当前位置:首页>文档>真题重组卷02(新七省专用)(解析版)_2024年3月_013月合集_2024年高考数学冲刺真题重组卷(新结构题型)

真题重组卷02(新七省专用)(解析版)_2024年3月_013月合集_2024年高考数学冲刺真题重组卷(新结构题型)

  • 2026-03-28 17:23:23 2026-02-18 03:06:13

文档预览

真题重组卷02(新七省专用)(解析版)_2024年3月_013月合集_2024年高考数学冲刺真题重组卷(新结构题型)
真题重组卷02(新七省专用)(解析版)_2024年3月_013月合集_2024年高考数学冲刺真题重组卷(新结构题型)
真题重组卷02(新七省专用)(解析版)_2024年3月_013月合集_2024年高考数学冲刺真题重组卷(新结构题型)
真题重组卷02(新七省专用)(解析版)_2024年3月_013月合集_2024年高考数学冲刺真题重组卷(新结构题型)
真题重组卷02(新七省专用)(解析版)_2024年3月_013月合集_2024年高考数学冲刺真题重组卷(新结构题型)
真题重组卷02(新七省专用)(解析版)_2024年3月_013月合集_2024年高考数学冲刺真题重组卷(新结构题型)
真题重组卷02(新七省专用)(解析版)_2024年3月_013月合集_2024年高考数学冲刺真题重组卷(新结构题型)
真题重组卷02(新七省专用)(解析版)_2024年3月_013月合集_2024年高考数学冲刺真题重组卷(新结构题型)
真题重组卷02(新七省专用)(解析版)_2024年3月_013月合集_2024年高考数学冲刺真题重组卷(新结构题型)
真题重组卷02(新七省专用)(解析版)_2024年3月_013月合集_2024年高考数学冲刺真题重组卷(新结构题型)
真题重组卷02(新七省专用)(解析版)_2024年3月_013月合集_2024年高考数学冲刺真题重组卷(新结构题型)
真题重组卷02(新七省专用)(解析版)_2024年3月_013月合集_2024年高考数学冲刺真题重组卷(新结构题型)
真题重组卷02(新七省专用)(解析版)_2024年3月_013月合集_2024年高考数学冲刺真题重组卷(新结构题型)
真题重组卷02(新七省专用)(解析版)_2024年3月_013月合集_2024年高考数学冲刺真题重组卷(新结构题型)
真题重组卷02(新七省专用)(解析版)_2024年3月_013月合集_2024年高考数学冲刺真题重组卷(新结构题型)
真题重组卷02(新七省专用)(解析版)_2024年3月_013月合集_2024年高考数学冲刺真题重组卷(新结构题型)

文档信息

文档格式
docx
文档大小
0.944 MB
文档页数
16 页
上传时间
2026-02-18 03:06:13

文档内容

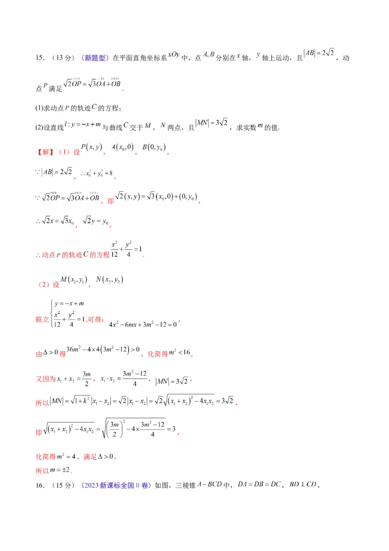
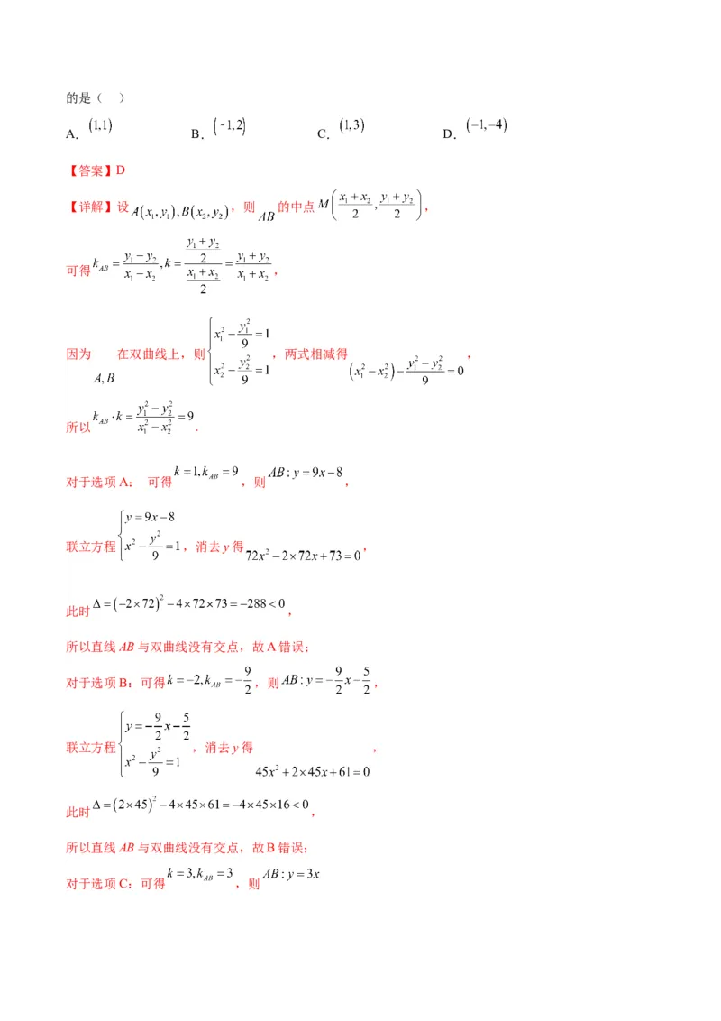
冲刺2024年高考数学真题重组卷 真题重组卷02 (考试时间:120分钟 试卷满分:150分) 第 I 卷(选择题) 一、单项选择题:本题共8小题,每小题5分,共40分,在每小题给出的四个选项中,只有一项是符合要 求的。 1.(2023全国甲卷数学(理))若复数 ,则 ( ) A.-1 B.0 · C.1 D.2 【答案】C 【详解】因为 , 所以 ,解得: .故选:C. 2.(2023新课标全国Ⅱ卷)设集合 , ,若 ,则 ( ). A.2 B.1 C. D. 【答案】B 【详解】因为 ,则有: 若 ,解得 ,此时 , ,不符合题意; 若 ,解得 ,此时 , ,符合题意; 综上所述: .故选:B. 3.(2023新课标全国Ⅰ卷)已知向量 ,若 ,则( ) A. B. C. D. 【答案】D 【详解】因为 ,所以 , ,由 可得, , 即 ,整理得: .故选:D. 4.(2023新课标全国Ⅱ卷)某学校为了解学生参加体育运动的情况,用比例分配的分层随机抽样方法作抽 样调查,拟从初中部和高中部两层共抽取60名学生,已知该校初中部和高中部分别有400名和200名学生, 则不同的抽样结果共有( ). A. 种 B. 种 C. 种 D. 种 【答案】D 【详解】根据分层抽样的定义知初中部共抽取 人,高中部共抽取 , 根据组合公式和分步计数原理则不同的抽样结果共有 种.故选:D. 5.(2023•新高考Ⅱ)若 为偶函数,则 A. B.0 C. D.1 【答案】 【解析】由 ,得 或 , 由 是偶函数, , 得 , 即 , ,得 ,得 .故选: . 6.(2023新课标全国Ⅰ卷)已知 ,则 ( ). A. B. C. D. 【答案】B【详解】因为 ,而 ,因此 , 则 , 所以 .故选:B 7.(2021•新高考Ⅰ)若过点 可以作曲线 的两条切线,则 A. B. C. D. 【答案】 【解析】法一:函数 是增函数, 恒成立, 函数的图象如图, ,即切点坐标在 轴上方, 如果 在 轴下方,连线的斜率小于0,不成立. 点 在 轴或下方时,只有一条切线. 如果 在曲线上,只有一条切线; 在曲线上侧,没有切线; 由图象可知 在图象的下方,并且在 轴上方时,有两条切线,可知 .故选: . 法二:设过点 的切线横坐标为 , 则切线方程为 ,可得 , 设 ,可得 , , , 是增函数, , , 是减函数, 因此当且仅当 时,上述关于 的方程有两个实数解,对应两条切线.故选: . 8.(2023全国乙卷数学(文)(理))设A,B为双曲线 上两点,下列四个点中,可为线段AB中点的是( ) A. B. C. D. 【答案】D 【详解】设 ,则 的中点 , 可得 , 因为 在双曲线上,则 ,两式相减得 , 所以 . 对于选项A: 可得 ,则 , 联立方程 ,消去y得 , 此时 , 所以直线AB与双曲线没有交点,故A错误; 对于选项B:可得 ,则 , 联立方程 ,消去y得 , 此时 , 所以直线AB与双曲线没有交点,故B错误; 对于选项C:可得 ,则由双曲线方程可得 ,则 为双曲线的渐近线, 所以直线AB与双曲线没有交点,故C错误; 对于选项D: ,则 , 联立方程 ,消去y得 , 此时 ,故直线AB与双曲线有交两个交点,故D正确; 故选:D. 二、多项选择题:本题共3小题,每小题6分,共18分,在每小题给出的四个选项中,有多项符合题目的 要求,全部选对的得6分,部分选对的得部分分,有选错的得0分。 9.(2022新课标全国Ⅱ卷)我国新冠肺炎疫情进入常态化,各地有序推进复工复产,下面是某地连续11 天复工复产指数折线图,下列说法正确的是 A.这11天复工指数和复产指数均逐日增加; B.这11天期间,复产指数增量大于复工指数的增量; C.第3天至第11天复工复产指数均超过80%; D.第9天至第11天复产指数增量大于复工指数的增量; 【答案】CD 【解析】由图可知,第1天到第2天复工指数减少,第7天到第8天复工指数减少,第10天到第11复工指 数减少,第8天到第9天复产指数减少,故A错误; 由图可知,第一天的复产指标与复工指标的差大于第11天的复产指标与复工指标的差,所以这11天期间, 复产指数增量小于复工指数的增量,故B错误; 由图可知,第3天至第11天复工复产指数均超过80%,故C正确; 由图可知,第9天至第11天复产指数增量大于复工指数的增量,故D正确;10.(2023新课标全国Ⅱ卷)若函数 既有极大值也有极小值,则( ). A. B. C. D. 【答案】BCD 【解析】函数 的定义域为 ,求导得 , 因为函数 既有极大值也有极小值,则函数 在 上有两个变号零点,而 , 因此方程 有两个不等的正根 , 于是 ,即有 , , ,显然 ,即 ,A错误,BCD正确. 故选:BCD 11.(2023新课标全国Ⅰ卷)下列物体中,能够被整体放入棱长为1(单位:m)的正方体容器(容器壁 厚度忽略不计)内的有( ) A.直径为 的球体 B.所有棱长均为 的四面体 C.底面直径为 ,高为 的圆柱体 D.底面直径为 ,高为 的圆柱体 【答案】ABD 【解析】对于选项A:因为 ,即球体的直径小于正方体的棱长, 所以能够被整体放入正方体内,故A正确; 对于选项B:因为正方体的面对角线长为 ,且 , 所以能够被整体放入正方体内,故B正确; 对于选项C:因为正方体的体对角线长为 ,且 , 所以不能够被整体放入正方体内,故C不正确; 对于选项D:因为 ,可知底面正方形不能包含圆柱的底面圆,如图,过 的中点 作 ,设 , 可知 ,则 , 即 ,解得 ,且 ,即 , 故以 为轴可能对称放置底面直径为 圆柱, 若底面直径为 的圆柱与正方体的上下底面均相切,设圆柱的底面圆心 ,与正方体的下底面的切点 为 , 可知: ,则 , 即 ,解得 , 根据对称性可知圆柱的高为 , 所以能够被整体放入正方体内,故D正确; 故选:ABD. 第 II 卷(非选择题) 三、填空题:本题共3小题,每小题5分,共15分。 12.(2023·北京卷)已知函数 ,则 ____________. 【答案】1 【解析】函数 ,所以 .13.(2023全国乙卷数学(文))已知 为等比数列, , ,则 ______. 【答案】 【详解】设 的公比为 ,则 ,显然 , 则 ,即 ,则 ,因为 ,则 , 则 ,则 ,则 , 14.(2023新课标全国Ⅰ卷)在正四棱台 中, ,则该棱台的体积 为________. 【答案】 【详解】如图,过 作 ,垂足为 ,易知 为四棱台 的高, 因为 , 则 , 故 ,则 , 所以所求体积为 . 四、解答题:本题共5小题,共77分,解答应写出必要的文字说明、证明过程及验算步骤。15.(13分)(新题型)在平面直角坐标系 中,点 分别在 轴, 轴上运动,且 ,动 点 满足 . (1)求动点 的轨迹 的方程; (2)设直线 与曲线 交于 , 两点,且 ,求实数 的值. 【解】(1)设 , , , , , ,即 , , , 动点 的轨迹 的方程 . (2)设 , 联立 ,可得: , 由 得 ,化简得 , 又因为 , , , 所以 , 即 , 化简得 ,满足 , 所以 . 16.(15分)(2023新课标全国Ⅱ卷)如图,三棱锥 中, , ,,E为BC的中点. (1)证明: ; (2)点F满足 ,求二面角 的正弦值. 【解析】(1)连接 ,因为E为BC中点, ,所以 ①, 因为 , ,所以 与 均为等边三角形, ,从而 ②,由①②, , 平面 , 所以, 平面 ,而 平面 ,所以 . (2)不妨设 , , . , ,又 , 平面 平面 . 以点 为原点, 所在直线分别为 轴,建立空间直角坐标系,如图所示: 设 , 设平面 与平面 的一个法向量分别为 , 二面角 平面角为 ,而 , 因为 ,所以 ,即有 ,,取 ,所以 ; ,取 ,所以 , 所以, ,从而 . 所以二面角 的正弦值为 . 17.(15分)(2021•新高考Ⅰ)某学校组织“一带一路”知识竞赛,有 , 两类问题.每位参加比赛 的同学先在两类问题中选择一类并从中随机抽取一个问题回答,若回答错误则该同学比赛结束;若回答正 确则从另一类问题中再随机抽取一个问题回答,无论回答正确与否,该同学比赛结束. 类问题中的每个 问题回答正确得20分,否则得0分; 类问题中的每个问题回答正确得80分,否则得0分. 已知小明能正确回答 类问题的概率为0.8,能正确回答 类问题的概率为0.6,且能正确回答问题的概率 与回答次序无关. (1)若小明先回答 类问题,记 为小明的累计得分,求 的分布列; (2)为使累计得分的期望最大,小明应选择先回答哪类问题?并说明理由. 【解析】(1)由已知可得, 的所有可能取值为0,20,100, 则 , , 所以 的分布列为: 0 20 100 0.2 0.32 0.48 (2)由(1)可知小明先回答 类问题累计得分的期望为 , 若小明先回答 类问题,记 为小明的累计得分, 则 的所有可能取值为0,80,100, ,, , 则 的期望为 , 因为 , 所以为使累计得分的期望最大,小明应选择先回答 类问题 18.(17分)(2023•甲卷(理))已知 , . (1)若 ,讨论 的单调性; (2)若 恒成立,求 的取值范围. 【解析】(1)已知 ,函数定义域为 , 若 ,此时 , 可得 , 因为 , , 所以当 ,即 时, , 单调递增; 当 ,即 时, , 单调递减; (2)不妨设 ,函数定义域为 , , 令 , ,此时 , 不妨令 , 可得 , 所以 单调递增, 此时 (1) , ①当 时, , 所以 在 上单调递减, 此时 , 则当 时, 恒成立,符合题意; ②当 时, 当 时, , 所以 , 又 (1) , 所以在区间 上存在一点 ,使得 , 即存在 ,使得 , 当 时, , 所以当 时, , 单调递增, 可得当 时, ,不符合题意, 综上, 的取值范围为 , . 资料来源: 微信公众号 智慧学库19.(17分)(新题型)若存在 使得 对任意 恒成立,则称 为函数 在 上 的最大值点,记函数 在 上的所有最大值点所构成的集合为 (1)若 ,求集合 ; (2)若 ,求集合 ; (3)设 为大于1的常数,若 ,证明,若集合 中有且仅有两个元素,则所有满 足条件的 从小到大排列构成一个等差数列. 【解】(1) , 当且仅当 时, 在R上取得最大值,故 ; (2) 定义域为R, , 令 ,则 , 令 得 , - 0 + 极小值 其中 ,故 , ,可以看出 , 故 有且仅有2个零点,分别为1和2, 令 得 或1或2, 1 2 + 0 - 0 + 0 - 极大 极大 极小值 值 值 其中 , 故当 或2时, 取得最大值,故 ; (3) , , , , 令 得 , , 当 时, , 单调递增, 当 时, , 单调递减, 当 时, , 单调递增, 当 时, , 单调递减, 当 , , 单调递增, ……, 由于 , 故所有的单调递增区间经过适当平移可重合,同理,所有的单调递减区间经过适当平移可重合, 要想集合 中有且仅有两个元素,则需要 或 , 或 ,……, , 其中 , , 又 , 所有的 均处在单调递增区间上, 所以 为定值, 故所有满足条件的 从小到大排列构成一个等差数列.