速度总比甲车的大,故C错误; 4小时内甲车的总位移为 ,而乙车的总位移为 ,即乙车的位移为正方向的 ,两车原来相距 ,4 小时末时,甲车离出发点 ,而乙车离甲车的出发点 ,故此时甲乙两车 不相遇,故D错误。 3.D【解析】摩擦力的方向只能平行于接触面,A错误; 加速度沿缆绳向上,所以车厢对货物的作用力与货物的重力的合力沿缆绳向上,则车厢对货物的作用力方 向不可能平行于缆绳向上,B错误; 因为车厢斜向上加速运动,所以悬臂对车厢的作用力与车厢重力的合力沿缆绳向上,根据力的合成法则可 知,此时悬臂对车厢的作用力方向不可能沿悬臂竖直向上,而是其中的一个分力与整个车厢重力平衡,另 外一个力沿缆绳方向向上产生加速运动,所以整个悬臂对车厢的作用力有 ,C错误,D正 确。 4.C【解析】由水桶匀速运动,可知绳子中的拉力不变为mg,人对绳的拉力和绳子对人的拉力为作用力 与反作用力,大小相等,所以人对绳的拉力不变,A错误; 以滑轮为结点进行受力分析,左右绳子中的拉力和吊装滑轮的绳子上的拉力平衡,随着人向左运动,左右 两段绳子拉力不变,夹角变大,根据力的合成法则可知,左右两段绳子拉力的合力减小,所以吊装滑轮的 绳子上的拉力逐渐减小,B错误; 设左边绳子与水平面的夹角为 ,绳子中拉力为 ,对人进行受力分析,竖直方向上有 ,因为随着人向左运动 在减小,所以有 在增大,对人进行受力分析,人的速度与 绳子的速度关系为 。因为绳子的速度不变, 在变小,所以人的运动状态为速度逐渐减小,且越来越接近绳子的速度,因此加速度方向向右,且加速度越来越小最后趋于零,对人进行受力分析,水 平方向上有 , 在变小,绳子拉力不变,所以 在变大,同时Ma在减小,得摩擦 力在增大,C正确,D错误。 5.D【解析】衣服在竖直平面内做匀速圆周运动,在最高点与最低点线速度大小相同方向不同,加速度大 小相同方向不同,故A错误; 滚筒对衣物的作用力与重力的合力大小不变且始终指向圆心,故脱水过程中滚筒对衣物的作用力不始终指 向圆心,故B错误; 当衣物做匀速圆周运动时,衣物上的水由于所受合外力不足以提供向心力而做离心运动,因此需要的向心 力越大,脱水效果越好。又有 ,因此周期越小,水越容易被甩出,故C错误; 为了保证衣物在脱水过程中能做完整的圆周运动,则在最高点重力提供向心力 ,可知滚筒转 动的角速度至少为 ,故D正确。 6.C【解析】物块滑上传送带,受到向右的滑动摩擦力,开始摩擦力大于弹簧的弹力,向右做加速运动, 在此过程中,弹簧的弹力逐渐增大,根据牛顿第二定律,加速度逐渐减小,当弹簧的弹力与滑动摩擦力相 等时,速度达到最大,然后弹力大于摩擦力,加速度方向与速度方向相反,物体做减速运动,弹簧弹力继 续增大,根据牛顿第二定律知,加速度逐渐增大且方向向左,速度逐渐减小到0,故B正确; 物块在向右加速过程中,若弹簧弹力还未等于滑动摩擦力时,物块的速度就已经等于传送带的速度,物块 与传送带相对静止且弹簧弹力小于最大静摩擦力(即滑动摩擦力),物块开始匀速运动,弹力继续增大, 当弹簧的拉力大于最大静摩擦力时滑块做减速运动,弹簧弹力继续增大,根据牛顿第二定律知,加速度逐 渐增大且方向向左,速度逐渐减小到0,故A正确; 根据题意,结合AB分析可知,若物块先加速紧接着减速,则整个过程受滑动摩擦力保持不变,若物块先 加速后匀速再减速,则物块先受滑动摩擦力,再受静摩擦力,且开始小于滑动摩擦力,随着弹力的增大, 静摩擦力增大,最后等于滑动摩擦力,保持不变到物块减速到0,故D正确,C错误。 7.AC【解析】由开普勒第二定律可知地球在近日点运行速度最大在远日点速度最小,夏至时地球在远日 点运行速度最小,根据对称性可知,从冬至到夏至的运行时间为周期的一半,由开普勒第二定律可知从冬 至到春分的运行速度大于春分到夏至的运行速度,故从冬至到春分的运行时间小于地球公转周期的 ,A 正确;B错误; 地球和火星都是绕太阳运行的行星,由开普勒第一定律可知太阳既在地球公转轨道的焦点上,也在火星公 转轨道的焦点上,C正确; 若用a代表椭圆轨道的半长轴,T代表公转周期,由开普勒第三定律可知,所有绕太阳运行的行星轨道半长轴的三次方与公转周期的平方的比值都相等,即 ,地球和火星都是绕太阳运行的行星对应的k值 相同,D错误。 8.BD【解析】将C的重力按照作用效果分解,如图所示。根据平行四边形定则,有 ,故m一定时, 越大,轻杆受力越小,故A错误; 对A、B、C整体进行受力分析可知,对地压力为 ,与 无关,故B正确; 对A分析,受重力、杆的推力、支持力和向右的摩擦力,根据平衡条件有 ,与M无 关,故C错误; 以整体为研究对象,竖直方向上根据平衡条件可得A受到的支持力为 ,无论m多么大, 都不能使M沿地面滑动时满足 即 ,解得 , 故D正确。 9.ACD【解析】以O为坐标原点,OB、OA为x、y轴建立坐标系。AB直线方程为 。青蛙 从C洞平抛至速度方向与AB平行, 得 ,又平抛运动在竖直方向上是自由落体运 动,则 ,故 ,平抛运动下降高度 ,水平位移 ,则青蛙在 平抛运动过程中过点 。M点在AB上且平抛轨迹在M点的切线恰与AB平行故曲线与AB相切于M点。昆虫从B沿BA方向爬行距离 。直角 中 , , 。故 时青蛙和昆虫都在AB直线上相距 ,在青蛙捕食舌头伸长范围 内,故可以捕食成功,选项A正确; 落水点与B点的距离小于 ,选项B错误; 若青蛙与昆虫恰好在树干相遇于M点,则昆虫速度大于 ,C正确; 青蛙在M点的速度大小 ,选项D正确。 10.ABC【解析】小滑块在竖直方向做自由落体运动,则有 ,解得 。 小滑块滑落至底面时,竖直方向的分速度大小为 ,小滑块水平方向做匀速圆周运动, 故滑落至底面时,水平方向的分速度大小为 , 小滑块滑落至底面时的速度大小为 。 将小滑块的运动分解为水平方向和竖直方向两个分运动, 设水平方向和竖直方向的分速度分别为 和 ;小滑块的合速度与水平方向的夹角为 ,则有 , 水平方向小滑块做圆周运动,圆柱体内表面对小滑块的弹力N提供向心力,即 , 水平方向小滑块在摩擦力的水平分量作用下 逐渐减小,所以N也逐渐减小, 由于摩擦力f正比于正压力N,可知小滑块与圆柱体之间的摩擦力逐渐减小; 由于小滑块在竖直方向的分速度 逐渐增大,可知小滑块的合速度与水平方向的夹角 逐渐增大;则摩擦力在水平方向上的分量 逐渐减小,所以小滑块在水平方向做加速度逐渐减小的减速运动。 由于小滑块在水平方向做加速度逐渐减小的减速运动,若圆柱体足够高, 最终小滑块在水平方向的分速度为零,圆柱体内表面对小滑块的弹力N为零, 小滑块与圆柱体之间的摩擦力为零,小滑块只受到重力作用, 小滑块沿竖直方向做加速度为g的匀加速直线运动。 三、实验题(本大题共2小题,共14分) 11.(6分,每空2分) (1)9.78 (2)C (3) 【解析】(1)由逐差法得 。 (2)由牛顿第二定律可知 ,解得 ,可知为了在表盘上标上对应的加速度, 还需要测量轻杆与竖直方向的夹角 。故选C。 (3)由第(2)问分析可知,加速度与被测物理量之间的关系式为 。 12.(8分,每空2分)(1)椭圆 (2)Q (3)4.30 【解析】(1)椭圆是到两焦点距离之和等于常数的所有点的集合,题中 为绳长L是常数,所以 C点的轨迹是椭圆; (2)图像中Ⅰ、Ⅱ交点即为两绳拉力相等的位置,此时选取结点C为研究对象, 受力如下图所示,两段绳与杆的夹角分别为 和 ,水平方向 , 当 时, ,当C点继续向右移动如下图所示 增大, 减小,水平方向还是有 , 由上式可知 会增大, 减小,结合题图,在图像相交后,Ⅰ线力大于Ⅱ线力,故Ⅰ线表示Q处传感器的力。 (3)图像中Ⅰ、Ⅱ交点可以读出此时P、Q处拉力都为 , 此时CP、CQ与竖直方向的夹角相等延长QC到 ,由几何关系有 , 过Q作水平线与左杆交于A点,在 中有 , C点受力平衡有 , 整理得 。 四、解答题(本大题共3小题,共42分) 13.(12分)【解析】(1)竖直方向根据 , 可得水流冲击轮叶边缘的竖直分速度 , 由几何关系 ,解得水流的初速度大小为 。 (2)由几何关系 ,可得水流冲击轮叶的速度大小为 , 稳定时轮叶边缘线速度与水流冲击的速度大小近似相等, 则稳定时轮叶转动的角速度 ,解得 。 (3)轮叶边缘上一个质量为m的钉子,随水车转动时需要的向心力大小为 , 解得 ,水车对钉子的作用力大小为 ,解得 。 14.(14分)【解析】(1)从A到B: , , B到C: , ,联立解得 。 (2)当 时,在斜面上匀加速运动, 由牛顿第二定律得: ,解得 。 由运动学公式: ,解得下滑时间 ,到达B点速度: , 从B到C匀减速运动,加速度大小为: ,从B到C时间: ,总时间: 。 (3)设此时物块在斜面上的加速度为a,斜面上运动的时间为: ,B点速度为: , 从B到C的时间为: ,总时间: , 当 时,总时间有最小值,且最小值为 。 15.(16分)【解析】(1)细线AB上张力恰为零时有 , , , 由以上各式得 ,解得 。 (2)由几何关系可得,当AB上有拉力时,细线AB处于竖直方向,细线AC与竖直方向的夹角 。 设细线AB恰好竖直,但张力为零时有 , 由B点到C点的水平距离和竖直距离相等, 根据几何关系计算 ,可得 ,故有 。 又 ,可得此时细线AB恰好竖直,细线AC与竖直方向的夹角 。 (3) 时,细线AB水平,细线AC上张力的竖直分量等于小球的重力, 有 解得 。 时细线AB松他,细线AC上张力的水平分量等于小球做圆周运动需要的向心力, 有 ,解得 , 时,细线AB在竖直方向绷直,仍然由细线AC上张力的水平分量提供小球做圆周运动需要的向心 力,有 ,解得 。 综上所述有 时, 不变; 时, ; 关系图像如图所示: