当前位置:首页>文档>浙江省丽水、湖州、衢州三地市2024届高三下学期4月二模试题数学试卷(1)_2024年4月_024月合集_2024届浙江省丽水湖州衢州高三下学期4月二模

浙江省丽水、湖州、衢州三地市2024届高三下学期4月二模试题数学试卷(1)_2024年4月_024月合集_2024届浙江省丽水湖州衢州高三下学期4月二模

  • 2026-03-30 23:59:37 2026-02-17 09:41:13

文档预览

浙江省丽水、湖州、衢州三地市2024届高三下学期4月二模试题数学试卷(1)_2024年4月_024月合集_2024届浙江省丽水湖州衢州高三下学期4月二模
浙江省丽水、湖州、衢州三地市2024届高三下学期4月二模试题数学试卷(1)_2024年4月_024月合集_2024届浙江省丽水湖州衢州高三下学期4月二模
浙江省丽水、湖州、衢州三地市2024届高三下学期4月二模试题数学试卷(1)_2024年4月_024月合集_2024届浙江省丽水湖州衢州高三下学期4月二模
浙江省丽水、湖州、衢州三地市2024届高三下学期4月二模试题数学试卷(1)_2024年4月_024月合集_2024届浙江省丽水湖州衢州高三下学期4月二模
浙江省丽水、湖州、衢州三地市2024届高三下学期4月二模试题数学试卷(1)_2024年4月_024月合集_2024届浙江省丽水湖州衢州高三下学期4月二模
浙江省丽水、湖州、衢州三地市2024届高三下学期4月二模试题数学试卷(1)_2024年4月_024月合集_2024届浙江省丽水湖州衢州高三下学期4月二模
浙江省丽水、湖州、衢州三地市2024届高三下学期4月二模试题数学试卷(1)_2024年4月_024月合集_2024届浙江省丽水湖州衢州高三下学期4月二模
浙江省丽水、湖州、衢州三地市2024届高三下学期4月二模试题数学试卷(1)_2024年4月_024月合集_2024届浙江省丽水湖州衢州高三下学期4月二模
浙江省丽水、湖州、衢州三地市2024届高三下学期4月二模试题数学试卷(1)_2024年4月_024月合集_2024届浙江省丽水湖州衢州高三下学期4月二模
浙江省丽水、湖州、衢州三地市2024届高三下学期4月二模试题数学试卷(1)_2024年4月_024月合集_2024届浙江省丽水湖州衢州高三下学期4月二模

文档信息

文档格式
pdf
文档大小
1.540 MB
文档页数
10 页
上传时间
2026-02-17 09:41:13

文档内容

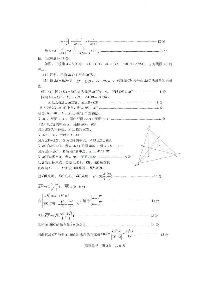
丽水、湖州、衢州 2024 年 4 月三地市高三教学质量检测试卷 数学试题卷 1.本试题卷共 4页,满分 150分,考试时间 120分钟. 2.考生答题前,务必将自己的姓名、准考证号用黑色字迹的签字笔或钢笔填写在答题纸上 3.选择题的答案须用 2B铅笔将答题纸上对应题目的答案标号涂黑,如要改动,须将原填涂处 用橡皮擦净. 4.非选择题的答案须用黑色字迹的签字笔或钢笔写在答题纸上相应区域内,作图时可先使用 2B铅笔,确定后须用黑色字迹的签字笔或钢笔描黑,答案写在本试题卷上无效. 一、选择题:本题共 8小题,每小题 5分,共 40分.在每小题给出的四个选项中,只有一项是 符合题目要求的. 1.掷两枚质地均匀的骰子,记事件A“第一枚出现奇数点”,记事件B“第二枚出现偶数点”,则A与B 关系是( ) A.互斥 B.互为对立 C.相互独立 D.相等 y2 2.双曲线x2  1(m0)的渐近线方程为y 2x,则m( ) m2 1 2 A. B. C. 2 D.2 2 2 3.复数z 满足 iz 1(i为虚数单位),则 z43i 的最小值是( ) A.3 B.4 C.5 D.6 r r r r r r r  r r 4.已知平面向量a,b 满足 b 2 a 2,若a  ab ,则a与b 的夹角是( ) π 5π π 2π A. B. C. D. 6 6 3 3 S 5.已知各项均为正数的等比数列 a  的前n项和为S ,且满足a ,3a ,a 成等差数列,则 4 ( ) n n 6 4 5 S 2 A.3 B.9 C.10 D.13  π 6.将函数 f xcos2x的图象向右平移  0 个单位后得到函数gx 的图象,若对满足  2 π f x gx  2的x ,x ,有 x x  ,则( ) 1 2 1 2 1 2 min 3 π π π 5π A. B. C. D. 6 4 3 12 x2 y2 7.已知椭圆C:  1(a b0),F,F 为左、右焦点,P为椭圆上一点,FPF 60o,直线 a2 b2 1 2 1 2 l: y xt经过点P.若点F 关于l的对称点在线段FP的延长线上,则C的离心率是( ) 2 1 学学科科网网((北北京京))股股份份有有限限公公司司1 2 1 2 A. B. C. D. 3 2 2 3 8.已知正实数x,x ,x 满足x2 2x 1 x 2x 1,x 2 3x 1 x 3x 2,x 2 4x 1 x 4x 3,则x,x ,x 的大 1 2 3 1 1 1 2 2 2 3 3 3 1 2 3 小关系是( ) A.x  x  x B.x  x  x 3 2 1 1 2 3 C.x  x  x D.x  x  x 1 3 2 2 1 3 二、多选题:本题共 3小题,每小题 6分,共 18分.在每小题给出的选项中,有多项符合题目 要求.全部选对的得 6分,部分选对的得部分分,有选错的得 0分. 9.有一组样本数据x ,x ,x ,x ,x ,x 的平均数是x ,方差是s2,极差为R,则下列判断正确的是 1 2 3 4 5 6 A.若ax b,ax b,ax b,ax b,ax b,ax b的平均数是x ,则x ax b( ) 1 2 3 4 5 6 0 0 B.若x ,2x ,3x ,4x ,5x ,6x 的极差是R,则R R 1 2 3 4 5 6 1 1 C.若方差s2 0,则x  x  x  x  x  x 1 2 3 4 5 6 x x D.若x  x  x  x  x  x ,则第75百分位数是 4 5 1 2 3 4 5 6 2 10.已知直三棱柱ABCABC 中,AB BC且AB BC 2,直线AC与底面ABC 所成角的正弦值 1 1 1 1 3 为 ,则( ) 3 A.线段AC上存在点D,使得AB AD 1 1 B.线段AC上存在点D,使得平面DBB 平面DCC 1 1 1 4 C.直三棱柱ABCABC 的体积为 1 1 1 3 D.点B到平面ABC的距离为 2 1 1 11.已知函数 f x 的定义域为R ,且 f x y f x y f 2x f 2y, f 12, f x1 为偶函 数,则( ) A. f 32 B. f x 为奇函数 2024 C. f 20 D.  f(k)0 k1 三、填空题:本题共 3小题,每小题 5分,共 15分. 学学科科网网((北北京京))股股份份有有限限公公司司π 1 12.在VABC中,角A,B,C的对边分别为a,b,c,B ,c 2,BC边上的高等于 a,则VABC的面积 4 3 是__________,sinA__________. 13.已知圆C:mx2 2m1y2 2axa20,若对于任意的aR,存在一条直线被圆C所截得的 弦长为定值n,则mn__________. 14.已知正四面体ABCD的棱长为1,若棱长为a的正方体能整体放入正四面体ABCD中,则实数a 的最大值为__________. 四、解答题:本题共 5小题,共 77分.解答应写出文字说明、证明过程或演算步骤. 15.(本题满分13分) 设等差数列 a  的公差为d ,记S 是数列 a  的前n项和,若S a 20,S a a a . n n n 5 3 15 2 3 8 (1)求数列 a  的通项公式; n (2)若d 0,b  4S n  nN* ,数列 b  的前n项和为T ,求证:T n 1 . n a a n n n 2 n n1 16.(本题满分15分) 如图,三棱锥ABCD中,ADCD,ADCD,ADBBDC,E为线段AC的中点. (1)证明:平面BED平面ACD; uuur uuur uuur uuur (2)设AB BD3,BF 2FD,EFBD0,求直线CF 与平面ABC 所成角的正弦值. 17.(本题满分15分) 设函数 f xex lnxa,aR. (1)当a1时,求函数 f x 的单调区间; (2)若对定义域内任意的实数x,恒有 f xa,求实数a的取值范围.(其中e2.71828是自然对数 的底数) 18.(本题满分17分) 已知抛物线E:y2 4x,点A,B,C在抛物线E上,且A在x轴上方,B和C在x轴下方(B在C左 侧),A,C 关于x轴对称,直线AB交x轴于点M ,延长线段CB交x轴于点Q,连接QA. 学学科科网网((北北京京))股股份份有有限限公公司司OM (1)证明: 为定值(O为坐标原点); OQ uuur uuuur 8 (2)若点Q的横坐标为-1,且MBMC  ,求VAQB的内切圆的方程. 9 19.(本题满分17分) 为保护森林公园中的珍稀动物,采用某型号红外相机监测器对指定区域进行监测识别.若该区域有珍稀动物 活动,该型号监测器能正确识别的概率(即检出概率)为 p ;若该区域没有珍稀动物活动,但监测器认为 1 有珍稀动物活动的概率(即虚警概率)为 p .已知该指定区域有珍稀动物活动的概率为0.2.现用2台该型号 2 的监测器组成监测系统,每台监测器(功能一致)进行独立监测识别,若任意一台监测器识别到珍稀动物 活动,则该监测系统就判定指定区域有珍稀动物活动. (1)若 p 0.8,p 0.02. 1 2 (i)在该区域有珍稀动物活动的条件下,求该监测系统判定指定区域有珍稀动物活动的概率; (ii)在判定指定区域有珍稀动物活动的条件下,求指定区域实际没有珍稀动物活动的概率(精确到 0.001); (2)若监测系统在监测识别中,当0.8 p 0.9时,恒满足以下两个条件:①若判定有珍稀动物活动 1 时,该区域确有珍稀动物活动的概率至少为0.9;②若判定没有珍稀动物活动时,该区域确实没有珍稀动 物活动的概率至少为0.9.求 p 的范围(精确到0.001). 2 35.04 35.01 (参考数据: 0.9866, 0.9861,0.982 0.9604) 6 6 学学科科网网((北北京京))股股份份有有限限公公司司学学科科网网((北北京京))股股份份有有限限公公司司学学科科网网((北北京京))股股份份有有限限公公司司学学科科网网((北北京京))股股份份有有限限公公司司学学科科网网((北北京京))股股份份有有限限公公司司学学科科网网((北北京京))股股份份有有限限公公司司学学科科网网((北北京京))股股份份有有限限公公司司