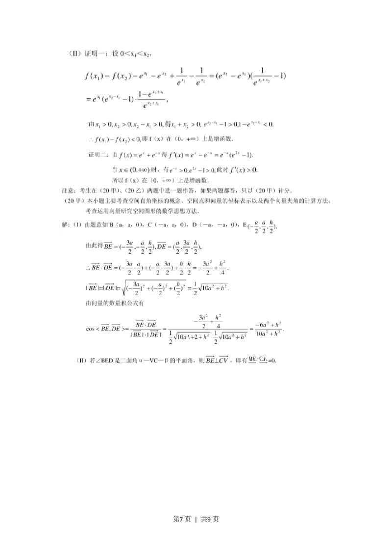
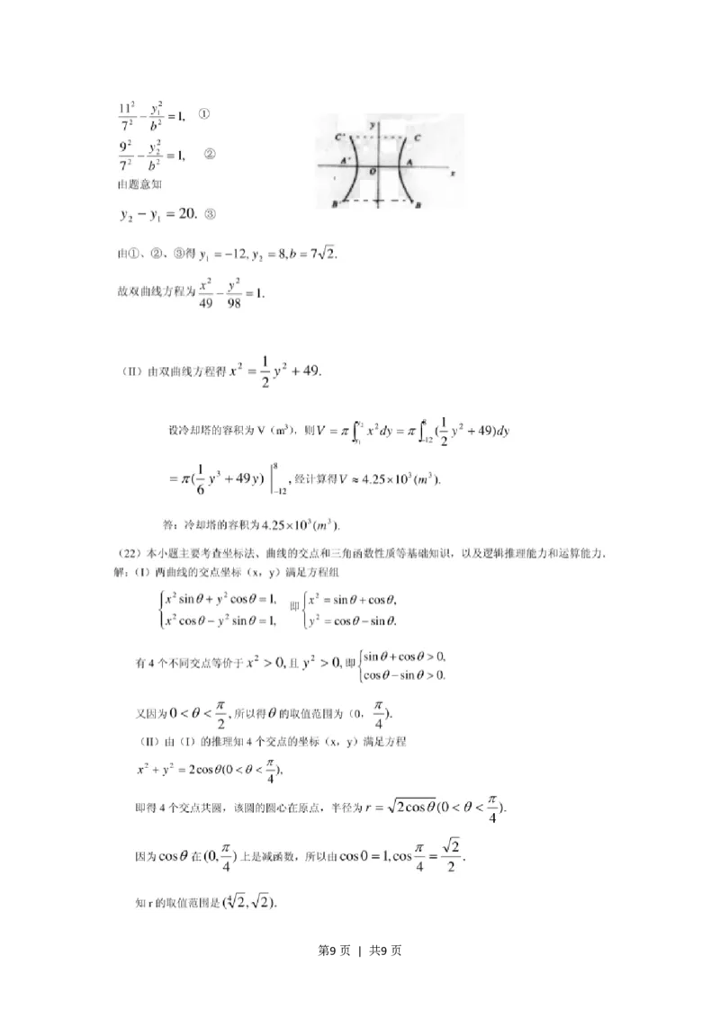
文档
办公文件
生活文档
学习资料
当前位置:
首页
>
文档
>2001年天津高考理科数学真题及答案(图片版)_数学高考真题试卷_旧1990-2007·高考数学真题_1990-2007·高考数学真题·PDF_天津
2001年天津高考理科数学真题及答案(图片版)_数学高考真题试卷_旧1990-2007·高考数学真题_1990-2007·高考数学真题·PDF_天津
2026-03-30 07:56:22
2026-02-16 06:25:47
文档预览
文档信息
文档格式
pdf
文档大小
1.120 MB
文档页数
9 页
上传时间
2026-02-16 06:25:47
下载文档
文档内容
2001 年天津高考理科数学真题及答案 第1页 | 共9页第2页 | 共9页第3页 | 共9页第4页 | 共9页第5页 | 共9页第6页 | 共9页第7页 | 共9页第8页 | 共9页第9页 | 共9页
本文档来自网络内容,如有侵犯您的权益请联系我们删除,联系邮箱:wyl860211@qq.com。
上一篇
白银市2023-2024高一下学期期末学业水平质量测历史试卷_2024-2025高一(7-7月题库)_2024年8月试卷_0802甘肃省普通高中2023-2024学年高一下学期期末教学质量统一检测
下一篇
2001年天津高考理科数学真题及答案(图片版)_数学高考真题试卷_旧1990-2007·高考数学真题_1990-2007·高考数学真题·word_天津
最新文档
专题34重点专训圆锥曲线大题专项训练(学生版)_02高考数学_通用版(老高考)复习资料_2024年复习资料_完备战2024年高考数学一轮复习考点帮(全国通用)_核心考点讲练
专题34读后续写之如何延续故事高潮-2023年高考英语一轮复习《考点•题型•技巧》精讲与精练高分突破系列(通用)(原卷版)_03高考英语_新高考复习资料_2023年新高考资料_一轮复习
专题4.1图形的相似(能力提升)(原卷版)_北师大初中数学_9上-北师大版初中数学_06专项讲练_2022-2023学年九年级数学上册《同步考点解读•专题训练》(北师大版)
专题4.1图形的相似(专项训练)-2022-2023学年九年级数学上册《同步考点解读•专题训练》(北师大版)_北师大初中数学_9上-北师大版初中数学_06专项讲练
专题4.1因式分解(原卷版)_北师大初中数学_8下-北师大版初中数学_旧版-可参考_06专项讲练_八年级数学下册单元题型精练(基础题型+强化题型)(北师大版)
专题4.1因式分解-八年级数学下册尖子生同步培优题典(解析版)北师大版_北师大初中数学_8下-北师大版初中数学_旧版-可参考_05习题试卷_1课时练习_同步练习(第2套)
专题34语法填空高频话题(文学、政治与经济)-2024年新高考英语一轮复习练小题刷大题提能力(原卷版)_03高考英语_新高考复习资料_2024年新高考资料_一轮复习资料_第二部分刷大题
专题4.1函数(高效培优讲义)(教师版)(1)_北师大初中数学_8上-北师大版初中数学_初中数学北师大8上-2025秋季新版_第二套推荐25_08专项讲练_北师大版2025秋培优专项讲义(更新中)
2.4一位数除三位数,商是三位数的除法-(人教版)_26春人教版数学三下_19、赠送其它资料_新建文件夹_三年级数学下册(人教版)_母题专项练习-K35_2024版
13练习十三迷宫大冲关_26春人教版数学三下_19、赠送其它资料_新建文件夹_三年级数学下册(人教版)_期中+期末-K149_期末试卷_期末复习
热门文档
专题4.1函数(能力提升)(解析版)_北师大初中数学_8上-北师大版初中数学_旧版_06专项讲练_2022-2023学年八年级数学上册《同步考点解读•专题训练》(北师大版)
专题34导数中的构造必刷100题(原卷版)_02高考数学_新高考复习资料_2022年新高考资料_千题百练2022高考数学
专题34圆锥曲线中的综合问题(解析版)_02高考数学_2024年新高考资料_3.2024专项复习_2024年新高考数学之圆锥曲线专项重难点突破练(新高考专用)
专题34圆锥曲线中的综合问题(原卷版)_02高考数学_2024年新高考资料_3.2024专项复习_2024年新高考数学之圆锥曲线专项重难点突破练(新高考专用)
专题4.1函数(知识讲解)-2021-2022学年八年级数学上册基础知识专项讲练(北师大版)_北师大初中数学_8上-北师大版初中数学_旧版_06专项讲练
专题33读后续写04动作描写突破(解析版)_03高考英语_新高考复习资料_2023年新高考资料_二轮复习_2023年高考英语毕业班二轮热点题型归纳与变式演练(新高考专用)288150943
专题33语法填空高频话题(人工智能GPT与网络直播)-2024年新高考英语一轮复习练小题刷大题提能力(解析版)_03高考英语_新高考复习资料_2024年新高考资料_一轮复习资料_第二部分刷大题
专题33语法填空高频话题(人工智能GPT与网络直播)-2024年新高考英语一轮复习练小题刷大题提能力(原卷版)_03高考英语_新高考复习资料_2024年新高考资料_一轮复习资料_第二部分刷大题
专题33提升专题02直线与圆锥曲线综合问题(教师版)_02高考数学_通用版(老高考)复习资料_2024年复习资料_完备战2024年高考数学一轮复习考点帮(全国通用)
专题33提升专题02直线与圆锥曲线综合问题(学生版)_02高考数学_通用版(老高考)复习资料_2024年复习资料_完备战2024年高考数学一轮复习考点帮(全国通用)
随机文档
专题33圆锥曲线中的探索性问题-2024年新高考数学之圆锥曲线专项重难点突破练(新高考专用)(解析版)_02高考数学_2024年新高考资料_3.2024专项复习
专题33圆锥曲线中的探索性问题-2024年新高考数学之圆锥曲线专项重难点突破练(新高考专用)(原卷版)_02高考数学_2024年新高考资料_3.2024专项复习
专题4.1函数(专项训练)-2022-2023学年八年级数学上册《同步考点解读•专题训练》(北师大版)_北师大初中数学_8上-北师大版初中数学_旧版_06专项讲练
1.6面积第六课时_26春人教版数学三下_19、赠送其它资料_旧教材资源_七彩课堂人教版数学三年级下册教案+学案_第五单元面积(教案+学案)_教案
专题4.1一次函数(基础)(解析版)_北师大初中数学_8上-北师大版初中数学_旧版_06专项讲练_题型分层练2022-2023学年八年级数学上册单元题型精练(基础题型+强化题型)(北师大版)
1.3口算除法第三课时_26春人教版数学三下_19、赠送其它资料_旧教材资源_七彩课堂人教版数学三年级下册教案+学案_第二单元除数是一位数的除法(教案+学案)_教案
专题33参变分离解决导数必刷100题(原卷版)_02高考数学_新高考复习资料_2022年新高考资料_千题百练2022高考数学
专题33.选择性必修第4册 Unit2 IconicAttractions(教师版)---2023届高三英语总复习(人教版2019)_03高考英语_新高考复习资料_2023年新高考资料_专项复习_2023届高三英语总复习
专题32读后续写之如何续写故事开头-2023年高考英语一轮复习《考点•题型•技巧》精讲与精练高分突破系列(通用)(解析版)_03高考英语_新高考复习资料_2023年新高考资料_一轮复习
专题4.1“8”字模型(原卷版)_北师大初中数学_7下-北师大版初中数学_7下-初中数学北师大版(旧版)赠送_06专项讲练_七年级数学下册单元题型精练(基础题型+强化题型)(北师大版)