当前位置:首页>文档>辽东十一所重点高中联合教研体2024届高考适应性考试模拟试题-答案(1)_2024年4月_01按日期_6号_2024届新结构高考数学合集_新高考19题(九省联考模式)数学合集140套

辽东十一所重点高中联合教研体2024届高考适应性考试模拟试题-答案(1)_2024年4月_01按日期_6号_2024届新结构高考数学合集_新高考19题(九省联考模式)数学合集140套

  • 2026-05-10 04:07:28 2026-02-18 13:07:23

文档预览

辽东十一所重点高中联合教研体2024届高考适应性考试模拟试题-答案(1)_2024年4月_01按日期_6号_2024届新结构高考数学合集_新高考19题(九省联考模式)数学合集140套
辽东十一所重点高中联合教研体2024届高考适应性考试模拟试题-答案(1)_2024年4月_01按日期_6号_2024届新结构高考数学合集_新高考19题(九省联考模式)数学合集140套
辽东十一所重点高中联合教研体2024届高考适应性考试模拟试题-答案(1)_2024年4月_01按日期_6号_2024届新结构高考数学合集_新高考19题(九省联考模式)数学合集140套
辽东十一所重点高中联合教研体2024届高考适应性考试模拟试题-答案(1)_2024年4月_01按日期_6号_2024届新结构高考数学合集_新高考19题(九省联考模式)数学合集140套
辽东十一所重点高中联合教研体2024届高考适应性考试模拟试题-答案(1)_2024年4月_01按日期_6号_2024届新结构高考数学合集_新高考19题(九省联考模式)数学合集140套
辽东十一所重点高中联合教研体2024届高考适应性考试模拟试题-答案(1)_2024年4月_01按日期_6号_2024届新结构高考数学合集_新高考19题(九省联考模式)数学合集140套
辽东十一所重点高中联合教研体2024届高考适应性考试模拟试题-答案(1)_2024年4月_01按日期_6号_2024届新结构高考数学合集_新高考19题(九省联考模式)数学合集140套
辽东十一所重点高中联合教研体2024届高考适应性考试模拟试题-答案(1)_2024年4月_01按日期_6号_2024届新结构高考数学合集_新高考19题(九省联考模式)数学合集140套
辽东十一所重点高中联合教研体2024届高考适应性考试模拟试题-答案(1)_2024年4月_01按日期_6号_2024届新结构高考数学合集_新高考19题(九省联考模式)数学合集140套

文档信息

文档格式
pdf
文档大小
0.288 MB
文档页数
9 页
上传时间
2026-02-18 13:07:23

文档内容

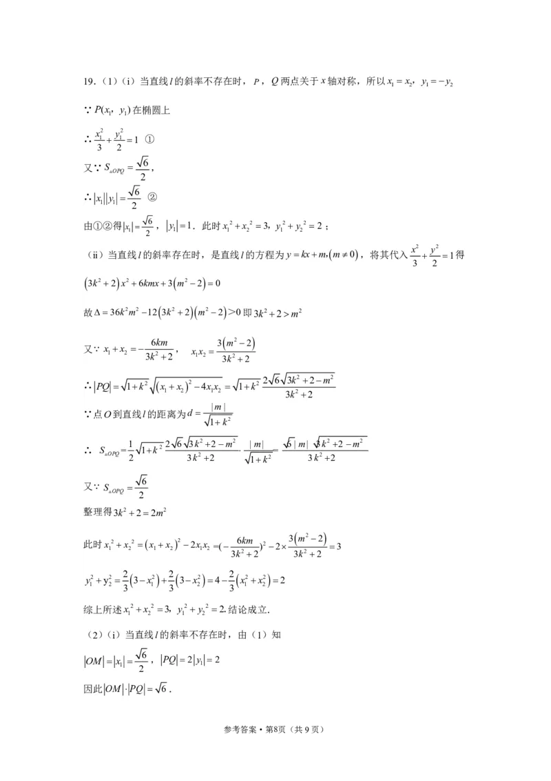
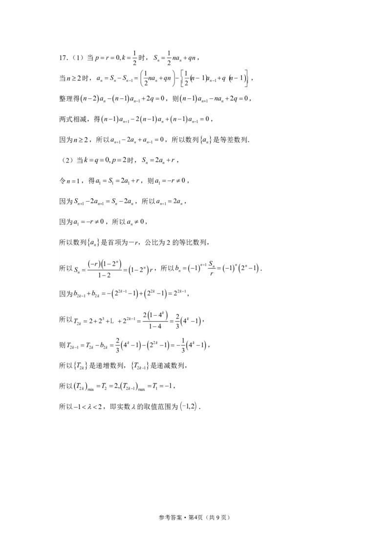
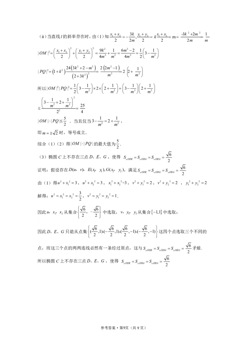
辽东十一所重点高中联合教研体 2024 届高考适应性考试模 拟试题 数 学·参考答案 一、单选题:1.C 2.A 3.C 4.B 5.C 6.B 7.D 8.D 二、多选题:9.CD 10.ACD 11.CD 23π 3 三、填空题:12.14 13. 14. /0.1875 6 16 四、解答题: 15.(1)由题意可得:甲不购买一盒草莓情况为该盒有1个烂果且随机检查其中4个时抽到 这个烂果, C3 甲购买一盒草莓的概率P10.2 19 0.96. C4 20 (2)用“√”表示购买,“╳”表示不购买,乙第5周购买有如下可能: 第1周 第2周 第3周 第4周 第5周 √ √ √ √ √ √ ╳ √ √ √ √ √ ╳ √ √ √ ╳ √ ╳ √ √ √ √ ╳ √ 故乙第5周网购一盒草莓的概率 P0.840.20.80.80.80.20.80.20.20.80.80.20.8336. 参考答案·第1页(共9页) {#{QQABQQAUggAAAAJAAAhCQwlaCkIQkACCAKoOwAAEsAAAyQFABAA=}#}16.(1)解法一 如图,延长DE与CC 的延长线交于点G, 1 1 1 1 1 因为AD AA  CC ,E为AC 的中点,所以GC  AD CC  GC, 1 3 1 3 1 1 1 1 1 3 1 4 1 连接GB与BC 交于点F ,则FC  BC , 1 1 1 4 1 1 1 取BC 的中点H,连接AH,EF ,则FC  CH ,故EF//AH , 1 1 1 1 2 1 1 因为AB AC,所以AH BC ,所以EF  BC , 1 1 1 1 1 又EF 平面ABC ,平面ABC 平面BCCB ,平面ABC Ç 平面BCCB BC , 1 1 1 1 1 1 1 1 1 1 1 1 1 1 1 所以EF平面BCCB , 1 1 因为EF 平面BDE,所以平面BDE 平面BCCB . 1 1 解法二 如图,延长ED与CA的延长线交于点G,连接BG, 1 因为AD AA,E为AC 的中点,所以GA2AE AB AC, 1 3 1 1 1 1 参考答案·第2页(共9页) {#{QQABQQAUggAAAAJAAAhCQwlaCkIQkACCAKoOwAAEsAAAyQFABAA=}#}所以BC BG, 又BG平面ABC,平面ABC平面BCCB ,平面ABC平面BCCB BC, 1 1 1 1 所以BG平面BCCB , 1 1 因为BG平面BDE,所以平面BDE 平面BCCB . 1 1 (2)由AB AC 2,BC 2 2  2AB,易得ABAC,则AB,AC,AA两两垂直, 1 以A为坐标原点,AB,AC,AA所在直线分别为x轴、y轴、z轴建立如图所示的空间直角坐 1 标系,  4 则B2,0,0,D0,0, ,A0,0,2 ,E 0,1,2,  3 1     4 所以BE 2,1,2,AE  0,1,0,BD 2,0, , 1  3     mBE 2x y 2z 0 设平面BEA 1 的法向量为mx 1 ,y 1 ,z 1 ,则 m    A  E   y  1 0 1 1 , 1 1  取z 1,得m1,0,1, 1  设平面BED的法向量为nx ,y ,z , 2 2 2   nBE2x  y 2z 0  2 2 2  则  4 ,取z 2 3,得n2,2,3, nBD2x  z 0  2 3 2   m  n  120213 5 34 则cosm,n     , mn 120212 222232 34 由题意可得二面角DBEA 为锐二面角, 1 5 34 所以二面角DBEA 的余弦值为 . 1 34 参考答案·第3页(共9页) {#{QQABQQAUggAAAAJAAAhCQwlaCkIQkACCAKoOwAAEsAAAyQFABAA=}#}1 1 17.(1)当 pr 0,k  时,S  na qn, 2 n 2 n 1  1  当n2时,a n S n S n1   2 na n qn     2 n 1a n1 q n 1   , 整理得n2a n1a 2q0,则n1a na 2q0, n n1 n1 n 两式相减,得n1a 2n1a n1a 0, n1 n n1 因为n2,所以a 2a a 0,所以数列a 是等差数列. n1 n n1 n (2)当kq0,p2时,S 2a r, n n 令n1,得a S 2a r,则a r0, 1 1 1 1 因为S 2a S 2a ,所以a 2a , n1 n1 n n n1 n 因为a r0,所以a 0, 1 n 所以数列a 是首项为-r,公比为2的等比数列, n 所以 S  r 12n   12n r ,所以b 1n1 S n 1n 2n1  . n 12 n r 因为b b   22k11    22k 1  22k1, 2k1 2k 所以 T 223L 22k1  2  14k  2 4k 1 , 2k 14 3 则T T b  2 4k 1    22k 1   1 4k 1  , 2k1 2k 2k 3 3 所以T 是递增数列,T 是递减数列, 2k 2k1 所以T  T 2,T  T 1, 2k min 2 2k1 max 1 所以12,即实数的取值范围为 (-1,2 ) . 参考答案·第4页(共9页) {#{QQABQQAUggAAAAJAAAhCQwlaCkIQkACCAKoOwAAEsAAAyQFABAA=}#}f x ax ex2 ax axlnaxax axlnax1 18.(1)gx ex ex ,gx  , x x x x2 x2 因为ax 0,x2 0,gx定义域为,0U 0, 1 1 当a 1时,lna0,解gx0,得x ,解gx0,得0 x ,x0 lna lna 1 1 当0a1时,lna0,解gx0,得x ,解gx0,得0 x ,x0 lna lna  1   1  综上, 当a 1时, gx增区间为 ,,gx减区间为,0,0, , lna   lna  1   1  当0a1时, gx增区间为, ,gx减区间为0,+, ,0,  lna lna  (2)1)因为 f xaxex2,a1且 f x存在三个零点x,x ,x . 1 2 3 所以ax ex2=0有3个根 当x0时, f 1a1e<0,f 0a0 0, fxaxlna2ex0, f x在,0上是单调递增的,由零点存在定理,方程必有一个负根. 12lnx 当x0,xlna12lnx,即lna 有两个根, x 12lnx 12lnx 令tx ,可转化为ylna与tx 有两个交点 x x 212lnx 12lnx tx  , x2 x2 可得x  0, e  ,tx0,tx是单调递增的, 可得x  e,  ,tx0,tx是单调递减的, 其中t   1   0,当x e,tx0,tx t  e   2  e max e 2 所以可得0lna , e 2 即得 . 1ae e 2)因为 f xaxex2,a1且 f x存在三个零点x,x ,x . 1 2 3 设x  x  x ,ax1=ex2,ax2=ex 2,ax3=ex 2,易知其中x 0 ,0