当前位置:首页>文档>第15练地质灾害(解析版)_E015高中全科试卷_地理试题_必修1_2.同步练习_课后培优练2023年(第一套)

第15练地质灾害(解析版)_E015高中全科试卷_地理试题_必修1_2.同步练习_课后培优练2023年(第一套)

  • 2026-04-03 15:53:25 2026-02-16 00:03:22

文档预览

第15练地质灾害(解析版)_E015高中全科试卷_地理试题_必修1_2.同步练习_课后培优练2023年(第一套)
第15练地质灾害(解析版)_E015高中全科试卷_地理试题_必修1_2.同步练习_课后培优练2023年(第一套)
第15练地质灾害(解析版)_E015高中全科试卷_地理试题_必修1_2.同步练习_课后培优练2023年(第一套)
第15练地质灾害(解析版)_E015高中全科试卷_地理试题_必修1_2.同步练习_课后培优练2023年(第一套)
第15练地质灾害(解析版)_E015高中全科试卷_地理试题_必修1_2.同步练习_课后培优练2023年(第一套)
第15练地质灾害(解析版)_E015高中全科试卷_地理试题_必修1_2.同步练习_课后培优练2023年(第一套)
第15练地质灾害(解析版)_E015高中全科试卷_地理试题_必修1_2.同步练习_课后培优练2023年(第一套)
第15练地质灾害(解析版)_E015高中全科试卷_地理试题_必修1_2.同步练习_课后培优练2023年(第一套)
第15练地质灾害(解析版)_E015高中全科试卷_地理试题_必修1_2.同步练习_课后培优练2023年(第一套)
第15练地质灾害(解析版)_E015高中全科试卷_地理试题_必修1_2.同步练习_课后培优练2023年(第一套)
第15练地质灾害(解析版)_E015高中全科试卷_地理试题_必修1_2.同步练习_课后培优练2023年(第一套)
第15练地质灾害(解析版)_E015高中全科试卷_地理试题_必修1_2.同步练习_课后培优练2023年(第一套)
第15练地质灾害(解析版)_E015高中全科试卷_地理试题_必修1_2.同步练习_课后培优练2023年(第一套)
第15练地质灾害(解析版)_E015高中全科试卷_地理试题_必修1_2.同步练习_课后培优练2023年(第一套)

文档信息

文档格式
docx
文档大小
1.352 MB
文档页数
14 页
上传时间
2026-02-16 00:03:22

文档内容

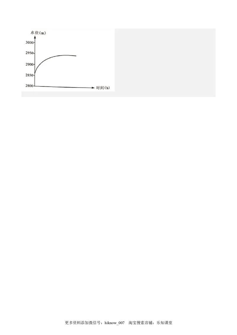
第15练 地质灾害 下图所示区域1900年以来发生8级以上地震就达7次,大地震破裂形成的各种断层张裂缝、地貌断错 遗迹等至今仍保持完整、清晰可见,是世界上最典型、保存最完好的地震遗迹,素有“地震博物馆”之称。 据此完成下面小题。 1.地震发生时易使该地( ) A.陡崖崩塌,滚石遍布,埋没草地 B.产生滑坡,阻断交通,阻塞河谷,形成堰塞湖 C.产生地裂缝,导致地下水变化,使草木枯死 D.在断陷盆地发育水草丰美、土壤肥沃的土地 2.该地地震遗迹保存完好得益于( ) A.板块张裂,断裂发育,地壳运动活跃 B.深居内陆,降水稀少,侵蚀作用较弱 C.岩性坚硬,抗外力作用侵蚀能力较强 D.生态环境脆弱,人类生产活动破坏大 更多资料添加微信号:hiknow_007 淘宝搜索店铺:乐知课堂【答案】1.A 2.C 【解析】1.题干设问地震发生时造成的影响,而不是长期影响。地震发生时导致岩层破碎,陡坡岩层沿 着断裂面崩塌下来,滚石遍布,埋没坡底的草地,A正确;滑坡体进入河道,阻塞河流形成堰塞湖,滑坡 体冲断道路,影响交通;地震诱发断裂,导致地下水以及地表水下渗,使得河流断流,影响河流沿岸地区 的生态等;地震会诱发断裂,形成一系列的断陷盆地和堰塞湖等,水分条件较好,形成一系列的水草肥美、 土壤肥沃的湿地草原,BCD均是地震的远期影响,故错误。故选A。 2.根据图示信息可知,该地位于我国西北内陆地区,处于板块内部,并不是板块张裂地带,A错误;该 地地处我国西北内陆地区,主要气候类型为温带大陆性气候,降水稀少,流水侵蚀作用微弱,但风力侵蚀 较强,B错误;根据材料信息“有的在坚硬的岩层中”可知,该地岩石岩性坚硬,不易被侵蚀,C正确; 根据所学知识可知,该区域自然环境恶劣,人口分布较少,人类活动较少,对地震遗迹的破坏作用较少, D错误。故选C。 下图示意三峡库区滑坡频率(月滑坡次数占全年滑坡次数的百分比)与月均降水量关系。读图,据此 完成下面小题。 3.上图表明该区滑坡多发的诱因是( ) A.年降水量少 B.夏季降水多 C.冬季降水少 D.降水季节分配均匀 4.三峡水库蓄水后库岸滑坡概率增大,主要是因为水库水体的( ) A.流速减小 B.流速加大 C.水位上升 D.水位稳定 【答案】3.B 4.C 更多资料添加微信号:hiknow_007 淘宝搜索店铺:乐知课堂【解析】3.由图可知,月均降水量与滑坡频率呈正相关,且滑坡发生最多的季节为夏季,而夏季降水明 显较多,故滑坡多发的诱因是夏季降水多,B正确;图中显示三峡库区年降水量较多,降水季节分配不均, AD错误;冬季降水少,滑坡频率较低,C错误。故选B。 4.一般情况下,水库蓄水后,随着水库水位的上升,坡面易松动,导致滑坡发生概率增加,C正确;水库 蓄水后,导致水体流速减小,水体流速减小会使滑坡概率降低,AB错误;水位稳定,不易诱发滑坡,且 水库发挥蓄洪防旱、发电等作用,水位也有明显的季节变化,D错误。故选C。 四川西部某自然灾害监测预报中心为监测某学校附近的一处山体滑坡,分别在学校内(基准点)和滑 坡体顶部(监测点)安装了监测设备。下图为2014年8月至2015年9月以学校为基准点监测到的滑坡体 位移数据。完成下面小题。 5.该滑坡体的移动方向是( ) A.西偏南 B.南偏西 C.东偏北 D.北偏东 6.推测导致该地滑坡位移速度变化的主要诱因是( ) A.地震强度 B.重力条件 C.大气降水 D.气温变化 【答案】5.A 6.C 【分析】5.根据图片信息,该滑坡体主要在偏北和偏东的负方向上位移累计,并且偏东方向的负方向位 移累计更多,即主要位移方向应该是西偏南,B项错误,A项正确。图中并没有出现偏东和偏北方向的正 方向的位移累计,CD项错误。故选A。 6.根据图片信息,该滑坡位移速度变化持续时间较长,应该与短时间内的地震和重力崩塌无关,AB项错 误。气温的变化只有在更长时间的物理风化中引起岩石断裂,再在重力作用下崩塌,从持续时间以及位移 速度变化上看,与气温变化无关,D项错误。所以主要诱因应该与该时间段内的大气降水强度有关,C项 正确。故选C。 更多资料添加微信号:hiknow_007 淘宝搜索店铺:乐知课堂【点睛】滑坡是指斜坡上的土体或者岩体,受河流冲刷、地下水活动、雨水浸泡、地震及人工切坡等因素 影响,在重力作用下,沿着一定的软弱面或者软弱带,整体地或者分散地顺坡向下滑动的自然现象。 不同的地表环境条件和人类活动干扰会形成不同的自然灾害类型。下图示意我国某小流域等高线地形, 位于流域内的M村多年受自然灾害影响,村庄发展滞后。为实现彻底脱贫,该村整体搬迁。据此完成下列 各题。 7.该流域7月份发生的自然灾害可能是( ) A.春汛型洪涝 B.夏雨型滑坡 C.岩溶型坍塌 D.融水型泥石流 8.该流域M村可搬迁的合理位置是( ) A.甲 B.乙 C.丙 D.丁 【答案】7.B 8.C 【分析】7.读图可知,该区域位于我国黄土高原地区,地表土质疏松,坡度较大,夏季(7月份)降水集 中且多暴雨,因此该流域7月可能会发生夏雨型滑坡,故B正确,7月不可能有春汛,该区域不是石灰岩, 不可能是岩溶型坍塌,该区域没有冰川和常年积雪,所以7月不可能发生融水型泥石流,故ACD错。故选 B。 8.读图可知,M村落位于该流域下游,因滑坡产生的泥石流堆积区,甲地地势较高,距离交通线较远, 交通不便,乙地位于山脊,水源不足,不利于村落规划和建设,丙地海拔在1100米以上,地势较高,距离 滑坡和泥石流区较远,距离交通线较近,适宜村落规划建设,丁地靠近滑坡频发区,对新建村落威胁大, 更多资料添加微信号:hiknow_007 淘宝搜索店铺:乐知课堂故C正确,ABD错。 某地历史上曾经发生滑坡,部分滑坡体残留在坡面。2018年,该坡面出现裂缝,自6月起,连续出现强降 雨。7月12日古滑坡复活滑动。下图示意该剖面的结构。据此完成下面小题。 9.诱发此次古滑坡复活的直接因素是( ) A.降水 B.坡度 C.断裂 D.岩性 10.研究表明,不同的断裂对滑坡的影响差异较大。此处裂缝显著促进滑坡,主要由于裂缝的( ) A.数量 B.长度 C.倾斜方向 D.宽度 【答案】9.A 10.C 【分析】9.由所学知识可知,滑坡形成的原因可以从地质、地形、土壤、植被、降水和其他等几个方面 分析。2018年该坡面出现裂缝,并且该坡面植被匮乏,防水固土能力弱、坡面坡度也较大、重力势能大; 6月份开始出现连续性强降雨,7月12日就出现滑坡复活活动,出现裂缝之之后土质变得疏松,连续性强 降雨使得本就疏松的壤伴随着水流形成滑坡,因此此次滑坡复活的直接因素是降水,A正确。直接因素是 近期内发生改变的诱因,而坡度、断裂、以及若石的岩性在短期内没有发生显著的改变,故不是诱发滑坡 复活的直接原因,BCD错误。故选A。 10.由图示信息可知,坡向和裂缝方向一致,降水降落到坡面之后,受到重力势能的加持并且没有植被的 阻截,由于裂缝方向与流水方向一致,流水可以直接保持原先的速度和势能直接侵入到裂缝底部,加剧土 壤的侵蚀,从而促进滑坡的产生,B正确。裂缝的数量、长度、宽度三项对滑坡的影响相对较小,ABD错 误。故选C。 与冲积扇从上到下粒径逐渐减小的趋势不同,泥石流扇恰恰相反,在扇体最下端往往有较大的砾石块, 扇顶部则是细小的沙砾和黏土。读泥石流扇结构图,完成下面小题。 更多资料添加微信号:hiknow_007 淘宝搜索店铺:乐知课堂11.下列关于冲积扇和泥石流扇的说法正确的是( ) A.造成粒径顺序截然相反的原因是泥石流和洪流强度不同 B.形成冲积扇的洪流的搬运能力,会随流动距离而不断增强 C.泥石流中含有大量固体物质,重量大的巨石由于惯性重力作用,顺山势一直冲到底部 D.泥石流扇顶部多为沙砾和黏土,主要受洪流侵蚀较强 12.形成泥石流扇的条件是( ) ①陡峭,便于集水集物的地形 ②下游堆积有丰富的松散固体物质 ③短期内有突发性的大量流水 ④植被覆盖率低,缺乏对泥石流的阻挡 A.①② B.②③ C.①③ D.②④ 【答案】11.C 12.C 【分析】11.冲积扇是由山区河流流出山口后携带的碎屑物质堆积而形成,形成冲积扇的洪流的搬运能力, 会随流动距离而不断减弱,因此沉积物的颗粒由顶端到边缘逐渐减小,B错误;泥石流扇是由泥石流冲出 谷口后堆积而形成,泥石流流速快、流量大、携带有大量泥沙以及石块、冲击力强,重量大的巨石由于惯 性重力作用,顺山势一直冲到底部,因此沉积物颗粒由顶端到边缘逐渐变大,C正确,AD错误。故选C。 12.泥石流扇是由泥石流冲出谷口后堆积而形成,其形成条件需要陡峭、便于集水集物的地形,①正确; 上游堆积有丰富的松散固体物质,②错误;短期内有突发性的大量流水汇集,③正确;植被覆盖率低有利 于泥石流扇的形成,但不是必要条件,④错误。综上分析,①③正确,故选C。 2017年7月1日,四川省雷波县锦城镇白沙村附近发生滑坡—碎屑流灾害。此次滑坡落差达400多米, 造成部分公路、农田掩埋和少量房屋损毁。下图为此次滑坡堆积体颗粒分布示意图。据此完成下面小题。 更多资料添加微信号:hiknow_007 淘宝搜索店铺:乐知课堂13.此次滑坡的方向是( ) A.由西南滑向东北 B.由东北滑向西南 C.由西北滑向东南 D.由东南滑向西北 14.垂直方向上钻探发现,细小颗粒碎屑主要分布在滑坡体的下层,其主要原因是( ) A.细小颗粒碎屑质量轻,运动距离长 B.细小颗粒碎屑数量多,堆积范围广 C.细小颗粒碎屑黏度小,摩擦作用强 D.细小颗粒碎屑受震动,沿空隙沉降 【答案】13.B 14.D 【解析】13.结合图中方向信息、挡土墙分布可知,滑坡方向主要为东北-西南走向,CD错;滑坡时巨石 受重力的影响,向下滚落的距离远,结合图中滑坡范围信息可知,此次滑坡的方向应为由东北滑向西南, A错,B正确,故选B。 14.细小颗粒碎屑质量轻,运动距离更短,A错;堆积范围的大小与细小颗粒碎屑主要分布在滑坡体的下 层关系不大,B错;同理,摩擦作用的强弱与细小颗粒碎屑主要分布在滑坡体的下层关系不大,C错;细 小颗粒碎的粒径较小,受震动影响,细小碎屑沿空隙沉降,使得细小颗粒碎屑主要分布在滑坡体的下层, D正确,故选D。 下图为“我国南方某河流域内突发自然灾害后的两个观测点横截面河床形态和水深示意图”,灾害过 后一段时间,两观测点水深基本恢复正常。据此完成下面小题。 更多资料添加微信号:hiknow_007 淘宝搜索店铺:乐知课堂15.引发该河段两观测点横截面水深骤变的原因是( ) A.上游大坝决口溢洪B.地震迫使河流改道C.滑坡土石阻塞河道D.强降雨致山洪暴发 16.此次灾害发生点可能位于( ) A.该河段下游 B.两观测点之间 C.观测点1 D.观测点2 17.灾害发生时,下游地区最先采取的减灾措施是( ) A.转移沿岸居民 B.清理河道淤泥 C.拦蓄河水防旱 D.开挖渠道引流 【答案】15.C 16.D 17.A 【解析】15.据图中比例尺可知观测点1、2两地距离较近。自然灾害发生后,相对于观察点1,观测点2 河面宽度变小,水深明显变浅,说明有物质进入河道,导致河床抬升,可推测该地可能发生滑坡,滑坡体 进入河道,使河床抬升,水深变浅。灾害过后滑坡体被流水搬运,河道恢复,水位恢复正常。C正确, ABD错误,故选C。 16.观测点2处河道南侧为凹岸,正常河床深度应比北岸(凸岸)深,但此时观测点2南侧河床抬高很多, 水深变浅,说明有物质从南侧进入河道。据河流位置图可知观测点2处河道南侧靠近山体,等高线密集, 坡度较大,易发生滑坡。观测点1处为正常河床剖面图,且水位较深,说明灾害不在该处发生。D正确, ABC错误,故选D。 17.灾害发生时,滑坡体阻塞河道,易形成堰塞湖,对下游造成威胁。最先采取的措施应该是确保人的安 全,所以要尽快转移沿岸居民,以减少生命财产损失。A正确,BCD错误,故选A。 二、综合题 18.阅读图文资料,完成下列要求。 冷渍沟地处四川省凉山彝族自治州冕宁县境内安宁河流战上游,流域面积约0.62平方千米,主沟长约 1.49千米,沟床高差约542米。冷渍沟位于横断山脉东坡,流域内断裂纵横,地震频繁发生,沟道内上游 更多资料添加微信号:hiknow_007 淘宝搜索店铺:乐知课堂底部堆积有大量松散堆积物,全流域极易发生地质灾害。图示意冷渍沟流域地理位置。 (1)说明冷渍沟流域极易发生地质灾害的地质原因。 (2)推测冷渍沟流域地质灾害类型的空间分布差异。 (3)简述冷渍沟流域地质灾害频发可能带来的危害。 【答案】(1)地处横断山脉东坡,流域内断裂纵横交错;流域内地震频繁,岩石破碎疏松严重。 (2)流域内冷渍沟上游源头附近以滑坡为主;中、下游以泥石流为主。 (3)堵塞沟道;破坏中上游的森林、草地等地表植被;破坏下游沟道两侧的农田、道路和建筑物等;造成安 宁河水质下降;可能会造成重大人员伤亡等。 【分析】本题以冷渍沟的相关资料为材料,涉及地质灾害的成因及类型等知识点,考查学生从材料中获取 信息的能力以及区域认知和综合思维的核心素养。 (1)结合材料可知,此地位于横断山脉东坡,地处在青藏高原断裂带附近,整个流域内断裂带纵横交错, 极易发生地震,整个区域内地震灾害比较频繁,地震会导致当地的岩石比较破碎,为地质灾害提供物质来 源,也会成为地质灾害频发的原因。 (2)结合材料可推测,整个冷渍沟流域内,上游附近海拔较高,落差较大,因此滑坡较为频发,到了下 游,因为沟谷增多,所以地质灾害以泥石流为主。 (3)冷渍沟发生地质灾害后会对当地的自然环境产生很多影响,首先堆积物会堵塞沟道,造成沟道拥堵; 其次滑坡和泥石流也会破坏中上游的森林和草地等植被,来到下游会毁坏农田道路及建筑物,对当地造成 巨大的经济和财产损失;泥石流和湖泊会带来大量的泥沙,造成安宁河的水质下降,地质灾害发生的同时 不仅会带来财产损失,还会造成人员的伤亡。 19.读我国泥石流分布示意图,完成下列问题。 更多资料添加微信号:hiknow_007 淘宝搜索店铺:乐知课堂(1)描述我国泥石流的分布特点。 (2)图中A地区是我国泥石流多发地区,导致该地区泥石流多发的自然原因有哪些? (3)图中B地区泥石流较A地区少,试分析其原因。 (4)人类活动及其对自然环境施加的影响,也可以直接或间接地诱发泥石流,这些人类活动主要有哪些? (5)我国地震带和泥石流的主要分布区有明显的相关性,试分析原因。 【答案】(1)集中于地势阶梯交界处;中西部山区泥石流集中,东部平原地区泥石流少;西南地区泥石流最 为集中;降水强度大的地区泥石流多发,降水稀少的地区泥石流少。 (2)地形崎岖,地势陡峻;地壳活跃(地震多发);气候湿润,降水量大。 (3)位于干旱地区,降水稀少;地形起伏小。 (4)毁林开荒,破坏植被;开矿;工程建设等。 (5)泥石流的形成有三个条件:一是陡峭的沟谷;二是大量松散的堆积物;三是短时间内有大量水流。地震 多分布在现代地壳活动强烈的地区,地震频繁造成山体断裂发育、岩石破碎,为泥石流提供了充足的物质 来源,一旦有暴雨因素诱发,就容易形成泥石流。因此,二者表现出较好的相关性。 【分析】本题考查影响我国泥石流的分布特点、泥石流多发的自然原因、自然灾害的关联性等知识点,考 查学生的读图分析能力及对基础知识的掌握。 (1)据图分析,我国泥石流集中于地势阶梯交界处,特别是一、二阶梯交界处;中西部山区泥石流集中, 如横断山区、喜马拉雅山西南等地,东部平原地区泥石流少;西南地区泥石流最为集中,西北降水少的区 域及东南平原分布最少;降水强度大的地区泥石流多发,如西南等地,降水稀少的地区泥石流少,如西北 等地。 (2)读图可知,A位于我国西南地区,地处川滇黔交界处,该地位于板块交界处,多发地震,岩石破碎, 同时,地势起伏较大,地形崎岖,地势陡峻;受季风影响,降水集中且夏季多暴雨,具备泥石流发生的物 更多资料添加微信号:hiknow_007 淘宝搜索店铺:乐知课堂质、地形及气候条件,所以多发泥石流灾害。 (3)读图可知,B位于我国西北内陆地区,为温带大陆性气候,气候干旱,降水较少,而泥石流是发生在 山区的特殊洪流,一般多发生在降水量较多地区,干旱地区发生次数少。 (4)人类活动及其对自然环境施加的影响,可以间接或直接地诱发地质灾害,人类对植被的破坏、毁林 开荒,会使地表径流的水量和流速加大,是泥石流日趋频繁的重要原因,有些工程建设、开矿也会促成泥 石流的发生。 (5)泥石流的形成有三个条件:一是陡峭的沟谷;二是大量松散的堆积物;三是短时间内有大量水流。 地震多分布在现代地壳活动强烈的地区,地震频繁造成山体断裂发育、岩石破碎,为泥石流提供了充足的 物质来源,我国处于世界两大地震带的交汇地区,多地震;在地震多发区,地震往往引起山体断裂发育, 岩石破碎,导致地表大量松散堆积物。我国地震带和泥石流的主要分布区夏季多暴雨,容易形成泥石流。 因此,二者表现出较好的相关性。 20.阅读图文资料,完成下列要求。 我国某地突发山体滑坡,形成的堰塞体阻断了河流。下图示意该地堰塞体溃决之前的地形图。 (1)判断甲乙两地之间的河流流动方向,并解释判断理由。 (2)若堰塞体上游河流流量稳定。在下图中画出堰塞体阻断河流后乙处水位变化图,并说明水位变化的 原因。 更多资料添加微信号:hiknow_007 淘宝搜索店铺:乐知课堂【答案】(1)西北流向东南。依据:河谷地形等高线凸向高处,据此判断河流由乙处流向甲处;根据指 向标确定乙地位于甲地西北方向,可判断河流的流向为西北流向东南。 (2)如下图:(作图说明:曲线起点位于2850-2900米之间;终点水位范围位于2900-2950米之间;曲线 特征先陡后缓) 原因:堰塞体堵塞河道,在堰塞体溃决前,水位持续上涨;乙处位于峡谷,流量稳定的情况下,前期河道 较窄水位上升快;后期河道变宽水位上升较慢。 【分析】本题以我国某地堰塞湖的形成过程为背景材料,涉及等高线地形图的判读、地理图表的绘制等相 关知识。考查学生获取与解读地理信息、描述和阐述地理基本原理的相关能力,落实综合思维、地理实践 力等学科核心素养。 【详解】(1)河流在谷地里流动,河流流向与等高线弯曲方向相反,由此可知河流由乙流向甲,结合图 中方向指示信息可知,河流在甲乙两地之间由西北流向东南。 (2)结合上题分析,河流由乙流向甲,堰塞体形成后,堰塞体上游河流流量稳定,乙处水位持续上涨, 当水位高于堰塞体顶部时,水体溢出(若堰塞体稳定不垮塌,水位达到最高后保持稳定),图中等高距为 50m,目前河道海拔介于2850-2900m之间,堰塞体最高处海拔介于2900-2950m之间,同时注意前期河道 窄,径流量稳定则水位上涨快,曲线坡度陡,后期河道较宽,径流量稳定则水位上涨速度较慢,曲线坡度 较缓,如下图: 更多资料添加微信号:hiknow_007 淘宝搜索店铺:乐知课堂更多资料添加微信号:hiknow_007 淘宝搜索店铺:乐知课堂更多资料添加微信号:hiknow_007 淘宝搜索店铺:乐知课堂