当前位置:首页>文档>四川省成都市第七中学2024-2025学年高三上学期11月期中考试数学答案_2024-2025高三(6-6月题库)_2024年11月试卷_1110四川省成都市第七中学2024-2025学年高三上学期11月期中考试

四川省成都市第七中学2024-2025学年高三上学期11月期中考试数学答案_2024-2025高三(6-6月题库)_2024年11月试卷_1110四川省成都市第七中学2024-2025学年高三上学期11月期中考试

  • 2026-03-21 16:25:55 2026-02-18 08:33:38

文档预览

四川省成都市第七中学2024-2025学年高三上学期11月期中考试数学答案_2024-2025高三(6-6月题库)_2024年11月试卷_1110四川省成都市第七中学2024-2025学年高三上学期11月期中考试
四川省成都市第七中学2024-2025学年高三上学期11月期中考试数学答案_2024-2025高三(6-6月题库)_2024年11月试卷_1110四川省成都市第七中学2024-2025学年高三上学期11月期中考试
四川省成都市第七中学2024-2025学年高三上学期11月期中考试数学答案_2024-2025高三(6-6月题库)_2024年11月试卷_1110四川省成都市第七中学2024-2025学年高三上学期11月期中考试
四川省成都市第七中学2024-2025学年高三上学期11月期中考试数学答案_2024-2025高三(6-6月题库)_2024年11月试卷_1110四川省成都市第七中学2024-2025学年高三上学期11月期中考试

文档信息

文档格式
pdf
文档大小
2.422 MB
文档页数
4 页
上传时间
2026-02-18 08:33:38

文档内容

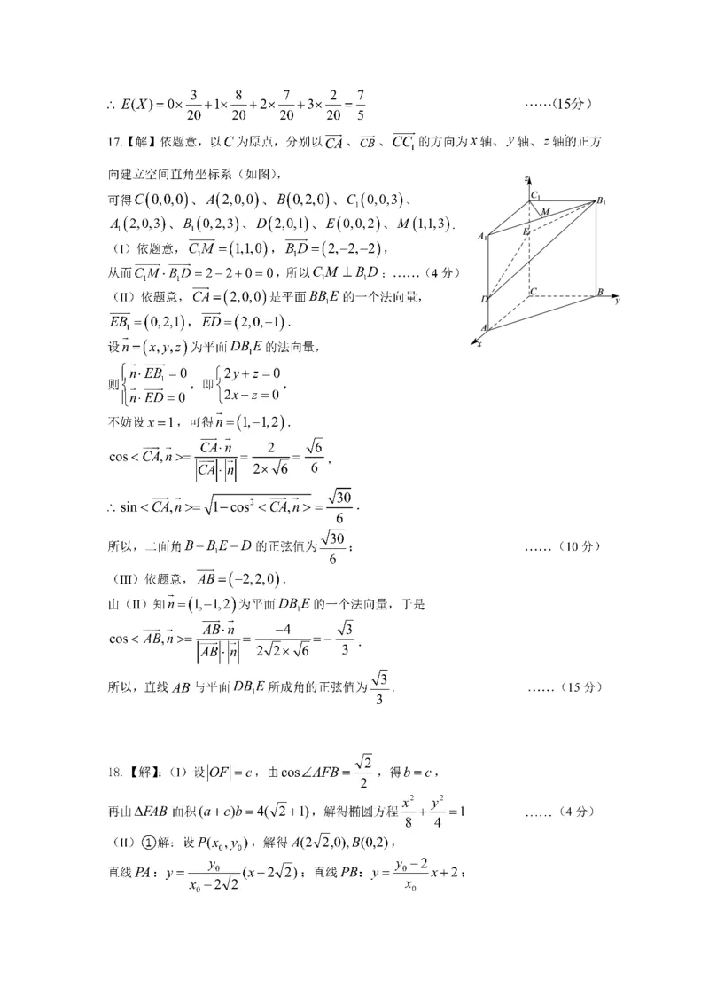
2024~2025 学年度上期高 2025届半期考试 高三数学试卷参考答案 一、单选题 DABC DBCC 二、多选题 9.ABD 10.AC 11. BCD 三、填空题 12. x N,x 2 1 0 0 13. (x3)2  ( y  2 ) 2 25 2 14. 2 四、解答题 1 3 1  15.【解】(I) 3sinCcosCcos2C   sin2C cos2C 1,即sin(2C )1, 2, 2 2 6    0C ,2C  ,解得C  。 (6分) 6 2 3 a b (II)m与n共线,sinB2sinA0。由正弦定理  ,得b  2a①, sin A sinB   a  3 c 3,由余弦定理,得9  a 2  b 2 2abcos ②,联立①②, (13分) 3  b  2 3 16.【解】(I)由频率估计概率可得 甲获得优秀的概率为0.4,乙获得优秀的概率为0.5,丙获得优秀的概率为0.5, 故答案为0.4 (5分) (II)设甲获得优秀为事件A ,乙获得优秀为事件A ,丙获得优秀为事件A 1 2 3 3 P(X 0) P(A A A )0.60.50.5 , 1 2 3 20 P(X 1) P(A A A )P(A A A )P(A A A ) 1 2 3 1 2 3 1 2 3 8 0.40.50.50.60.50.50.60.50.5 , 20 P(X 2) P(A A A )P(A A A )P(A A A ) 1 2 3 1 2 3 1 2 3 7 0.40.50.50.40.50.50.60.50.5 , 20 2 P(X 3) P(A A A )0.40.50.5 , (11分) 1 2 3 20 ∴X的分布列为 X 0 1 2 3 3 8 7 2 P 20 20 20 20 {#{QQABZYIEggiIAAIAAAhCQQGCCACQkhAAASgOgAAMMAABSAFABAA=}#}{#{QQABZYIEggiIAAIAAAhCQQGCCACQkhAAASgOgAAMMAABSAFABAA=}#}2 2y 2x 解得M(0, 0 ),N( 0 ,0) x  2 2 y  2 0 0 1 1 2x 2 2y 四边形ABNM 的面积S  AN  BM  (2 2 0 )(2 0 ) 2 2 y 2 x  2 2 0 0 2y x 2 2 2y x 2 2 ( 2y x 2 2)2 2( 0 0 )( 0 0 ) 2 0 0 y 2 x 2 2 (y 2)(x 2 2) 0 0 0 0 2y 2  x 2 84 2x 8y 2 2x y 2 0 0 0 0 0 0 (y 2)(x 2 2) 0 0 由点P在椭圆上,x 2  2 y 2 8 0 0 164 2x 8y 2 2x y 4 2(4 22x 2 2y x y ) 2 0 0 0 0  0 0 0 0 (y 2)(x 2 2) (y 2)(x 2 2) 0 0 0 0 4 2(y 2)(x 2 2)  0 0 4 2 (11分) (y 2)(x 2 2) 0 0 ②解:S  S S  S 4 2 PMN PAB 四边形ABNM PAB 即需求出S 最 大 值 即 可 PAB x  2y 2 2 AB:x 2y2 2 0,椭圆三象限的点P到AB的距离d  0 0 3 1 S  AB d  x  2y 2 2  x  2y 2 2 PAB 2 0 0 0 0 x 2  2 y 2  8 0 0 (x  2y ) 2 (x  2y ) 2 82x  2y 8 0 0 (x  2y ) 2 16 0 0 0 0 2 0 0  x  2y 2 2 42 2 此时x  2y ,P(2, 2) 0 0 0 0 S 最 大 值 为 4  2 2 PMN 面积最大值为42 2 (17分) PAB 注:此问也可用参数方程求解,酌情给分 19.【解】(I)当a 0时, f(x)ex x1  f /(x)ex 1 当x0时,ex 1, f /(x)0, f(x)单调递增 当x0时,ex 1, f /(x)0, f(x)单调递减  f(x) f(0)0 得证 (3分) (II)法一:由 f(x)ex ax2 x1, f /(x)ex 2ax1, f //(x)ex 2a 1 ①当a 时,x0,ex 1, f //(x)0, f /(x)单调递增, f / ( x )  f /(0)0, 2 1  f(x)单调递增, f(x) f(0)0,a 成立; 2 1 ②当a  时,当x(0,ln2a),f //(x)0, f /(x)单调递减,f / ( x )  f /(0)0, 2 1  f(x)单调递减, f(x) f(0)0,与条件矛盾,a  不成立; 2 {#{QQABZYIEggiIAAIAAAhCQQGCCACQkhAAASgOgAAMMAABSAFABAA=}#}1 综上所述:a (8分) 2 ex x1 ex x1 法二:由 f(x)0,即a 成立,设u(x) x2 x2 (x2)ex x2 u/(x) ,设k(x)(x2)ex x2,k/(x)(x1)ex 1 x3 k//(x) xex 0,k/(x)单调递增,k/ ( x )  k /(0)0,k(x)单调递增 k(x)k(0)0即u/(x)0,u(x)单调递增,u(x)u(0) ex  x  1 e x  1 e x 1 1 由洛必达法则lim lim  l i m  ,a (8分) x2 2x 2 2 2 x0 x0 x0 ex 1 xex  e x 2x1 (Ⅲ)g(x) 2lnx,则g/(x) x x2 设h(x) xex  e x 2x1,则h/ ( x )  x ex 2,又因h//(x)(x1)ex 0  h /(x) xex 2在(0,)单调递增 又h/ ( 0 )  h /(1)(2)(e2)0 2 x (0,1),使得h/(x )0,即ex 0  ① 0 0 x 0 且x(0,x ),h/(x)0,h(x)单调递减; x  ( x , 1 ) , h/(x)0,h(x)单调递增 0 0 2 h(x) h(x ) x ex 0 ex 0 2x 1,由①得h(x )3 2x h(0)0 min 0 0 0 0 x 0 0 3 1 3 又h(1)10,h( ) e2 20, 2 2 3 2x 1 x (1,),使得h(x )0,即xex 1 ex 1 2x 10,即ex 1  1 1 2 1 1 1 x 1 1 且x(0,x ),h(x)0,g(x)单调递减;x(x,),h(x)0,g(x)单调递增 1 1 ex 1 1 1 g(x)  g(x ) 2lnx  2lnx , min 1 x 1 x  1 1 1 1 3 x (1,),g(x ) g(1)e1 (13分) 1 2 1 1 再设(x) 2lnx,易证(x)在(0,)单调递减 x1 3 3 3 x (1,),(x )也即g(x )大于( )22ln 1 2 1 1 2 2 3 23 3 17 17 3 要证22ln  ,即证ln  ,又即证e40  2 20 2 40 2 1 由(II)问 ex 1x x 2, 2 17 17 1 17 4849 4800 3  e 40  1    ( ) 2    得证 (17分) 40 2 40 3200 3200 2 {#{QQABZYIEggiIAAIAAAhCQQGCCACQkhAAASgOgAAMMAABSAFABAA=}#}