当前位置:首页>文档>精品解析:2024届贵州省高三二模生物试题(原卷版)_2024年4月_01按日期_14号_2024届贵州省高三年级4月适应性考试_贵州省2024年高三年级4月适应性考试生物

精品解析:2024届贵州省高三二模生物试题(原卷版)_2024年4月_01按日期_14号_2024届贵州省高三年级4月适应性考试_贵州省2024年高三年级4月适应性考试生物

  • 2026-03-25 02:20:00 2026-02-18 06:40:33

文档预览

精品解析:2024届贵州省高三二模生物试题(原卷版)_2024年4月_01按日期_14号_2024届贵州省高三年级4月适应性考试_贵州省2024年高三年级4月适应性考试生物
精品解析:2024届贵州省高三二模生物试题(原卷版)_2024年4月_01按日期_14号_2024届贵州省高三年级4月适应性考试_贵州省2024年高三年级4月适应性考试生物
精品解析:2024届贵州省高三二模生物试题(原卷版)_2024年4月_01按日期_14号_2024届贵州省高三年级4月适应性考试_贵州省2024年高三年级4月适应性考试生物
精品解析:2024届贵州省高三二模生物试题(原卷版)_2024年4月_01按日期_14号_2024届贵州省高三年级4月适应性考试_贵州省2024年高三年级4月适应性考试生物
精品解析:2024届贵州省高三二模生物试题(原卷版)_2024年4月_01按日期_14号_2024届贵州省高三年级4月适应性考试_贵州省2024年高三年级4月适应性考试生物
精品解析:2024届贵州省高三二模生物试题(原卷版)_2024年4月_01按日期_14号_2024届贵州省高三年级4月适应性考试_贵州省2024年高三年级4月适应性考试生物
精品解析:2024届贵州省高三二模生物试题(原卷版)_2024年4月_01按日期_14号_2024届贵州省高三年级4月适应性考试_贵州省2024年高三年级4月适应性考试生物

文档信息

文档格式
docx
文档大小
0.508 MB
文档页数
7 页
上传时间
2026-02-18 06:40:33

文档内容

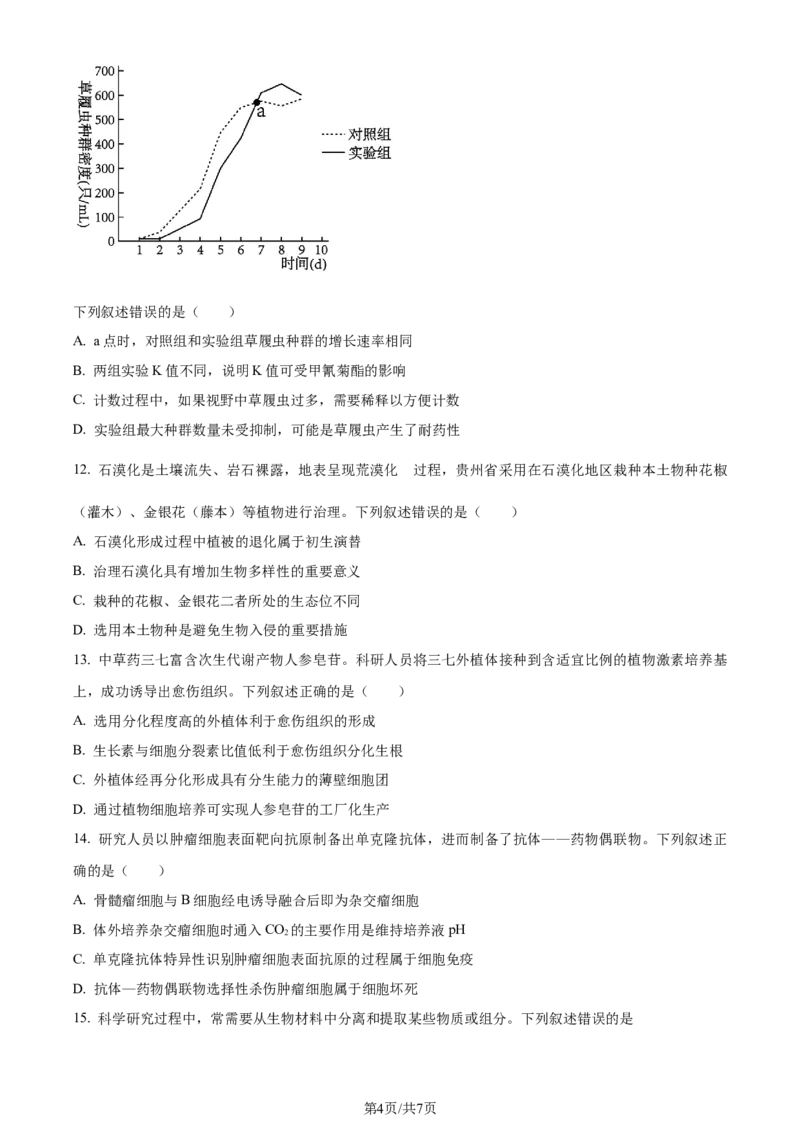
贵州省 2024 年高考选择性考试科目适应性测试 生物学 注意事项: 1.答卷前,考生务必将自己的姓名、准考证号填写在答题卡上。 2.回答选择题时,选出每小题答案后,用2B铅笔把答题卡上对应题目的答案标号涂黑。如 需改动,用橡皮擦干净后,再选涂其他答案标号。回答非选择题时,将答案写在答题卡上。 答案写在本试卷上无效。 3.考试结束后,将本试卷和答题卡一并交回。 一、选择题:本题共 16小题,每小题3分,共48分。在每小题给出的四个选项中,只有一 项符合题目要求。 1. 在农业生产和科学研究过程中,经常需要根据生物学原理采取某些措施使植物生长满足人们的需求,下 列叙述正确的是( ) A. 在大棚里增施CO 是为了促进有氧呼吸 2 B. 去除顶芽是为了促进果实的成熟 C. 人工授粉是为了保留全部亲本性状 D. 人工补光是为了提高植物有机物的积累 2. 科学家在厌氧型光合细菌中发现了一种利用菌绿素的原始光合作用机制,其基本原理如图所示。该细菌 的光合作用与高等植物相比,下列叙述错误的是( ) A. ATP的合成同样依赖色素分子吸收光能 B. 菌绿素和叶绿素同样位于类囊体薄膜 C. (CHO)的合成都需要ATP和NADPH的参与 2 D. 该细菌不释放O 是因为NADPH的H来自HS 2 2 3. 生物膜独特的组成和结构使其在物质运输中扮演着重要角色。下列叙述错误的是( ) A. 膜的磷脂分子中饱和脂肪酸比例升高会使膜流动性升高 B. 膜上转运蛋白可通过主动运输或协助扩散的方式运输K+ C. 胰岛素或乙酰胆碱可通过囊泡与细胞膜融合排出细胞 D. 核膜上的核孔允许核内转录得到的tRNA运出细胞核 4. 细胞中甲、乙两类生物大分子的单体结构如图所示。下列叙述错误的是( ) 第1页/共7页 学科网(北京)股份有限公司A. 甲和乙中的部分种类具有酶的催化活性 B. 甲分子R基排列顺序的多样性可决定乙分子的多样性 C. 若a为OH,则甲与乙形成的某种复合物可构成甲的合成场所 D. 若a为H,则甲与乙形成的某种复合物在有丝分裂中呈现不同形态 5. 苯丙酮尿症是一种常染色体隐性遗传病。患者不能把苯丙氨酸转变为酪氨酸,导致血液中苯丙氨酸积累, 影响智力发育。下列叙述正确的是( ) A. 苯丙酮尿症在男性和女性中患病概率不同 B. 正常双亲生出患病子女是基因重组导致的 C. 该病症可通过控制苯丙氨酸的摄入来根治 D. 禁止近亲结婚可降低苯丙酮尿症的发病率 6. PER是存在于下丘脑某细胞中的一种重要生物钟基因,当其突变或者缺失时,会引起节律紊乱。PER蛋 白的合成过程如下图所示。 下列叙述正确的是( ) A. PER基因中的遗传信息可沿着过程①②传递 B. DNA聚合酶与PER基因结合发生在过程① C. 过程②③都遵循碱基互补配对原则但方式不同 D. 过程④可使PER蛋白含量下降而引起节律紊乱 7. 小黑麦是科学家将二倍体黑麦与异源六倍体普通小麦杂交,并经染色体加倍得到的异源多倍体。基本过 程如图所示,下列叙述错误的是( ) 第2页/共7页 学科网(北京)股份有限公司A. 杂交种在减数分裂时染色体联会正常 B. 可用秋水仙素诱导杂交种获得小黑麦 C. 图中小黑麦形成的配子中含有4个染色体组 D. 图中小黑麦自交后代不会发生性状分离 8. “种子萌发,幼苗生长,繁花满枝,瓜熟蒂落”,植物整个生命历程都离不开植物激素的调节。下列叙 述正确的是( ) A. “种子萌发”时,赤霉素使种子α-淀粉酶合成减少 的 B. “幼苗生长”时,幼芽中 甲硫氨酸可转变为生长素 C. “繁花满枝”时,油菜素内酯可促进花粉管的生长 D. “瓜熟蒂落”时,果实内乙烯和细胞分裂素含量增加 9. 生物体正常的生命活动离不开信息分子的调节,下列叙述错误的是( ) A. 细胞因子是B细胞分裂、分化形成浆细胞和记忆B细胞的信号之一 B. 光敏色素接受光信号后调控有关基因的表达,进而调节植物的生命活动 C. 血液中二氧化碳浓度升高,刺激下丘脑化学感受器,引起呼吸加深加快 D. 用性引诱剂(信息素)诱杀害虫的雄性个体,可降低害虫的种群密度 10. 过敏特应性皮炎是一种慢性炎症性皮肤病,临床上常表现为皮肤干燥、剧烈瘙痒和湿疹样皮疹等症状。 下列叙述错误的是( ) A. 过敏特应性皮炎是机体免疫防御功能紊乱导致的 B. 可用抗组胺类药物缓解过敏特应性皮炎诱发的症状 C. 再次接触过敏原,浆细胞识别过敏原后可分泌抗体 D. 找出过敏原并避免与之接触是预防该病的主要措施 11. 某研究团队对草履虫在农药甲氰菊酯胁迫下的种群密度变化进行研究,结果如图所示。 第3页/共7页 学科网(北京)股份有限公司下列叙述错误的是( ) A. a点时,对照组和实验组草履虫种群的增长速率相同 B. 两组实验K值不同,说明K值可受甲氰菊酯的影响 C. 计数过程中,如果视野中草履虫过多,需要稀释以方便计数 D. 实验组最大种群数量未受抑制,可能是草履虫产生了耐药性 的 12. 石漠化是土壤流失、岩石裸露,地表呈现荒漠化 过程,贵州省采用在石漠化地区栽种本土物种花椒 (灌木)、金银花(藤本)等植物进行治理。下列叙述错误的是( ) A. 石漠化形成过程中植被的退化属于初生演替 B. 治理石漠化具有增加生物多样性的重要意义 C. 栽种的花椒、金银花二者所处的生态位不同 D. 选用本土物种是避免生物入侵的重要措施 13. 中草药三七富含次生代谢产物人参皂苷。科研人员将三七外植体接种到含适宜比例的植物激素培养基 上,成功诱导出愈伤组织。下列叙述正确的是( ) A. 选用分化程度高的外植体利于愈伤组织的形成 B. 生长素与细胞分裂素比值低利于愈伤组织分化生根 C. 外植体经再分化形成具有分生能力的薄壁细胞团 D. 通过植物细胞培养可实现人参皂苷的工厂化生产 14. 研究人员以肿瘤细胞表面靶向抗原制备出单克隆抗体,进而制备了抗体——药物偶联物。下列叙述正 确的是( ) A. 骨髓瘤细胞与B细胞经电诱导融合后即为杂交瘤细胞 B. 体外培养杂交瘤细胞时通入CO 的主要作用是维持培养液pH 2 C. 单克隆抗体特异性识别肿瘤细胞表面抗原的过程属于细胞免疫 D. 抗体—药物偶联物选择性杀伤肿瘤细胞属于细胞坏死 15. 科学研究过程中,常需要从生物材料中分离和提取某些物质或组分。下列叙述错误的是 第4页/共7页 学科网(北京)股份有限公司A. 小鼠成熟红细胞是提取纯净细胞膜的理想材料 B. 叶绿素a在层析液中的溶解度大于叶绿素b . C 凝胶电泳可分离DNA,差速离心可分离各种细胞器 D. DNA在酒精中溶解度较大,蛋白质几乎不溶于酒精 16. 20世纪30年代,科学家发现某野生型真菌存在如下图所示的代谢途径,代谢产物精氨酸是该真菌生长 的必需物质,而鸟氨酸等中间代谢产物都不是必需物质。缺陷型突变体是指不合成某种酶的真菌。 N-乙酰瓜氨酸 鸟氨酸 瓜氨酸 精氨酸 下列叙述正确的是( ) . A 图中三种酶都不能脱离该真菌发挥催化作用 B. 缺陷型突变体可能是基因碱基序列改变的结果 C. 酶1缺陷型突变体不能在含瓜氨酸的培养基中生长 D. 培养该野生型真菌时无需在培养基中添加氮源 二、非选择题:本题共5小题,共52分。 17. 为探究温度、O 浓度对采收后苹果贮存的影响,经实验研究,结果如下图所示。 2 回答下列问题: (1)采收后的苹果仍在进行细胞呼吸。在O 充足的条件下,O 参与反应的场所是_____________,该阶 2 2 段的产物有_____________。 (2)据图分析,贮存苹果的适宜条件是_____________,依据是_____________。 (3)由图可知,O 浓度在20%~30%范围内,影响CO 相对生成量的环境因素是_____________,CO 相对 2 2 2 生成量不同的原因是_____________。 18. 长期高糖饮食可诱发糖尿病,为探究乌天麻代餐粉(低热量食材)对高血糖小鼠是否具有干预作用, 研究人员随机选取30只健康小鼠均分为三组,a组(对照组):基础饲料+蒸馏水;另外两组腹腔注射一 定量STZ(链脲佐菌素),构建高血糖桶型鼠,然后分别作如下处理,b组:高糖饲料+蒸馏水;c组:代 餐粉+蒸馏水;其它实验条件相同且适宜。一段时间后检测相关指标结果如图所示。 第5页/共7页 学科网(北京)股份有限公司回答下列问题: (1)图1所示的三条曲线中,代表c组的是曲线_____________(选填“甲”“乙”或“丙”)。a组小鼠 进食2小时后血糖含量维持相对稳定,该过程中与胰岛素作用相抗衡的激素主要有_____________(答出2 种即可)。 (2)通过对实验小鼠进行腹腔注射STZ后,STZ能特异性作用于胰岛B细胞,原因可能是_____________, 据图2推测,高血糖模型组小鼠患_____________(选填“1型”或“2型”)糖尿病,依据是 _____________。 (3)综合图1、2可知c组处理能有效降低小鼠的血糖含量,机理可能是_____________。 19. 科学家在某一生态系统中,对几种不同动物的同化效率(同化量/摄取量)和生长效率(生产量/同化 量)进行研究,相关数据见下表。 的 不同种类动物 生态效率 单位:Kcal·m-2·a-1 摄 取 同 化 呼 吸 生 产 动物种类 量 量 量 量 蜘蛛(肉食,变温动 12.60 11.90 10.00 1.90 物) 蝗虫(植食,变温动 3.71 1.37 0.86 0.51 物) 田鼠(植食,恒温动 7.40 6.70 6.60 0.10 物) 麻雀(杂食,恒温动 4.00 3.60 3.60 0.00 物) 注:生产量是指呼吸作用消耗后所净剩的能量值,它以有机物质的形式累积在生态系统中。 回答下列问题: (1)表中四种动物存在食物联系和分层现象。其中,食物网中能量消耗最多的一条食物链为 _____________:四种动物的分层现象是由植物群落的_____________决定。 第6页/共7页 学科网(北京)股份有限公司(2)据表分析,蜘蛛的同化效率为_____________;蝗虫的生长效率比田鼠_____________(选填“高” 或“低”),原因是_____________。 20. 玉米粒色有紫色粒和白色粒两种表型,选取纯种的紫色粒玉米植株与白色粒玉米植株为亲本,杂交得 F,均为紫色粒,F 自交得到F,F 中表型及比例为紫色粒∶白色粒=9∶7,同学们对此提出了两种观点: 1 1 2 2 观点一:玉米的粒色受两对独立遗传的等位基因A/a、B/b控制,A和B同时存在表现为紫色粒,其余为白 色粒。 观点二:玉米的粒色受一对等位基因A/a控制,但含某种基因的部分花粉不育,导致F 的性状分离比偏离 2 3∶1。 回答下列问题: (1)依据观点一,可推测亲本的基因型是_____________,F 中紫色粒的基因型有_____________种,F 白 2 2 色粒中纯合子的比例是_____________。 (2)依据观点二,可推测F 产生的含_____________(选填“A”或“a”)基因的部分花粉不育。 1 (3)为验证两种观点,以亲本中的白色粒植株和F 植株为实验材料进行测交,F 植株应为_____________ 1 1 (选填“父本”或“母本”),若子代出现的表型及比例是_____________,则观点一成立;若子代出现 的表型及比例是_____________,则观点二成立。 21. 柠檬酸是一种应用广泛的有机酸,生产时需接种黑曲霉孢子在密闭发酵罐中发酵。回答下列问题: (1)黑曲霉发酵前需要进行菌种的扩大培养,其目的是_____________;菌液接种到发酵罐前,菌液的孢 子数可用_____________在显微镜下测定。 (2)柠檬酸主要来自糖代谢途径,因而合成柠檬酸的主要原料来自培养基成分中的_____________;同时, 培养基配制完成后需要湿热灭菌,湿热灭菌与干热灭菌相比的优点是_____________(答出两点即可)。 (3)黑曲霉在密闭发酵罐生产柠檬酸,发酵过程中通过_____________增加发酵液的溶氧量;为保证发酵 过程的连续性,并解决营养物质不足和有害物质增加的问题,生产中可采取的措施是_____________。 (4)黑曲霉发酵产柠檬酸受柠檬酸合酶调控,为将该酶对应的基因序列连接到载体,请写出实验思路 _____________。 第7页/共7页 学科网(北京)股份有限公司