当前位置:首页>文档>真题重组卷04(新七省专用)(解析版)_2024年3月_013月合集_2024年高考数学冲刺真题重组卷(新结构题型)

真题重组卷04(新七省专用)(解析版)_2024年3月_013月合集_2024年高考数学冲刺真题重组卷(新结构题型)

  • 2026-03-28 14:51:33 2026-02-18 03:08:53

文档预览

真题重组卷04(新七省专用)(解析版)_2024年3月_013月合集_2024年高考数学冲刺真题重组卷(新结构题型)
真题重组卷04(新七省专用)(解析版)_2024年3月_013月合集_2024年高考数学冲刺真题重组卷(新结构题型)
真题重组卷04(新七省专用)(解析版)_2024年3月_013月合集_2024年高考数学冲刺真题重组卷(新结构题型)
真题重组卷04(新七省专用)(解析版)_2024年3月_013月合集_2024年高考数学冲刺真题重组卷(新结构题型)
真题重组卷04(新七省专用)(解析版)_2024年3月_013月合集_2024年高考数学冲刺真题重组卷(新结构题型)
真题重组卷04(新七省专用)(解析版)_2024年3月_013月合集_2024年高考数学冲刺真题重组卷(新结构题型)
真题重组卷04(新七省专用)(解析版)_2024年3月_013月合集_2024年高考数学冲刺真题重组卷(新结构题型)
真题重组卷04(新七省专用)(解析版)_2024年3月_013月合集_2024年高考数学冲刺真题重组卷(新结构题型)
真题重组卷04(新七省专用)(解析版)_2024年3月_013月合集_2024年高考数学冲刺真题重组卷(新结构题型)
真题重组卷04(新七省专用)(解析版)_2024年3月_013月合集_2024年高考数学冲刺真题重组卷(新结构题型)
真题重组卷04(新七省专用)(解析版)_2024年3月_013月合集_2024年高考数学冲刺真题重组卷(新结构题型)
真题重组卷04(新七省专用)(解析版)_2024年3月_013月合集_2024年高考数学冲刺真题重组卷(新结构题型)
真题重组卷04(新七省专用)(解析版)_2024年3月_013月合集_2024年高考数学冲刺真题重组卷(新结构题型)
真题重组卷04(新七省专用)(解析版)_2024年3月_013月合集_2024年高考数学冲刺真题重组卷(新结构题型)
真题重组卷04(新七省专用)(解析版)_2024年3月_013月合集_2024年高考数学冲刺真题重组卷(新结构题型)
真题重组卷04(新七省专用)(解析版)_2024年3月_013月合集_2024年高考数学冲刺真题重组卷(新结构题型)

文档信息

文档格式
docx
文档大小
1.372 MB
文档页数
16 页
上传时间
2026-02-18 03:08:53

文档内容

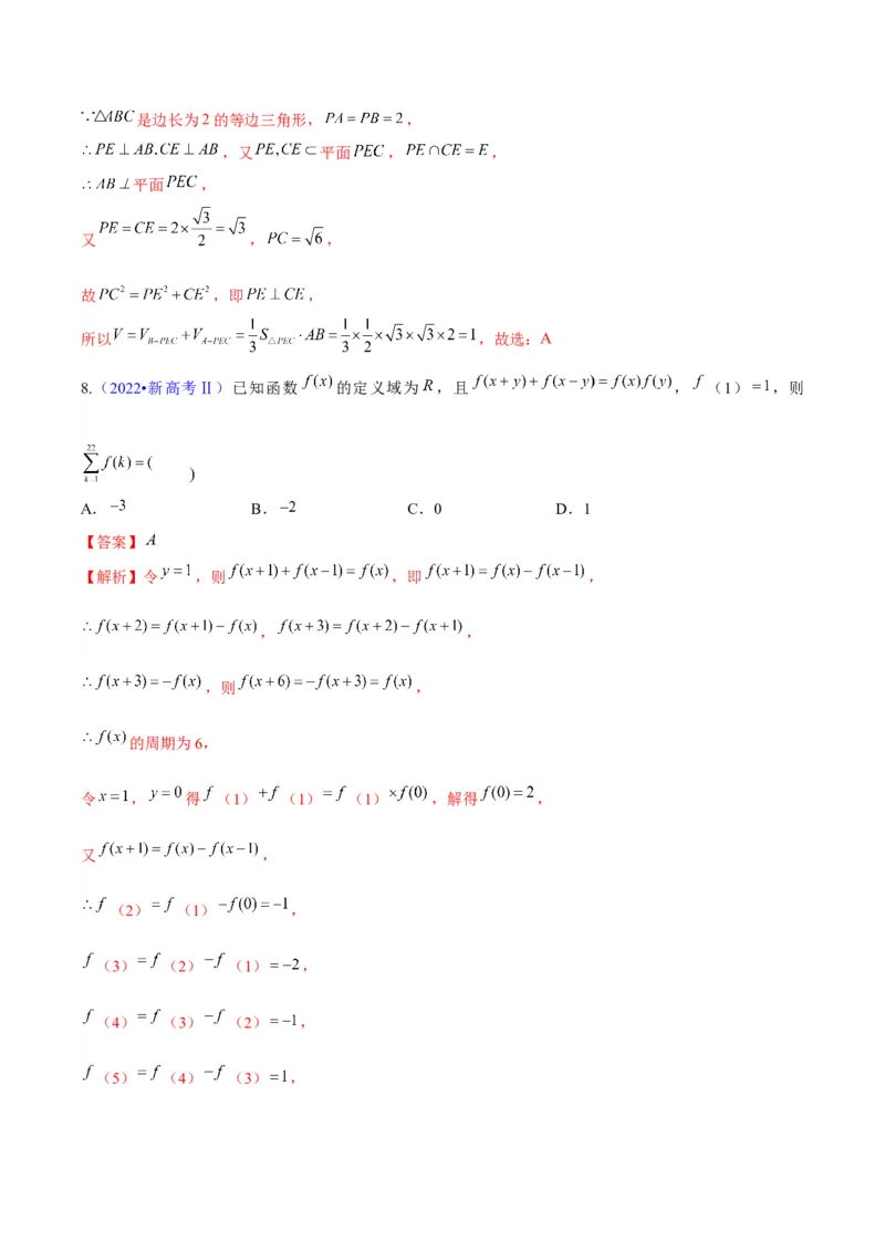
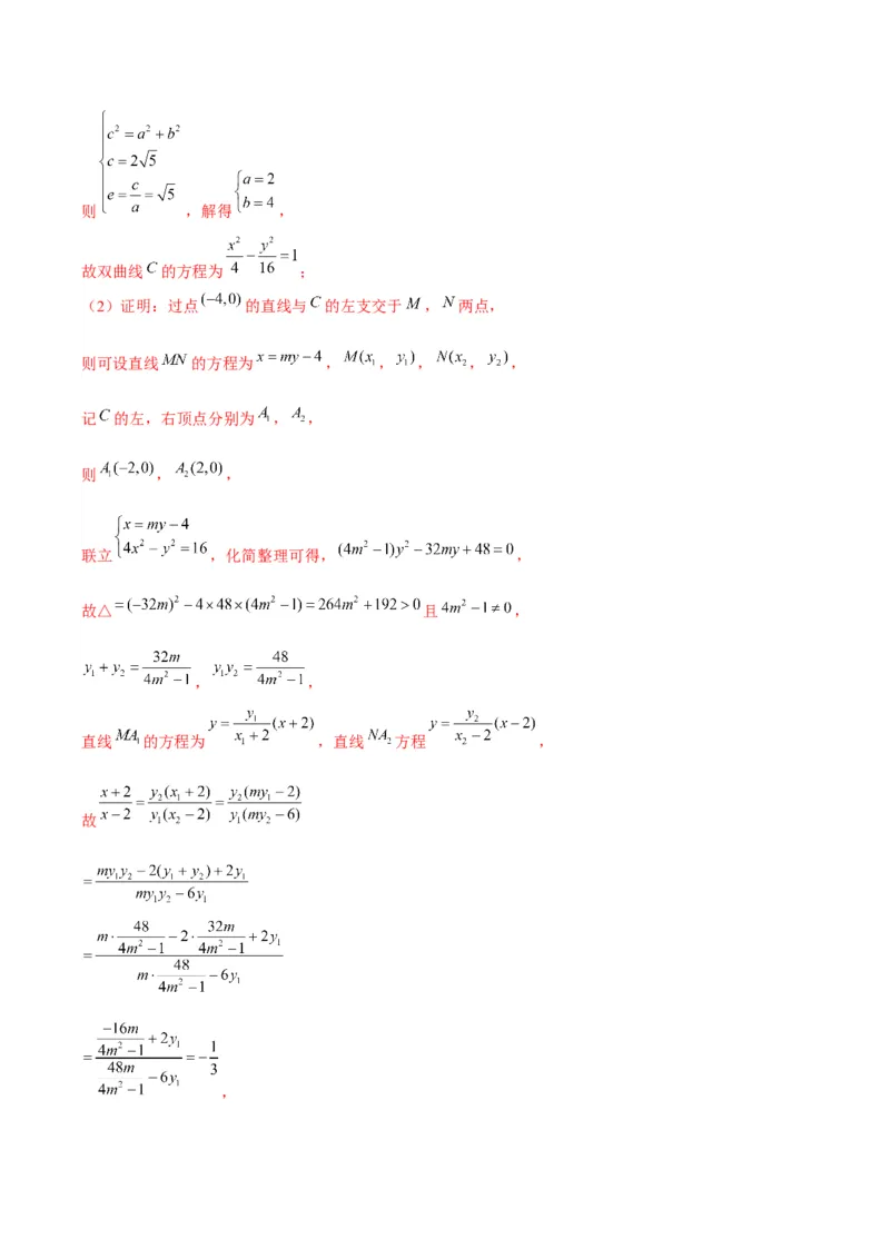
冲刺2024年高考数学真题重组卷 真题重组卷04 (考试时间:120分钟 试卷满分:150分) 第 I 卷(选择题) 一、单项选择题:本题共8小题,每小题5分,共40分,在每小题给出的四个选项中,只有一项是符合要 求的。 1.(2022•新高考Ⅰ)若集合 , ,则 A. B. C. D. 【答案】 【解析】由 ,得 , , 由 ,得 , , .故选: . 2.(2023全国乙卷数学(理))设 ,则 ( ) A. B. C. D. 【答案】B 【详解】由题意可得 , 则 .故选:B. 3.(2023•天津)调查某种花萼长度和花瓣长度,所得数据如图所示,其中相关系数 ,下列说 法正确的是 A.花瓣长度和花萼长度没有相关性B.花瓣长度和花萼长度呈现负相关 C.花瓣长度和花萼长度呈现正相关 D.若从样本中抽取一部分,则这部分的相关系数一定是0.8245 【答案】 【解析】 相关系数 ,且散点图呈左下角到右上角的带状分布, 花瓣长度和花萼长度呈正相关. 若从样本中抽取一部分,则这部分的相关系数不一定是0.8245.故选: . 4.(2023•天津)“ ”是“ ”的 A.充分不必要条件 B.必要而不充分条件 C.充分必要条件 D.既不充分也不必要条件 【答案】 【解析】 ,即 ,解得 或 , ,即 ,解得 , 故“ ”不能推出“ ”,充分性不成立, “ ”能推出“ ”,必要性成立, 故“ ”是“ ”的必要不充分条件. 故选: . 5.(2023全国甲卷数学(理))4.有五名志愿者参加社区服务,共服务星期六、星期天两天,每天从中 任选两人参加服务,则恰有1人连续参加两天服务的选择种数为( ) A.120 B.60 C.40 D.30 【答案】B 【详解】不妨记五名志愿者为 , 假设 连续参加了两天社区服务,再从剩余的4人抽取2人各参加星期六与星期天的社区服务,共有 种方法,同理: 连续参加了两天社区服务,也各有 种方法, 所以恰有1人连续参加了两天社区服务的选择种数有 种. 故选:B.6.(2023全国乙卷数学(文)(理))已知函数 在区间 单调递增,直线 和 为函数 的图像的两条对称轴,则 ( ) A. B. C. D. 【答案】D 【详解】因为 在区间 单调递增, 所以 ,且 ,则 , , 当 时, 取得最小值,则 , , 则 , ,不妨取 ,则 , 则 ,故选:D. 7.(2023全国甲卷数学(文))在三棱锥 中, 是边长为2的等边三角形, ,则该棱锥的体积为( ) A.1 B. C.2 D.3 【答案】A 【详解】取 中点 ,连接 ,如图,是边长为2的等边三角形, , ,又 平面 , , 平面 , 又 , , 故 ,即 , 所以 ,故选:A 8.(2022•新高考Ⅱ)已知函数 的定义域为 ,且 , (1) ,则 A. B. C.0 D.1 【答案】 【解析】令 ,则 ,即 , , , ,则 , 的周期为6, 令 , 得 (1) (1) (1) ,解得 , 又 , (2) (1) , (3) (2) (1) , (4) (3) (2) , (5) (4) (3) ,(6) (5) (4) , , (1) (2) (3) (4) . 故选: . 二、多项选择题:本题共3小题,每小题6分,共18分,在每小题给出的四个选项中,有多项符合题目的 要求,全部选对的得6分,部分选对的得部分分,有选错的得0分。 9.(2020新课标全国Ⅰ卷)已知曲线 .( ) A.若m>n>0,则C是椭圆,其焦点在y轴上 B.若m=n>0,则C是圆,其半径为 C.若mn<0,则C是双曲线,其渐近线方程为 D.若m=0,n>0,则C是两条直线 【答案】ACD 【解析】对于A,若 ,则 可化为 , 因为 ,所以 , 即曲线 表示焦点在 轴上的椭圆,故A正确; 对于B,若 ,则 可化为 , 此时曲线 表示圆心在原点,半径为 的圆,故B不正确; 对于C,若 ,则 可化为 , 此时曲线 表示双曲线,由 可得 ,故C正确; 对于D,若 ,则 可化为 , ,此时曲线 表示平行于 轴的两条直线,故D正确; 故选:ACD. 10.(2023新课标全国Ⅱ卷)在信道内传输0,1信号,信号的传输相互独立.发送0时,收到1的概率为 ,收到0的概率为 ;发送1时,收到0的概率为 ,收到1的概率为 . 考虑 两种传输方案:单次传输和三次传输.单次传输是指每个信号只发送1次,三次传输 是指每个信号重复发 送3次.收到的信号需要译码,译码规则如下:单次传输时,收到的信号即为译码;三次传输时,收到的 信号中出现次数多的即为译码(例如,若依次收到1,0,1,则译码为1). A.采用单次传输方案,若依次发送1,0,1,则依次收到l,0,1的概率为 B.采用三次传输方案,若发送1,则依次收到1,0,1的概率为 C.采用三次传输方案,若发送1,则译码为1的概率为 D.当 时,若发送0,则采用三次传输方案译码为0的概率大于采用单次传输方案译码为0的概 率 【答案】ABD 【解析】对于A,依次发送1,0,1,则依次收到l,0,1的事件是发送1接收1、发送0接收0、发送1接 收1的3个事件的积, 它们相互独立,所以所求概率为 ,A正确; 对于B,三次传输,发送1,相当于依次发送1,1,1,则依次收到l,0,1的事件, 是发送1接收1、发送1接收0、发送1接收1的3个事件的积, 它们相互独立,所以所求概率为 ,B正确; 对于C,三次传输,发送1,则译码为1的事件是依次收到1,1,0、1,0,1、0,1,1和1,1,1的事件 和,它们互斥,由选项B知,所以所求的概率为 ,C错误; 对于D,由选项C知,三次传输,发送0,则译码为0的概率 , 单次传输发送0,则译码为0的概率 ,而 , 因此 ,即 ,D正确. 故选:ABD 11.(2023新课标全国Ⅰ卷)已知函数 的定义域为 , ,则( ). A. B. C. 是偶函数 D. 为 的极小值点 【答案】ABC 【解析】方法一:因为 , 对于A,令 , ,故 正确. 对于B,令 , ,则 ,故B正确. 对于C,令 , ,则 , 令 , 又函数 的定义域为 ,所以 为偶函数,故 正确, 对于D,不妨令 ,显然符合题设条件,此时 无极值,故 错误. 方法二:因为 , 对于A,令 , ,故 正确. 对于B,令 , ,则 ,故B正确. 对于C,令 , ,则 ,令 , 又函数 的定义域为 ,所以 为偶函数,故 正确, 对于D,当 时,对 两边同时除以 ,得到 , 故可以设 ,则 , 当 肘, ,则 , 令 ,得 ;令 ,得 ; 故 在 上单调递减,在 上单调递增, 因为 为偶函数,所以 在 上单调递增,在 上单调递减, 显然,此时 是 的极大值,故D错误. 故选: . 第 II 卷(非选择题) 三、填空题:本题共3小题,每小题5分,共15分。资料来源: 微信公众号 智慧学库 12.(2023•天津)在 中, , ,点 为 的中点,点 为 的中点,若设 , ,则 可用 , 表示为 . 【答案】 . 【解析】在 中, , ,点 为 的中点,点 为 的中点, , ,则 13.(2022•新高考Ⅰ) 的展开式中 的系数为 (用数字作答). 【答案】 . 【解析】 的通项公式为 , 当 时, ,当 时, , 的展开式中 的系数为 . 14.(2023•北京)我国度量衡的发展有着悠久的历史,战国时期就出现了类似于砝码的用来测量物体质量 的“环权”.已知9枚环权的质量(单位:铢)从小到大构成项数为 9的数列 ,该数列的前3项成等 差数列,后7项成等比数列,且 , , ,则 ,数列 的所有项 的和为 . 【答案】48;384. 【解析】 数列 的后7项成等比数列, , , , 公比 . , 又该数列的前3项成等差数列, 数列 的所有项的和为 . 四、解答题:本题共5小题,共77分,解答应写出必要的文字说明、证明过程及验算步骤。 15.(本小题满分 13分)(2021•新高考Ⅱ)在 中,角 , , 所对的边长为 , , ,, . (1)若 ,求 的面积; (2)是否存在正整数 ,使得 为钝角三角形?若存在,求出 的值;若不存在,说明理由. 【解析】(1) , 根据正弦定理可得 , , , , , , 在 中,运用余弦定理可得 , , , . (2) , 为钝角三角形时,角 必为钝角, , , , , 三角形的任意两边之和大于第三边, ,即 ,即 , , 为正整数, . 16.(本小题满分15分)(2023•新高考Ⅰ)如图,在正四棱柱 中, , . 点 , , , 分别在棱 , , , 上, , , .(1)证明: ; (2)点 在棱 上,当二面角 为 时,求 . 【解析】(1)证明:根据题意建系如图,则有: ,2, , ,0, , ,2, , ,0, , , , ,又 , , , 四点不共线, ; (2)在(1)的坐标系下,可设 ,2, , , , 又由(1)知 ,0, , ,2, , ,0, , , , , 设平面 的法向量为 , 则 ,取 , 设平面 的法向量为 , 则 ,取 ,根据题意可得 , , , ,又 , , 解得 或 , 为 的中点或 的中点, . 17.(本小题满分15分)(2023•新高考Ⅰ)甲、乙两人投篮,每次由其中一人投篮,规则如下:若命中 则此人继续投篮,若未命中则换为对方投篮.无论之前投篮情况如何,甲每次投篮的命中率均为 0.6,乙 每次投篮的命中率均为0.8.由抽签确定第1次投篮的人选,第1次投篮的人是甲、乙的概率各为0.5. (1)求第2次投篮的人是乙的概率; (2)求第 次投篮的人是甲的概率; (3)已知:若随机变量 服从两点分布,且 , ,2, , ,则 .记前 次(即从第1次到第 次投篮)中甲投篮的次数为 ,求 . 【解析】(1)设第2次投篮的人是乙的概率为 , 由题意得 ; (2)由题意设 为第 次投篮的是甲,则 , , 又 ,则 是首项为 ,公比为0.4的等比数列, ,即 , 第 次投篮的人是甲的概率为 ; (3)由(2)得 , 由题意得甲第 次投篮次数 服从两点分布,且 , , 当 时, ; 当 时, , 综上所述, , . 18.(本小题满分17分)(2023•新高考Ⅱ)已知双曲线 中心为坐标原点,左焦点为 , ,离心 率为 . (1)求 的方程; (2)记 的左、右顶点分别为 , ,过点 的直线与 的左支交于 , 两点, 在第二象限, 直线 与 交于 ,证明 在定直线上. 【解析】(1)双曲线 中心为原点,左焦点为 , ,离心率为 ,则 ,解得 , 故双曲线 的方程为 ; (2)证明:过点 的直线与 的左支交于 , 两点, 则可设直线 的方程为 , , , , , 记 的左,右顶点分别为 , , 则 , , 联立 ,化简整理可得, , 故△ 且 , , , 直线 的方程为 ,直线 方程 , 故 ,故 ,解得 , 所以 , 故点 在定直线 上运动. 19.(本小题满分17分)(2022•甲卷(理))已知函数 . (1)若 ,求 的取值范围; (2)证明:若 有两个零点 , ,则 . 【解析】(1) 的定义域为 , , 令 ,解得 ,故函数 在 单调递减, 单调递增, 故 (1) ,要使得 恒成立,仅需 , 故 ,故 的取值范围是 , ; (2)证明:由已知有函数 要有两个零点,故 (1) ,即 , 不妨设 ,要证明 ,即证明 , , , 即证明: ,又因为 在 单调递增, 即证明: , 构造函数 , ,, 构造函数 , ,因为 ,所以 , 故 在 恒成立,故 在 单调递增, 故 (1) 又因为 ,故 在 恒成立,故 在 单调递增, 又因为 (1) ,故 (1) , 故 ,即 .得证.