当前位置:首页>文档>数学试卷答案_2024年5月_01按日期_30号_2024届江西省稳派上进高三5月高考适应性大练兵联考_江西省稳派上进教育联考2023—2024学年高三年级5月高考适应性大练兵联考数学

数学试卷答案_2024年5月_01按日期_30号_2024届江西省稳派上进高三5月高考适应性大练兵联考_江西省稳派上进教育联考2023—2024学年高三年级5月高考适应性大练兵联考数学

  • 2026-03-29 17:05:07 2026-02-17 01:28:19

文档预览

数学试卷答案_2024年5月_01按日期_30号_2024届江西省稳派上进高三5月高考适应性大练兵联考_江西省稳派上进教育联考2023—2024学年高三年级5月高考适应性大练兵联考数学
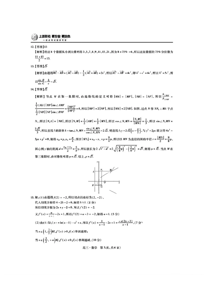
数学试卷答案_2024年5月_01按日期_30号_2024届江西省稳派上进高三5月高考适应性大练兵联考_江西省稳派上进教育联考2023—2024学年高三年级5月高考适应性大练兵联考数学
数学试卷答案_2024年5月_01按日期_30号_2024届江西省稳派上进高三5月高考适应性大练兵联考_江西省稳派上进教育联考2023—2024学年高三年级5月高考适应性大练兵联考数学
数学试卷答案_2024年5月_01按日期_30号_2024届江西省稳派上进高三5月高考适应性大练兵联考_江西省稳派上进教育联考2023—2024学年高三年级5月高考适应性大练兵联考数学
数学试卷答案_2024年5月_01按日期_30号_2024届江西省稳派上进高三5月高考适应性大练兵联考_江西省稳派上进教育联考2023—2024学年高三年级5月高考适应性大练兵联考数学
数学试卷答案_2024年5月_01按日期_30号_2024届江西省稳派上进高三5月高考适应性大练兵联考_江西省稳派上进教育联考2023—2024学年高三年级5月高考适应性大练兵联考数学

文档信息

文档格式
pdf
文档大小
1.527 MB
文档页数
6 页
上传时间
2026-02-17 01:28:19