当前位置:首页>文档>四川省成都市第七中学2024-2025学年高三上学期12月阶段性考试数学答案_2024-2025高三(6-6月题库)_2024年12月试卷_1222四川省成都市第七中学2024-2025学年高三上学期12月阶段性考试(全科)

四川省成都市第七中学2024-2025学年高三上学期12月阶段性考试数学答案_2024-2025高三(6-6月题库)_2024年12月试卷_1222四川省成都市第七中学2024-2025学年高三上学期12月阶段性考试(全科)

  • 2026-03-29 10:10:25 2026-02-18 08:37:28

文档预览

四川省成都市第七中学2024-2025学年高三上学期12月阶段性考试数学答案_2024-2025高三(6-6月题库)_2024年12月试卷_1222四川省成都市第七中学2024-2025学年高三上学期12月阶段性考试(全科)
四川省成都市第七中学2024-2025学年高三上学期12月阶段性考试数学答案_2024-2025高三(6-6月题库)_2024年12月试卷_1222四川省成都市第七中学2024-2025学年高三上学期12月阶段性考试(全科)
四川省成都市第七中学2024-2025学年高三上学期12月阶段性考试数学答案_2024-2025高三(6-6月题库)_2024年12月试卷_1222四川省成都市第七中学2024-2025学年高三上学期12月阶段性考试(全科)
四川省成都市第七中学2024-2025学年高三上学期12月阶段性考试数学答案_2024-2025高三(6-6月题库)_2024年12月试卷_1222四川省成都市第七中学2024-2025学年高三上学期12月阶段性考试(全科)
四川省成都市第七中学2024-2025学年高三上学期12月阶段性考试数学答案_2024-2025高三(6-6月题库)_2024年12月试卷_1222四川省成都市第七中学2024-2025学年高三上学期12月阶段性考试(全科)

文档信息

文档格式
pdf
文档大小
2.489 MB
文档页数
5 页
上传时间
2026-02-18 08:37:28

文档内容

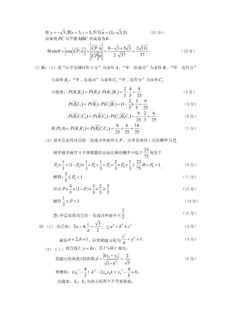
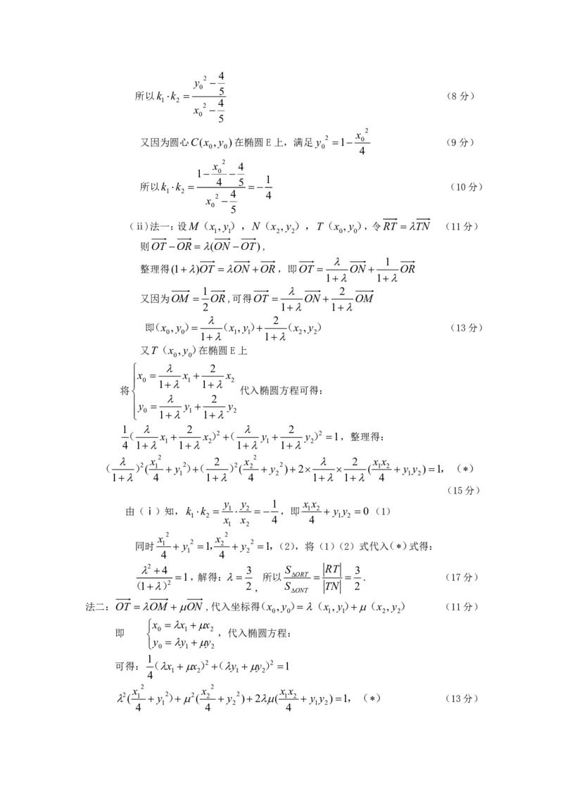
成都七中 2024~2025 学年度(上)12月阶段性考试答案 一、单项选择题: 二、多项选择题: 1 2 3 4 5 6 7 8 9 10 11 A C D B B B C D BC ABD ACD 三、填空题 2 2 12. 2 13. y2 2(x4) 14.a  或a e2 e 四、解答题: a2 b2 c2  2ab 2 15. (1)由余弦定理cosC    ,且C(0,), (3分) 2ab 2ab 2 3 所以C  . (6分) 4 (2)由正弦定理,c2bcosB即sinC 2sinBcosB sin2B 所以C 2B或C2B , (8分) 3 3 当C 2B时,C  ,B  ,此时BC ,不成立, (10分) 4 8  当C2B 时,此时A B  ,则a b1, (12分) 8 1 1 2 2 S  absinC  11  . (13分) ABC 2 2 2 4 16. (1)过点P、B分别向直线AC 作垂线,垂足分别为点O,E. (1分) 因为 AB 2, BC 2 3,所以AC 4, PO  BE  3,OE 2, (2分) 因为PB  POOEEB,POOE OEEB 0 2 2 2 2 所以 PB  PO  OE  EB 2POOE2OEEB2POEB 2 2 2  PO  OE  EB 2POEB (4分) 即103432POEB, 所以POEB 0,所以PO  EB (5分) 因为PO  AC,ACBE  E 所以PO 平面ABC, 因为PO平面PAC 所以平面PAC 平面ABC (7分) (2)如图:以(1)中点O为坐标原点建立空间直角坐标系Oxyz 3 3 则C(0,1,0),B( 3,2,0),P(0,0, 3),M(0, , ) (9分) 2 2 1 3 所以MB( 3, , ),BC ( 3,3,0),CP(0,1, 3)(11分) 2 2  1 3   nMB 0  3x y z 0 设平面MBC的法向量为n(x,y,z),则 ,即  2 2  nBC 0   3x3y 04 y 2  0 5 所以k k  (8分) 1 2 4 x 2  0 5 x 2 又因为圆心C(x ,y )在椭圆E上,满足 y 2 1 0 (9分) 0 0 0 4 x 2 4 1 0  4 5 1 所以k k   (10分) 1 2 x 2  4 4 0 5 (ⅱ)法一:设M(x ,y),N(x ,y),T(x ,y),令RT TN (11分) 1 1 2 2 0 0 则OT OR (ON OT),  1 整理得(1)OT ON OR,即OT  ON  OR 1 1 1  2 又因为OM  OR,可得OT  ON  OM 2 1 1  2 即(x ,y) (x ,y) (x ,y) (13分) 0 0 1 1 1 1 2 2 又T(x ,y)在椭圆E上 0 0   2 x  x  x   0 1 1 1 2 将 代入椭圆方程可得:  2  y  y  y   0 1 1 1 2 1  2  2 ( x  x)2 ( y  y)2 1,整理得: 4 1 1 1 2 1 1 1 2  x 2 2 x 2  2 x x ( )2( 1  y 2)( )2( 2  y 2)2  ( 1 2  y y )1,() 1 4 1 1 4 2 1 1 4 1 2 (15分) y y 1 x x 由(ⅰ)知,k k  1  2  ,即 1 2  y y 0(1) 1 2 x x 4 4 1 2 1 2 x 2 x 2 同时 1  y 2 1,2  y 2 1,(2),将(1)(2)式代入()式得: 4 1 4 2 2 4 3 S RT 3 1,解得: 所以 ORT   . (17分) (1)2 2, S TN 2 ONT 法二:OT OM ON ,代入坐标得(x ,y)(x ,y)(x ,y) (11分) 0 0 1 1 2 2 x x x 即  0 1 2 ,代入椭圆方程: y y y 0 1 2 1 可得: (x x)2 (y y)2 1 4 1 2 1 2 x 2 x 2 x x 2( 1  y 2)2( 2  y 2)2( 1 2  y y )1,() (13分) 4 1 4 2 4 1 2y y 1 x x 由(ⅰ)知,k k  1  2  ,即 1 2  y y 0(1) 1 2 x x 4 4 1 2 1 2 x 2 x 2 同时 1  y 2 1,2  y 2 1,(2),将(1)(2)式代入()式得:2 2 1 4 1 4 2 (15 分) 1 令RT tTN ,即:OT OR t(ON OT),又因为OM  OR 2 t 2 所以OT  ON  OM ,由2 2 1可得: 1t 1t t 2 3 S RT 3 ( )2 ( )2 1 ,解得t  所以 ORT   (17分) 1t 1t 2 S TN 2 ONT 19.解:(1)由已知定义域为(0,1)(1,) x1 1 lnx lnx1 f(x) x  x (1分) (lnx)2 (lnx)2 1 1 1 x1 令h(x)lnx1 ,则h(x)   x x x2 x2 当x(0,1)时,h(x)0,h(x)单调递减, 当x(1,)时,h(x)0,h(x)单调递增, (3分) 所以h(x)h(1)0 ,即 f(x)0 恒成立 (5分) 所以 f(x)在x(0,1)和x(1,)上分别单调递增 (注:如果学生答在(0,1)(1,)上单调递增亦可得分) ea n 1 (2) (ⅰ) 由已知ea n1  , (6分) a n 设h(x)ex x1 ,h(x)ex 1 ,x(,0)时,h(x)0,h(x)单调递减, x(0,,)时,h(x)0,h(x)单调递增,所以h(x)h(0)0 ex 1 故当x0时, 1, x ea 1 1 e1 又因为a 1,所以ea 2   1,则a 0,同理a 0,...a 0 1 a 1 2 3 n 1 (7 分) 设g(x)ex 1xex,则g(x)ex ex xex xex 当x(,0)时,g(x)0,g(x)单调递增, 当x(0,,)时,g(x)0,g(x)单调递减, 所以g(x) g(0)0,所以xex ex 1,所以a ea n ea n 1 n 因为a 0,所以ea n  ea n 1 ea n1,所以a a ,故  a  为递减数列(8分) n a n n1 n n 又a a ln(ea n 1)lna a , 设a  x,x(0,1], n1 n n n n 设F(x)ln(ex 1)lnxx,x(0,1] ex 1 1 1 则F(x)  1  0,所以函数F(x)单调递减, ex 1 x ex 1 x随着a 减小,从而a a 增大,又因为a a 0 ,所以 a a 减小 n n1 n n1 n n1 n   即 a a  a a 成立,从而 a 是差缩数列 (11分) n2 n1 n1 n n 2 (ⅱ)由(ⅰ)得0a a 1.下证a  a n1 n n1 3 n ea n 1 2 ea n 1 2 a 即证ln  a ,即证 e3 n ,令xea n,x(1,e] a 3 n a n n x1 2 1  2 即证  x3,亦即证x3 x 3 lnx0, (13分) lnx 1 2  令H(x) x3 x 3 lnx0,1 xe 1 1 2 则H(x) (1 )(3 x  2), 3x 3 x 3 x 1 2 因为1 xe ,所以1 0,3 x  23 x 20 3 x 3 x 1 1 2 即H(x) (1 )(3 x  2)0, 3x 3 x 3 x 所以H(x)在x(1,e]单调递减, 2 所以H(x) H(1)0成立,所以a  a ,nN (15分) n1 3 n 2 1( )2024 S a  2 a ...( 2 )2023a  3 3[1( 2 )2024]3,证毕. (17分) 2024 1 3 1 3 1 2 3 1 3