当前位置:首页>文档>新高考地区高二期末考试模拟试题一(解析版)_E015高中全科试卷_数学试题_选修1_04.期末试卷

新高考地区高二期末考试模拟试题一(解析版)_E015高中全科试卷_数学试题_选修1_04.期末试卷

  • 2026-03-19 09:36:44 2026-02-15 19:35:57

文档预览

新高考地区高二期末考试模拟试题一(解析版)_E015高中全科试卷_数学试题_选修1_04.期末试卷
新高考地区高二期末考试模拟试题一(解析版)_E015高中全科试卷_数学试题_选修1_04.期末试卷
新高考地区高二期末考试模拟试题一(解析版)_E015高中全科试卷_数学试题_选修1_04.期末试卷
新高考地区高二期末考试模拟试题一(解析版)_E015高中全科试卷_数学试题_选修1_04.期末试卷
新高考地区高二期末考试模拟试题一(解析版)_E015高中全科试卷_数学试题_选修1_04.期末试卷
新高考地区高二期末考试模拟试题一(解析版)_E015高中全科试卷_数学试题_选修1_04.期末试卷
新高考地区高二期末考试模拟试题一(解析版)_E015高中全科试卷_数学试题_选修1_04.期末试卷
新高考地区高二期末考试模拟试题一(解析版)_E015高中全科试卷_数学试题_选修1_04.期末试卷
新高考地区高二期末考试模拟试题一(解析版)_E015高中全科试卷_数学试题_选修1_04.期末试卷
新高考地区高二期末考试模拟试题一(解析版)_E015高中全科试卷_数学试题_选修1_04.期末试卷
新高考地区高二期末考试模拟试题一(解析版)_E015高中全科试卷_数学试题_选修1_04.期末试卷
新高考地区高二期末考试模拟试题一(解析版)_E015高中全科试卷_数学试题_选修1_04.期末试卷
新高考地区高二期末考试模拟试题一(解析版)_E015高中全科试卷_数学试题_选修1_04.期末试卷
新高考地区高二期末考试模拟试题一(解析版)_E015高中全科试卷_数学试题_选修1_04.期末试卷
新高考地区高二期末考试模拟试题一(解析版)_E015高中全科试卷_数学试题_选修1_04.期末试卷
新高考地区高二期末考试模拟试题一(解析版)_E015高中全科试卷_数学试题_选修1_04.期末试卷
新高考地区高二期末考试模拟试题一(解析版)_E015高中全科试卷_数学试题_选修1_04.期末试卷
新高考地区高二期末考试模拟试题一(解析版)_E015高中全科试卷_数学试题_选修1_04.期末试卷
新高考地区高二期末考试模拟试题一(解析版)_E015高中全科试卷_数学试题_选修1_04.期末试卷
新高考地区高二期末考试模拟试题一(解析版)_E015高中全科试卷_数学试题_选修1_04.期末试卷
新高考地区高二期末考试模拟试题一(解析版)_E015高中全科试卷_数学试题_选修1_04.期末试卷
新高考地区高二期末考试模拟试题一(解析版)_E015高中全科试卷_数学试题_选修1_04.期末试卷
新高考地区高二期末考试模拟试题一(解析版)_E015高中全科试卷_数学试题_选修1_04.期末试卷
新高考地区高二期末考试模拟试题一(解析版)_E015高中全科试卷_数学试题_选修1_04.期末试卷
新高考地区高二期末考试模拟试题一(解析版)_E015高中全科试卷_数学试题_选修1_04.期末试卷
新高考地区高二期末考试模拟试题一(解析版)_E015高中全科试卷_数学试题_选修1_04.期末试卷
新高考地区高二期末考试模拟试题一(解析版)_E015高中全科试卷_数学试题_选修1_04.期末试卷
新高考地区高二期末考试模拟试题一(解析版)_E015高中全科试卷_数学试题_选修1_04.期末试卷
新高考地区高二期末考试模拟试题一(解析版)_E015高中全科试卷_数学试题_选修1_04.期末试卷

文档信息

文档格式
docx
文档大小
1.487 MB
文档页数
29 页
上传时间
2026-02-15 19:35:57

文档内容

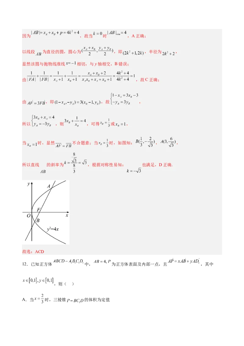
新高考地区高二期末考试模拟试题一 第I卷(选择题) 一、单选题 1.直线 的倾斜角为( ) A. B. C. D. 【答案】A 【分析】求出斜率,进而可得倾斜角 【详解】由直线 得 故直线的斜率为 ,又倾斜角范围为 , 所以倾斜角为 . 故选:A. 2.以椭圆 的左焦点为焦点的抛物线的标准方程是( ) A. B. C. D. 【答案】C 【分析】利用椭圆和抛物线的几何意义求解即可. 【详解】由椭圆 可得 , 所以左焦点坐标为 , 所以以 为焦点的抛物线的标准方程为 , 故选:C. 3.记 为等差数列 的前 项和.若 , ,则 ( ) A. B. C.18 D.36 【答案】C 【分析】首先通过等差数列的通项公式,计算出等差数列基本量 和 ,然后根据等差数列前 项和公式 求解 即可.【详解】 , , ,解得 . . 故选:C 4.已知 成等差数列, 成等比数列,则 等于( ) A. B. C. D. 或 【答案】A 【分析】根据等差和等比数列通项公式可求得公差 和公比 的平方,由此可得 ,代入即可得到结 果. 【详解】设 构成的等差数列公差为 , 构成的等比数列公比为 , , ,即 , , , , . 故选:A. 5.如图是正方体的平面展开图,则在这个正方体中: ①BM与ED平行 ②BM与CE垂直 ③CE与平面ABCD所成角的正切值为 ④CN与BM所成角为 以上四个命题中,正确命题的序号是( )A.①② B.②③ C.②④ D.③④ 【答案】C 【分析】根据展开图还原正方体,设其棱长为1,建立空间直角坐标系,即可判断异面直线的位置关系, 计算出夹角,以及CE与平面ABCD所成角的正弦值,进而求出正切值. 【详解】解:根据平面展开图,还原正方体,并建立空间直角坐标系,如下图所示, 设正方体棱长为1,则 , , , , , , ①BM与ED平行,由图可看出BM与ED不平行,错误; ②BM与CE垂直, , ,即 ,正确; ③CE与平面ABCD所成角的正切值为 , 由图可知 为平面ABCD的一个法向量,且 , 设CE与平面ABCD所成的角为 , 则 ,, ,错误; ④CN与BM所成角为 , 设CN与BM所成角为 , , , , ,正确; 故选:C. 6.已知圆 的一条切线 与双曲线 有两个交点,则双曲线 的离心率的取值范围是( ) A. B. C. D. 【答案】D 【分析】由圆心到直线距离等于半径可构造方程求得切线斜率 ,由此可得切线方程;根据直线与双曲线 交点个数可得 ,根据 可求得离心率的取值范围. 【详解】错解: 选B,圆心 到切线的距离 ,解得: , 切线方程为 ; 与双曲线 有两个交点, , .错因: 求离心率时忘记开方,注意双曲线中 , 正解: 由圆的方程知:圆心 ,半径 , 则圆心 到切线的距离 ,解得: , 切线方程为 ; 与双曲线 有两个交点, , , 即双曲线 的离心率的取值范围为 . 故选:D. 7.已知 是椭圆 上的动点,且与 的四个顶点不重合, , 分别是椭圆的左、右焦点,若 点 在 的平分线上,且 ,则 的取值范围是( ) A. B. C. D. 【答案】D 【分析】作出辅助线,得到 ,求出 的取值范围,从而求出 的取值范围. 【详解】如图,直线 与直线 相交于点N, 由于PM是 的平分线,且 ,即PM⊥ , 所以三角形 是等腰三角形, 所以 ,点M为 中点,因为O为 的中点, 所以OM是三角形 的中位线, 所以 , 其中 , 因为P与 的四个顶点不重合,设 ,则 , 则 , 所以 ,又 , 所以 , ∴ 的取值范围是 . 故选:D. 8.数列 满足 , ,则数列 的前80项和为( ) A.1640 B.1680 C.2100 D.2120 【答案】A 【分析】利用周期性以及等差数列进行求解.【详解】设 ,因为 的周期为 , 所以 的周期为 . 又 , ,所以当n为奇数时, , 所以当n为偶数时, . 又 ,所以 , , ,于是得到 ,同理可求出 , …, 设 ,则数列 是以6为首项,8为 公差的等差数列,所以数列 的前80项和为数列 的前20项和 .故B,C,D错误. 故选:A. 二、多选题 9.已知圆C: ,则下述正确的是( ) A.圆C截直线 : 所得的弦长为 B.过点 的圆C的最长弦所在的直线方程为: C.直线 : 与圆C相切 D.圆E: 与圆C相交 【答案】AC 【分析】根据弦长公式可判断A,根据圆的性质可判断B,根据点到直线的距离可判断C,根据两圆的圆心距可判断D. 【详解】由圆C: ,可得 ,圆心为 ,半径为3, 所以圆C截直线 : 所得的弦长为 ,故A正确; 由圆的性质可知过点 的圆C的最长弦过圆心, 故所在的直线方程 ,即 ,故B错误; 因为圆心 到直线 的距离为 , 所以直线 : 与圆C相切,故C正确; 由圆E: 可知圆心 ,半径为7, 所以 ,故圆E: 与圆C相内切,故D错误. 故选:AC. 10.已知数列 满足 ,则下列结论正确的是( ) A. 为等比数列 B. 的通项公式为 C. 为递减数列 D. 的前 项和 【答案】AB 【分析】由 可推得 ,从而可判断ABC,由分组求和可判断D.【详解】因为 ,由题意显然 , 变形得 ,所以 , 又因为 , 所以 是以1为首项, 为公比的等比数列, 正确; 因为 ,所以 ,B正确; 因为 递减,所以 递增,即 为递增数列, C错误; 因为 ,所以 , 所以 ,所以D错误. 故选:AB. 11.过抛物线C: 的焦点F作直线交抛物线C于A,B两点,则( ) A. 的最小值为4 B.以线段 为直径的圆与y轴相切 C. D.当 时,直线 的斜率为 【答案】ACD 【分析】设直线方程为 并联立抛物线方程,应用韦达定理,结合抛物线的定义及性质判断各项的 正误. 【详解】由题设 ,由焦点F作直线交抛物线C于A,B两点,设直线方程为 , 所以 ,则 ,而 , 所以 , ,故 , ,因为 ,故当 时 ,A正确; 以线段 为直径的圆,圆心为 ,即 ,半径为 , 显然该圆与抛物线准线 相切,与y轴相交,B错误; 由 ,故C正确; 由 ,即 ,故 , 所以 ,则 ,可得 或 , 当 时,显然 不合题意;当 时,如图知: , , 所以直线 的斜率为 ,根据对称性易知: 也满足,D正确. 故选:ACD 12.已知正方体 中, 为正方体表面及内部一点,且 ,其中 ,则( ) A.当 时,三棱锥 的体积为定值B.当 时,直线 与 所成角正弦值的最小值为 C.当 时, 的最小值为 D.当 时,不存在点 ,使得平面 平面 【答案】AD 【分析】根据正方体建立合适的空间直角坐标系,选项A,B,D按照空间向量的坐标关系计算即可判断; 选项C根据轨迹问题,确定距离和的最小值,按几何分析即可计算判断. 【详解】解:根据正方体,如图,以 为原点, 为 轴建立空间直角坐标系 则 , , , , , , , , 由于 ,所以 ,即 选项A:当 时,所以 ,则 ,又 , 则 , , 即 是平面 的法向量,则点 到平面 的距离为 为定值,故 三棱锥 的体积为定值,故A正确;选项B:当 时,点 ,所以 , , 则 令 ,则 ,所以 其中 ,则 ,设直线 与 所成角为 ,则 ,即 ,正弦值 的取值范围为 ,故直线 与 所成角正弦值的最小值 为 ,故B错误; 选项C:当 时,点 的轨迹在线段 上, 将面 与面 铺平展开, 最小值为 长度, , ,故C错误; 选项D:当 时,则 ,所以设平面 的法向量为 , 则 ,所以 设平面 的法向量为 , 则 ,所以 若平面 平面 ,则 , ,故方程无解,即不存在点 ,使得平面 平面 ,故D正确. 故选:AD. 第II卷(非选择题) 三、填空题 13.记 为等比数列 的前 项和.若 , ,则 __________. 【答案】 ##7.5 【分析】利用等比数列求和公式列方程求解即可. 【详解】设等比数列 公比为 , 当 时, ,无解 当 时, ,得 , 故答案为:14.设 为抛物线 的焦点, 为该抛物线上不同的三点,若点 是 的重心,则 __________. 【答案】6 【分析】由F点为三角形的重心,用重心坐标公式可得三点横坐标之和,再利用抛物线的定义即可求得 的值. 【详解】因为 为抛物线 的焦点,则 ,准线方程为 ,设 , 如图所示, 因为 为三角形的重心,则重心坐标为 ,即 ,所以 , 因为 为该抛物线上不同的三点,分别过 作准线的垂线,垂足分别为为 ,则由抛物线 的定义可得, , , ,所以 . 故答案为:6 【点睛】在抛物线中与焦半径有关的题目,都可以利用定义转换为点到准线的距离,从而简化运算. 15.过双曲线 的左焦点 作圆x²+y²=a²的切线,切点为E,延长FE交抛物 线y²=4cx于点P,O为坐标原点,若 则双曲线的离心率为_______.【答案】 【分析】由向量的运算法则知 是 中点,由此得 ,抛物线的焦点与双曲线的右焦点重合, 因此利用中位线性得 ,从而由抛物线的可表示出 的点横坐标,从而得纵坐标,作 轴, 垂足为 ,在 中由勾股定理得出 的方程,变形后可求得离心率 . 【详解】如图,双曲线的右焦点 也是抛物线的焦点, ,则 是 中点, 又 是 中点,所以 , , 设 , 过 作抛物线的准线的垂线 , 是垂足,则 , , 在抛物线上,所以 , 是切点, ,所以 , 作 轴,垂足为 , 由 得 ,整理得 , 所以 , (负值舍去). 故答案为: .16.如图,在棱长为2的正方体 中,O为正方形ABCD的中心,P为棱 上的中点则正 方体表面到P点距离为2的轨迹的总长度为_____________. 【答案】 【分析】确定点 为球心,半径为 的球在正方体每个面上的截面图形,求出轨迹的长度即可. 【详解】如下图所示,在侧面 上, 设以点 为球心,半径为 的球分别交 、 于点 、 ,则 , 所以, ,从而 ,故 , 故在平面 上的轨迹是以 为圆心, 为半径,圆心角为 的一段圆弧,同理可得在平面 上 的轨迹是以 为圆心, 为半径,圆心角为 的一段圆弧, 设以 为球心, 为半径的球截平面 所得圆的半径为 , 则 , 故以 为球心, 为半径的球在平面 上的轨迹是以 为半径,圆心角为 的一段圆弧,同理可得以为球心, 为半径的球在平面 上的轨迹是以 为半径,圆心角为 的一段圆弧, 以 为球心, 为半径的球与平面 相切, 因此,轨迹的总长度为 , 故答案为: . 四、解答题 17.在① ,② 这两个条件中,任选一个补充在下面的问题中,并解答. 已知等差数列 的各项均为正数, ,且 成等比数列. (1)求数列 的首项 和公差 ; (2)已知正项等比数列 的前 项和为 , ,_________,求 .(注:如果选择两个条件并分别作 答,只按第一个解答计分.) 【答案】(1) ,2 (2) 【分析】(1)利用等差数列的通项公式与等比中项公式得到关于 的方程组,解之即可求得所求; (2)选择①,利用等比数列的通项公式即可求得 ,从而由等比数列前 项和公式求得 ; 选择②,利用前 项和的定义得到 ,解之得 ,进而可求得 . 【详解】(1)依题意,设正项等差数列 的公差为 , 因为 ,且 成等比数列,所以 ,解得 或 (舍去), 所以 , 故 , . (2)选择①: 设正项等比数列 的公比为 ,因为 ,所以 , 又 ,即 ,所以 或 (舍去), 所以 . 选择②:设正项等比数列 的公比为 ,因为 , , 即 ,可得 或 (舍去), 所以 . 18.如图,直三棱柱 中, , , 为棱AB的中点, 是 的中 点. (1)证明: 平面 ; (2)求直线 与平面 所成角的正弦值.【答案】(1)证明过程见解析 (2) 【分析】(1)作出辅助线,证明出CM,ME,BM两两垂直,建立空间直角坐标系,写出点的坐标,求出 平面 的法向量 ,从而得到 ,进而证明出 平面 ; (2)求出平面 的法向量,从而利用空间向量求解线面角的正弦值. 【详解】(1)连接CM,因为 , 为棱AB的中点, 所以CM⊥AB, 过点M作 , 因为三棱柱 为直三棱柱, 所以 ⊥平面ABC, 因为 平面ABC, 所以ME⊥BM,ME⊥CM, 故以M为坐标原点,MB,MC,ME所在直线分别为x轴,y轴,z轴,建立空间直角坐标系, 因为 ,所以BM=AM=1, 由勾股定理得: , 所以 , 则 ,设平面 的法向量为 , 则 , 解得: ,令 ,则 , 故 ,所以 , 所以 , 平面 ,故 平面 ; (2)则 , 设平面 的法向量为 , 则 , 令 ,则 , 故 , 设直线 与平面 所成角为 , 则 , 故直线 与平面 所成角的正弦值为 . 19.已知数列{an}的前n项和为Sn,且 ,a=1. 1 (1)求数列{an}的通项公式; (2)设 ,数列{bn}的前n项和为Tn,证明 .【答案】(1) (2)证明见解析 【分析】(1)由已知可得 ,从而 ,由此能证明数列{an}是 首项为1,公差为2的等差数列,即可求出数列{an}的通项公式; (2)由数列{an}的通项公式求出 ,再由 ,由此利用裂项相消法即可证明 . 【详解】(1)因为 ,所以 . 两式相减,得 , 即 所以当 时, , 在 中,令 ,得 , 所以 , 又 满足,所以 所以 , 故数列{an}是首项为1,公差为2的等差数列,且 . (2) , 所以 ,当 时, , 当 时, , 所以 . 20.如图,在四棱锥 中,底面 为直角梯形, , , ,侧面 面 , (1)求证: ; (2)设平面 与平面 的交线为 ,在 上是否存在点 ,使得平面 和平面 的夹角的余弦值 为 ?若存在,请确定 点的位置;若不存在,请说明理由. 【答案】(1)证明见解析 (2)存在点 , 在线段 上, ,或者 在线段 的反向延长线上, 【分析】(1)根据已知条件及两条平行线的性质,再利用勾股定理及余弦定理,结合面面垂直的性质定 理及线面垂直的性质定理即可求解; (2)根据已知条件建立空间直角坐标系,求出相关点的坐标,再求出平面 和平面 的法向量,结 合向量的夹角与平面 和平面 的夹角关系即可求解. 【详解】(1)因为 , , 所以 , 因为 , 所以 , ,从而 ,因为 , 所以 , 所以 ,从而 , 因为侧面 面 ,侧面 面 , 面 , 所以 平面 , 又因为 面 , 所以 . (2)延长 和 交于点 ,连接 ,则 就是直线 , 为 的中位线, 以 为原点,建立空间直角坐标系 ,如图所示, 则 , , , , 所以 , , 设面 的法向量为 ,则 由 ,即 , 令 ,则 , ,取 , 设在 上存在点N,满足 ,则 . 设平面 的法向量为 ,则 由 ,即 ,令 ,则 , ,取 , 设平面 和平面 的夹角为 ,则 ,解得 或 , 所以在l上存在点 , 在线段 上, ,或者 在线段 的反向延长线上, . 21.在平面直角坐标系 中,已知抛物线 与双曲线 的一条渐近线交于 两点, 且点 的横坐标为3. (1)求抛物线 的标准方程; (2)设直线 过点 ,且与抛物线 交于 两点(A在 轴上方,且 ),若 的面积为 ,求 的值. 【答案】(1) (2) 【分析】(1)首先根据根据双曲线渐近线方程求出点 坐标,然后将点 坐标代入抛物线方程中求出 值, 即可求出抛物线标准方程. (2)首先设 , , ,直线方程与曲线方程联立,借助韦达定理求出 与 ,通过弦长公式和点到直线距离公式表示 面积,得到方程求出 值.最后通过求出 与 的值,进而求出 . 【详解】(1)因为 的渐近线方程为 ,又点 的横坐标为3,所以 , 代入 ,得 , 所以抛物线 的标准方程为 . (2)因为 在 轴上方,且 ,所以 的斜率存在且大于0, 设 , , . 由 ,得 , 显然 ,则 , . 到直线 的距离为 , 因为 , 所以 ,又 ,所以 , 将 代入 ,得 ,解得 , , 所以 . 【点睛】方法点睛:本题考查求抛物线的标准方程,考查抛物线中的三角形面积问题,对直线与抛物线相 交问题,一般方法是设 , , ,直线方程与抛物线方程联立消元应用韦 达定理得 ,利用弦长公式 求得弦长,再求得 到弦据直线的距离后可得三角形面积.本题由此求得 值,从而求得 的具体值,可计算出线段长比值. 22.已知轨迹 上任一点 与定点 的距离和 到定直线 的距离的比为 . (1)求轨迹 的方程,并说明轨迹表示什么图形? (2)设点 ,过点 且斜率为 的动直线 与轨迹 交于 两点,直线 分别交圆 于异于点 的点 ,设直线 的斜率为 ,直线 的斜率分别为 . ①求证: 为定值; ②问:直线 是否过一定点,若过,请求出定点;若不过,请说明理由. 【答案】(1) ,轨迹 是长轴长、短轴长分别为 的椭圆; (2)①证明见解析;②直线 恒过定点 . 【分析】(1)由题可得 ,进而即得; (2)①设直线 的方程为 ,联立椭圆方程,利用韦达定理法即得; ②设直线 的方程为 ,联立圆的方程,根据韦达定理法可表示出 ,结合条件可得 的方程,即得. 【详解】(1)设 是点 到定直线 的距离, 由题意,动点 的轨迹就是集合 , 则 , 化简得 ,即 ,所以轨迹 是长轴长、短轴长分别为 的椭圆; (2)①设直线 的方程为 , 与 联立得, , 设 ,则 , 所以 ; ②设直线 的方程为 , 与 联立得, , 设 ,则 , 所以, 由题意知 ,即 , 所以 ,此时 , 所以直线 的方程为 , 故直线 恒过定点 .