壁纸
办公文件
生活文档
学习资料
当前位置:
首页
>
文档
>2001年天津高考理科数学真题及答案(图片版)_数学高考真题试卷_旧1990-2007·高考数学真题_1990-2007·高考数学真题·word_天津
2001年天津高考理科数学真题及答案(图片版)_数学高考真题试卷_旧1990-2007·高考数学真题_1990-2007·高考数学真题·word_天津
2026-02-16 06:38:04
2026-02-16 06:25:58
文档预览
文档信息
文档格式
doc
文档大小
1.189 MB
文档页数
9 页
上传时间
2026-02-16 06:25:58
下载文档
文档内容
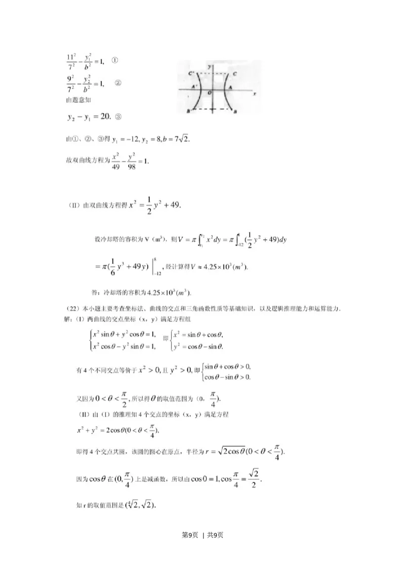
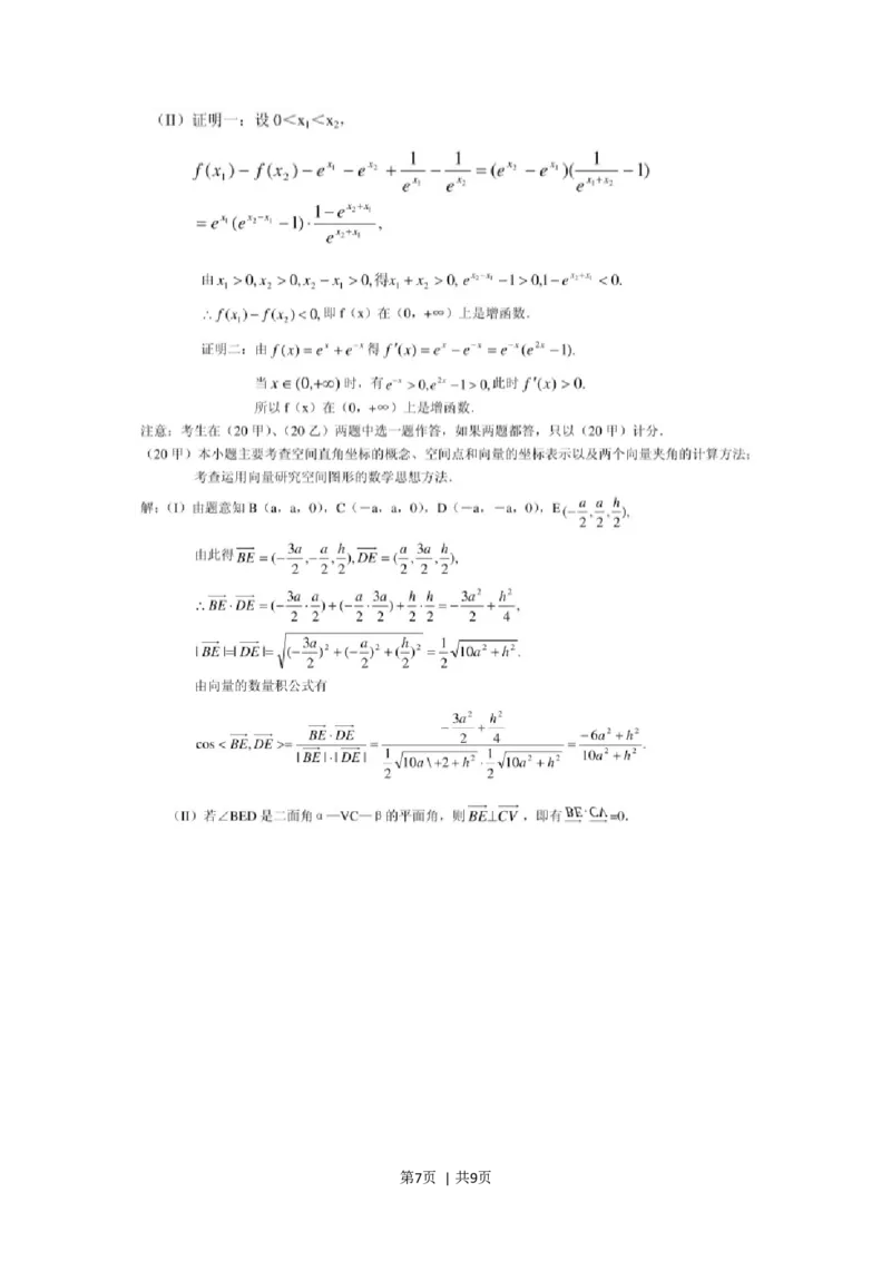
2001 年天津高考理科数学真题及答案 第1页 | 共9页第2页 | 共9页第3页 | 共9页第4页 | 共9页第5页 | 共9页第6页 | 共9页第7页 | 共9页第8页 | 共9页第9页 | 共9页
提示
本文档需要支付0.99元
购买此文档
提示
为了保护文档版权,请下载文档后查看完整内容
下载文档
关闭
本文档来自网络内容,如有侵犯您的权益请联系我们删除,联系邮箱:wyl860211@qq.com。
上一篇
2001年天津高考理科数学真题及答案(图片版)_数学高考真题试卷_旧1990-2007·高考数学真题_1990-2007·高考数学真题·PDF_天津
下一篇
福建省三明市2024-2025学年高一上学期1月期末地理试题(图片版,含答案)_2024-2025高一(7-7月题库)_2025年02月试卷_0227福建省三明市2024-2025学年高一上学期1月期末考试
最新文档
辽宁省实验中学2023-2024学年高三上学期期中考试历史答案(1)_2023年11月_0211月合集_2024届辽宁省实验中学高三上学期期中考试_辽宁省实验中学2024届高三上学期期中考试历史
2005年陕西高考文科综合真题及答案_地理高考真题试卷_旧1990-2007·高考地理真题_1990-2007·高考地理真题·PDF_2001-2007年各地文综历年真题_陕西
辽宁省实验中学2023-2024学年高三上学期期中考试历史(1)_2023年11月_0211月合集_2024届辽宁省实验中学高三上学期期中考试_辽宁省实验中学2024届高三上学期期中考试历史
河南省安阳市林州市第一中学2024-2025学年高二上学期11月月试题历史(含答案)_2024-2025高二(7-7月题库)_2024年11月试卷
技术卷-2412县域联盟高三联考_2024-2025高三(6-6月题库)_2024年12月试卷_1208浙江省县域教研联盟2025届高三摸底考试_浙江省县域教研联盟2025届高三摸底考试技术
1996年上海高考英语真题及答案_zz20高中真题试卷_英语高考真题试卷_旧1990-2007·高考英语真题_1990-2007·高考英语真题·PDF_上海
河南省安阳市林州市第一中学2024-2025学年高二上学期11月月试题化学Word版含答案_2024-2025高二(7-7月题库)_2024年11月试卷
辽宁省实验中学2023-2024学年高三上学期期中考试化学答案(1)_2023年11月_0211月合集_2024届辽宁省实验中学高三上学期期中考试_辽宁省实验中学2024届高三上学期期中考试化学
1996年上海高考物理真题及答案_zz20高中真题试卷_物理高考真题试卷_旧1990-2007·高考物理真题_1990-2007·高考物理真题·word_上海
2005年陕西高考文科综合真题及答案_历史高考真题试卷_旧1990-2007·高考历史真题_1990-2007·高考历史真题·word_2001-2007年各地文综历年真题_陕西
热门文档
技术卷-2412Z20名校联盟2025届高三第二次联考_2024-2025高三(6-6月题库)_2024年12月试卷_1218浙江省Z20名校联盟(名校新高考研究联盟)2024-2025学年高三上学期第二次联考
SwanLake,Op20(part1)_一万首著名钢琴曲谱哈农贝多芬合集视频教学电子版高清无水印可打印_1古典钢琴知名音乐家谱_柴科夫斯基钢琴谱全集_芭蕾舞剧钢琴版
辽宁省实验中学2023-2024学年高三上学期期中考试化学(1)_2023年11月_0211月合集_2024届辽宁省实验中学高三上学期期中考试_辽宁省实验中学2024届高三上学期期中考试化学
1996年上海高考物理真题及答案_zz20高中真题试卷_物理高考真题试卷_旧1990-2007·高考物理真题_1990-2007·高考物理真题·PDF_上海
河南省商丘市青桐鸣大联考2025-2026学年高二上学期1月联考政治试题(B卷)(PDF版,含解析)_2024-2025高二(7-7月题库)_2026年1月高二_260108河南省青桐鸣2025-2026学年高二上学期1月月考
2005年陕西高考文科综合真题及答案_历史高考真题试卷_旧1990-2007·高考历史真题_1990-2007·高考历史真题·PDF_陕西
技术卷-2410高三浙南名校联盟_2024-2025高三(6-6月题库)_2024年10月试卷_10102025届浙南名校联盟高三10月联考
1996年上海高考政治真题及答案_zz20高中真题试卷_政治高考真题试卷_旧1990-2007·高考政治真题_1990-2007·高考政治真题·word_上海
辽宁省大连市金州高级中学2023-2024学年高三上学期期中考试语文试题(1)_2023年11月_0211月合集_2024届辽宁省大连市金州高级中学高三上学期期中考试
2005年陕西高考文科综合真题及答案_历史高考真题试卷_旧1990-2007·高考历史真题_1990-2007·高考历史真题·PDF_2001-2007年各地文综历年真题_陕西
随机文档
河南省商丘市青桐鸣2025-2026学年高二上学期青桐鸣联考生物试卷(A卷)含答案_2024-2025高二(7-7月题库)_2026年1月高二_260108河南省青桐鸣2025-2026学年高二上学期1月月考
技术+答案_2024-2025高三(6-6月题库)_2024年11月试卷_1124浙江省9+1高中联盟2025届高三上学期11月期中考试(全科)
1996年上海高考政治真题及答案_zz20高中真题试卷_政治高考真题试卷_旧1990-2007·高考政治真题_1990-2007·高考政治真题·PDF_上海
2005年陕西高考文科数学真题及答案_数学高考真题试卷_旧1990-2007·高考数学真题_1990-2007·高考数学真题·word_陕西
1995年黑龙江高考语文真题及答案_zz20高中真题试卷_语文高考真题试卷_旧1990-2007·高考语文真题_Word版1990-2007·高考语文真题_黑龙江
河南省商丘市青桐鸣2025-2026学年高二上学期1月质量检测数学试卷(人教A卷)含答案_2024-2025高二(7-7月题库)_2026年1月高二_260108河南省青桐鸣2025-2026学年高二上学期1月月考
2005年陕西高考文科数学真题及答案_数学高考真题试卷_旧1990-2007·高考数学真题_1990-2007·高考数学真题·PDF_陕西
承德高三(生物答案)_2024-2025高三(6-6月题库)_2024年12月试卷_1230河北省承德市2024-2025学年高三上学期12月联考
辽宁省大连市金州高级中学2023-2024学年高三上学期期中考试数学试题(1)_2023年11月_0211月合集_2024届辽宁省大连市金州高级中学高三上学期期中考试
1995年黑龙江高考语文真题及答案_zz20高中真题试卷_语文高考真题试卷_旧1990-2007·高考语文真题_PDF版1990-2007·高考语文真题_黑龙江