当前位置:首页>文档>真题重组卷03(新七省专用)(解析版)_2024年3月_013月合集_2024年高考数学冲刺真题重组卷(新结构题型)

真题重组卷03(新七省专用)(解析版)_2024年3月_013月合集_2024年高考数学冲刺真题重组卷(新结构题型)

  • 2026-03-28 16:22:11 2026-02-18 03:07:39

文档预览

真题重组卷03(新七省专用)(解析版)_2024年3月_013月合集_2024年高考数学冲刺真题重组卷(新结构题型)
真题重组卷03(新七省专用)(解析版)_2024年3月_013月合集_2024年高考数学冲刺真题重组卷(新结构题型)
真题重组卷03(新七省专用)(解析版)_2024年3月_013月合集_2024年高考数学冲刺真题重组卷(新结构题型)
真题重组卷03(新七省专用)(解析版)_2024年3月_013月合集_2024年高考数学冲刺真题重组卷(新结构题型)
真题重组卷03(新七省专用)(解析版)_2024年3月_013月合集_2024年高考数学冲刺真题重组卷(新结构题型)
真题重组卷03(新七省专用)(解析版)_2024年3月_013月合集_2024年高考数学冲刺真题重组卷(新结构题型)
真题重组卷03(新七省专用)(解析版)_2024年3月_013月合集_2024年高考数学冲刺真题重组卷(新结构题型)
真题重组卷03(新七省专用)(解析版)_2024年3月_013月合集_2024年高考数学冲刺真题重组卷(新结构题型)
真题重组卷03(新七省专用)(解析版)_2024年3月_013月合集_2024年高考数学冲刺真题重组卷(新结构题型)
真题重组卷03(新七省专用)(解析版)_2024年3月_013月合集_2024年高考数学冲刺真题重组卷(新结构题型)
真题重组卷03(新七省专用)(解析版)_2024年3月_013月合集_2024年高考数学冲刺真题重组卷(新结构题型)
真题重组卷03(新七省专用)(解析版)_2024年3月_013月合集_2024年高考数学冲刺真题重组卷(新结构题型)
真题重组卷03(新七省专用)(解析版)_2024年3月_013月合集_2024年高考数学冲刺真题重组卷(新结构题型)
真题重组卷03(新七省专用)(解析版)_2024年3月_013月合集_2024年高考数学冲刺真题重组卷(新结构题型)
真题重组卷03(新七省专用)(解析版)_2024年3月_013月合集_2024年高考数学冲刺真题重组卷(新结构题型)
真题重组卷03(新七省专用)(解析版)_2024年3月_013月合集_2024年高考数学冲刺真题重组卷(新结构题型)

文档信息

文档格式
docx
文档大小
1.218 MB
文档页数
16 页
上传时间
2026-02-18 03:07:39

文档内容

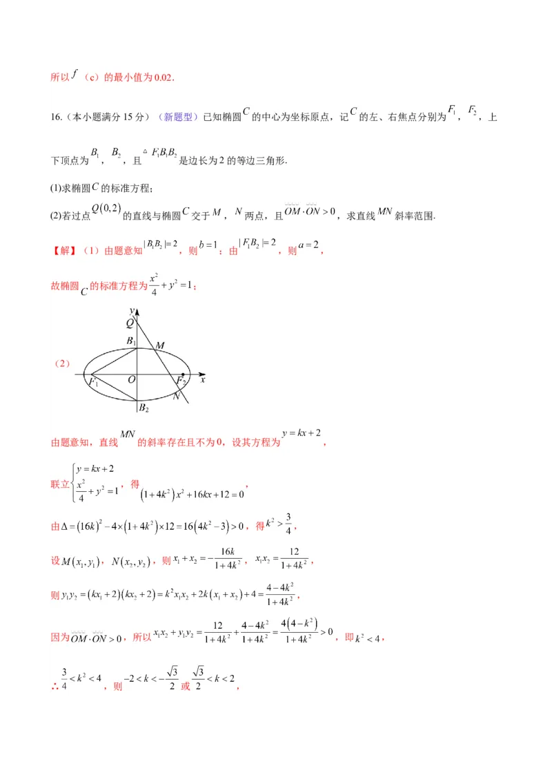
冲刺2024年高考数学真题重组卷 真题重组卷03 (考试时间:120分钟 试卷满分:150分) 第 I 卷(选择题) 一、单项选择题:本题共8小题,每小题5分,共40分,在每小题给出的四个选项中,只有一项是符合要 求的。 1.(2023新课标全国Ⅰ卷)已知 ,则 ( ) A. B. C.0 D.1 【答案】A 【详解】因为 ,所以 ,即 .故选:A. 2.(2023全国乙卷数学(理))设集合 ,集合 , ,则 ( ) A. B. C. D. 【答案】A 【详解】由题意可得 ,则 ,选项A正确; ,则 ,选项B错误; ,则 或 ,选项C错误; 或 ,则 或 ,选项D错误;故选:A. 3.(2023新课标全国Ⅱ卷)已知 为锐角, ,则 ( ). A. B. C. D. 【答案】D【详解】因为 ,而 为锐角, 解得: .故选:D. 4.(2023•乙卷(文))正方形 的边长是2, 是 的中点,则 A. B.3 C. D.5 【答案】 【解析】正方形 的边长是2, 是 的中点, 所以 , , , , 则 . 故选: . 5.(2023•新高考Ⅰ)设函数 在区间 单调递减,则 的取值范围是 A. , B. , C. , D. , 【答案】 【解析】设 ,对称轴为 ,抛物线开口向上, 是 的增函数, 要使 在区间 单调递减, 则 在区间 单调递减,即 ,即 , 故实数 的取值范围是 , .故选: . 6.(2023全国乙卷数学(文))已知等差数列 的公差为 ,集合 ,若 , 则 ( ) A.-1 B. C.0 D. 【答案】B【详解】依题意,等差数列 中, , 显然函数 的周期为3,而 ,即 最多3个不同取值,又 , 则在 中, 或 , 于是有 ,即有 ,解得 , 所以 , . 故选:B 7.(2023全国乙卷数学(文))已知实数 满足 ,则 的最大值是( ) A. B.4 C. D.7 【答案】C 【详解】法一:令 ,则 , 代入原式化简得 , 因为存在实数 ,则 ,即 , 化简得 ,解得 , 故 的最大值是 , 法二: ,整理得 , 令 , ,其中 , 则 , ,所以 ,则 ,即 时, 取得最大值 ,法三:由 可得 , 设 ,则圆心到直线 的距离 , 解得 故选:C. 8.(2023全国乙卷数学(理))已知圆锥PO的底面半径为 ,O为底面圆心,PA,PB为圆锥的母线, ,若 的面积等于 ,则该圆锥的体积为( ) A. B. C. D. 【答案】B 【详解】在 中, ,而 ,取 中点 ,连接 ,有 ,如图, , ,由 的面积为 ,得 , 解得 ,于是 , 所以圆锥的体积 . 故选:B 二、多项选择题:本题共3小题,每小题6分,共18分,在每小题给出的四个选项中,有多项符合题目的 要求,全部选对的得6分,部分选对的得部分分,有选错的得0分。 9.(2021新课标全国Ⅱ卷)下列统计量中,能度量样本 的离散程度的是( ) A.样本 的标准差 B.样本 的中位数C.样本 的极差 D.样本 的平均数 【答案】AC 【解析】由标准差的定义可知,标准差考查的是数据的离散程度; 由中位数的定义可知,中位数考查的是数据的集中趋势; 由极差的定义可知,极差考查的是数据的离散程度; 由平均数的定义可知,平均数考查的是数据的集中趋势;故选:AC. 10.(2022新课标全国Ⅱ卷)已知函数 的图像关于点 中心对称,则 ( ) A. 在区间 单调递减 B. 在区间 有两个极值点 C.直线 是曲线 的对称轴 D.直线 是曲线 的切线 【答案】AD 【解析】由题意得: ,所以 , , 即 , 又 ,所以 时, ,故 . 对A,当 时, ,由正弦函数 图象知 在 上是单调递减; 对B,当 时, ,由正弦函数 图象知 只有1个极值点,由,解得 ,即 为函数的唯一极值点; 对C,当 时, , ,直线 不是对称轴; 对D,由 得: , 解得 或 , 从而得: 或 , 所以函数 在点 处的切线斜率为 , 切线方程为: 即 . 故选:AD. 11.(2022新课标全国Ⅰ卷)已知O为坐标原点,点 在抛物线 上,过点 的直线交C于P,Q两点,则( ) A.C的准线为 B.直线AB与C相切 C. D. 【答案】BCD 【解析】将点 的代入抛物线方程得 ,所以抛物线方程为 ,故准线方程为 ,A错误; ,所以直线 的方程为 , 联立 ,可得 ,解得 ,故B正确; 设过 的直线为 ,若直线 与 轴重合,则直线 与抛物线 只有一个交点, 所以,直线 的斜率存在,设其方程为 , ,联立 ,得 , 所以 ,所以 或 , , 又 , , 所以 ,故C正确; 因为 , , 所以 ,而 ,故D正确. 故选:BCD 第 II 卷(非选择题) 三、填空题:本题共3小题,每小题5分,共15分。 12.(2023•乙卷(理))已知 为等比数列, , ,则 . 【答案】 . 【解析】 等比数列 , ,解得 , 而 ,可得 , 即 , . 13.(2023新高考天津卷)在 的展开式中, 项的系数为_________. 【答案】【详解】展开式的通项公式 , 令 可得, , 则 项的系数为 . 14.(2021•新高考Ⅱ)已知函数 , , ,函数 的图象在点 , 和点 , 的两条切线互相垂直,且分别交 轴于 , 两点,则 的取值范围是 . 【答案】 【解析】当 时, ,导数为 , 可得在点 , 处的斜率为 , 切线 的方程为 , 令 ,可得 ,即 , 当 时, ,导数为 , 可得在点 , 处的斜率为 , 令 ,可得 ,即 , 由 的图象在 , 处的切线相互垂直,可得 , 即为 , , , 所以 . 四、解答题:本题共5小题,共77分,解答应写出必要的文字说明、证明过程及验算步骤。 15.(本小题满分13分)(2023•新高考Ⅱ)某研究小组经过研究发现某种疾病的患病者与未患病者的某项医学指标有明显差异,经过大量调查,得到如下的患病者和未患病者该指标的频率分布直方图: 利用该指标制定一个检测标准,需要确定临界值 ,将该指标大于 的人判定为阳性,小于或等于 的人 判定为阴性,此检测标准的漏诊率是将患病者判定为阴性的概率,记为 (c);误诊率是将未患病者判 定为阳性的概率,记为 (c).假设数据在组内均匀分布,以事件发生的频率作为相应事件发生的概率. (1)当漏诊率 (c) 时,求临界值 和误诊率 (c); (2)设函数 (c) (c) (c).当 , ,求 (c)的解析式,并求 (c)在区间 , 的最小值. 【解析】(1)当漏诊率 (c) 时, 则 ,解得 ; (c) ; (2)当 , 时, (c) (c) (c) , 当 , 时 , ( c ) ( c ) ( c ) , 故 (c) ,所以 (c)的最小值为0.02. 16.(本小题满分15分)(新题型)已知椭圆 的中心为坐标原点,记 的左、右焦点分别为 , ,上 下顶点为 , ,且 是边长为2的等边三角形. (1)求椭圆 的标准方程; (2)若过点 的直线与椭圆 交于 , 两点,且 ,求直线 斜率范围. 【解】(1)由题意知 ,则 ;由 ,则 , 故椭圆 的标准方程为 ; (2) 由题意知,直线 的斜率存在且不为0,设其方程为 , 联立 ,得 , 由 ,得 , 设 , ,则 , , 则 , 因为 ,所以 ,即 , ∴ ,则 或 ,综上,斜率范围为 . 17.(本小题满分15分)资料来源: 微信公众号 智慧学库 (2022•新高考Ⅰ)如图,直三棱柱 的体积为4,△ 的面积为 . (1)求 到平面 的距离; (2)设 为 的中点, ,平面 平面 ,求二面角 的正弦值. 【解析】(1)由直三棱柱 的体积为4,可得 , 设 到平面 的距离为 ,由 , , ,解得 . (2)连接 交 于点 , , 四边形 为正方形, ,又 平面 平面 ,平面 平面 , 平面 , , 由直三棱柱 知 平面 , ,又 , 平面 , , 以 为坐标原点, , , 所在直线为坐标轴建立如图所示的空间直角坐标系, , ,又 ,解得 ,则 ,0, , ,2, , ,0, , ,2, , ,1, , 则 ,2, , ,1, , ,0, , 设平面 的一个法向量为 , , , 则 ,令 ,则 , , 平面 的一个法向量为 ,0, , 设平面 的一个法向量为 , , , ,令 ,则 , , 平面 的一个法向量为 ,1, , , , 二面角 的正弦值为 . 18.(本小题满分17分)(2023•新高考Ⅱ)(1)证明:当 时, ;参考答案 (2)已知函数 ,若 为 的极大值点,求 的取值范围. 【解析】(1)证明:设 , , 则 , , 在 上单调递减, , 在 上单调递减,, 即 , , , , 设 , , 则 , 在 上单调递增, , , 即 , , , , 综合可得:当 时, ; (2) , , 且 , , ①若 ,即 时, 易知存在 ,使得 时, , 在 上单调递增, , 在 上单调递增,这显然与 为函数的极大值点相矛盾,故舍去; ②若 ,即 或 时, 存在 ,使得 , 时, ,在 , 上单调递减,又 , 当 时, , 单调递增; 当 时, , 单调递减,满足 为 的极大值点,符合题意; ③若 ,即 时, 为偶函数, 只考虑 的情况, 此时 , 时, , 在 上单调递增,与显然与 为函数的极大值点相矛盾,故舍去. 综合可得: 的取值范围为 , , . 19.(本小题满分17分)(新题型)已知定义域为 的函数 满足:对于任意的 ,都有 ,则称函数 具有性质 . (1)判断函数 是否具有性质 ;(直接写出结论) (2)已知函数 ,判断是否存在 ,使函数 具有性质 ?若存在, 求出 的值;若不存在,说明理由; (3)设函数 具有性质 ,且在区间 上的值域为 .函数 ,满足 ,且在区间 上有且只有一个零点.求证: . 【解】(1)因为 ,则 ,又 , 所以 ,故函数 具有性质 ;因为 ,则 ,又 , ,故 不具有性质 . (2)若函数 具有性质 ,则 ,即 , 因为 ,所以 ,所以 ; 若 ,不妨设 ,由 , 得 (*), 只要 充分大时, 将大于1,而 的值域为 , 故等式(*)不可能成立,所以必有 成立, 即 ,因为 ,所以 , 所以 ,则 ,此时 , 则 , 而 ,即有 成立, 所以存在 , 使函数 具有性质 . (3)证明:由函数 具有性质 及(2)可知, , 由 可知函数 是以 为周期的周期函数,则 , 即 ,所以 , ; 由 , 以及题设可知, 函数 在 的值域为 ,所以 且 ; 当 , 及 时,均有 ,这与 在区间 上有且只有一个零点矛盾,因此 或 ; 当 时, ,函数 在 的值域为 , 此时函数 的值域为 , 而 ,于是函数 在 的值域为 , 此时函数 的值域为 , 函数 在当 时和 时的取值范围不同, 与函数 是以 为周期的周期函数矛盾, 故 ,即 ,命题得证.