当前位置:首页>文档>精品解析:河南省普高联考2023-2024学年高三上学期测评(三)地理试题(原卷版)(1)_2023年11月_0211月合集_2024届河南省普高联考高三上学期测评(三)

精品解析:河南省普高联考2023-2024学年高三上学期测评(三)地理试题(原卷版)(1)_2023年11月_0211月合集_2024届河南省普高联考高三上学期测评(三)

  • 2026-05-17 19:09:52 2026-02-18 14:23:29

文档预览

精品解析:河南省普高联考2023-2024学年高三上学期测评(三)地理试题(原卷版)(1)_2023年11月_0211月合集_2024届河南省普高联考高三上学期测评(三)
精品解析:河南省普高联考2023-2024学年高三上学期测评(三)地理试题(原卷版)(1)_2023年11月_0211月合集_2024届河南省普高联考高三上学期测评(三)
精品解析:河南省普高联考2023-2024学年高三上学期测评(三)地理试题(原卷版)(1)_2023年11月_0211月合集_2024届河南省普高联考高三上学期测评(三)
精品解析:河南省普高联考2023-2024学年高三上学期测评(三)地理试题(原卷版)(1)_2023年11月_0211月合集_2024届河南省普高联考高三上学期测评(三)
精品解析:河南省普高联考2023-2024学年高三上学期测评(三)地理试题(原卷版)(1)_2023年11月_0211月合集_2024届河南省普高联考高三上学期测评(三)
精品解析:河南省普高联考2023-2024学年高三上学期测评(三)地理试题(原卷版)(1)_2023年11月_0211月合集_2024届河南省普高联考高三上学期测评(三)
精品解析:河南省普高联考2023-2024学年高三上学期测评(三)地理试题(原卷版)(1)_2023年11月_0211月合集_2024届河南省普高联考高三上学期测评(三)
精品解析:河南省普高联考2023-2024学年高三上学期测评(三)地理试题(原卷版)(1)_2023年11月_0211月合集_2024届河南省普高联考高三上学期测评(三)
精品解析:河南省普高联考2023-2024学年高三上学期测评(三)地理试题(原卷版)(1)_2023年11月_0211月合集_2024届河南省普高联考高三上学期测评(三)

文档信息

文档格式
docx
文档大小
3.073 MB
文档页数
9 页
上传时间
2026-02-18 14:23:29

文档内容

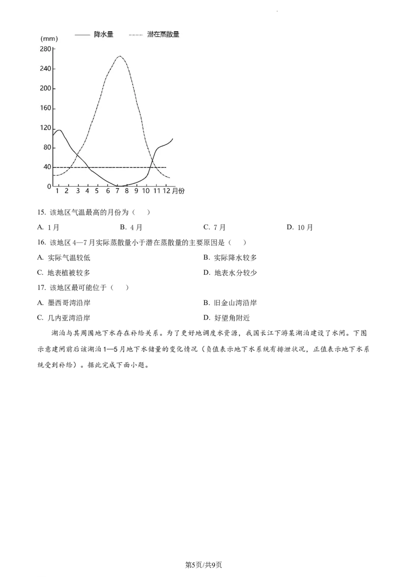
普高联考 2023—2024 学年高三测评(三) 地理 注意事项: 1.答卷前,考生务必将自己的姓名、准考证号填写在答题卡和试卷指定位置上。 2.回答选择题时,选出每小题答案后,用铅笔把答题卡上对应题目的答案标号涂黑。如需改 动,用橡皮擦干净后,再选涂其他答案标号。回答非选择题时,将答案写在答题卡上,写在 本试卷上无效。 3.考试结束后,将本试卷和答题卡一并交回。 一、选择题:本大题共23小题,每小题2分,共46分。在每小题给出的四个选项中,只有 一项是最符合题目要求的。 人口老龄化是指65岁及以上人口占总人口比重≥7%,当达到10%时,为严重老龄化。下图示意某年我 国部分省级行政区城镇和农村65岁及以上人口各自占总人口比重。读图完成下面小题。 1. 川渝地区出现图示人口现状的主要原因是( ) A. 经济落后,青壮年迁出 B. 严格的计划生育政策 C. 环境优美,人均寿命长 D. 产业结构的转型升级 2. 为改变川渝地区这一人口现状,下列措施合理的是( ) A. 限制人口流动 B. 城乡统筹融合发展 C. 积极鼓励生育 D. 支持农业人口回流 布隆迪是世界最不发达的地区之一,农业出口以咖啡等热带农产品为主。2021年5月,中国援助布隆 迪高级农业专家在卡扬扎省的苹果引种实验取得成功。未来,苹果有可能成为布隆迪经济新的增长点和农 业出口创汇的“突破口”。下图示意卡扬扎省位置和布隆迪地形。完成下面小题。 第1页/共9页 学科网(北京)股份有限公司3. 卡扬扎省能够成功引种苹果主要得益于( ) A. 海拔高,气候适宜 B. 人口多,劳动力充足 C. 近边境,市场广阔 D. 土层厚,土壤肥沃 4. 推广苹果种植对布隆迪的主要影响是( ) 的 A. 缩小咖啡 种植规模 B. 加速人口向乡村地区流动 C. 提高农业机械化水平 D. 提升农产品的市场适应性 5. 若要使苹果成为农业出口创汇的“突破口”,布隆迪应重点( ) ①增加苹果产量②提升苹果品质③增强外运能力④提高销售价格 A. ①② B. ②③ C. ①④ D. ③④ 江苏省丹阳市被誉为中国眼镜之都,是世界最大的眼镜镜片生产基地。丹阳眼镜业起源于20世纪60 年代。2000年后,中国(丹阳)眼镜城(包括品牌区、精品区、配件和仪器区、办公展示区等)相继建成 开业并不断扩大规模,形成中国(丹阳)眼镜城服务业集聚区,眼镜产业快速发展,形成从设计、生产到 销售的全产业链布局。目前,丹阳市镜片产量占全国总量的3/4、全球总量的一半。完成下面小题。 6. 丹阳眼镜全产业链布局快速形成的主要原因有( ) ①眼镜产业生产链短②眼镜产业附加值低 ③当地有眼镜创新技术④当地有眼镜产业基础 A. ①③ B. ①④ C. ②③ D. ②④ 的 7. 丹阳眼镜产业发展过程中眼镜城起到 主要作用是( ) ①完善基础设施②加强信息交流③增强技术协作④降低外运费用 A. ①② B. ②③ C. ①④ D. ③④ 第2页/共9页 学科网(北京)股份有限公司8. 丹阳眼镜产业要实现长期稳定发展应主要致力于( ) A. 完善交通,提高效率 B. 电商销售,关闭实体店 C. 技术创新,打造品牌 D. 款式创新,提高价格 为破解物流配送“最后一公里”瓶颈,许多地区使用了快递自提柜。图1为目前长沙某区域快递自提 柜与需求点分布图,图2为该区域自提柜改造方案示意图,下表示意该区域各居民住宅区人口数量。数据 显示,该区域内居民平均每人快递需求量约为0.2件/天。完成下面小题。 人口数量 居住住宅区 (人) 麻园湾社区 935 嘉熙中心 1429 地质家园 2057 地泰御景苑 2929 合计 7350 9. 据图1判断,自提柜存在显著供需矛盾的居民住宅区是( ) A. 麻园湾社区 B. 嘉熙中心 . C 地泰御璟苑 D. 地质家园 10. 下列时间该区域自提柜存在显著供需矛盾的是( ) A. 春节期间 B. 五一劳动节期间 C. 重阳节期间 D. 双十一购物节期间 11. 与目前自提柜相比,改造方案的主要优点是该区域( ) A. 自提柜的使用率提升 B. 物流成本显著下降 C. 顾客满意度显著提高 D. 物流需求显著下降 安徽省阜阳市承东启西、连接南北,是长三角城市群和中原城市群联动的“双桥头堡”。阜阳早期城 第3页/共9页 学科网(北京)股份有限公司市规模较小,河运历史悠久;1958年后,颍河水闸落成,水运起点下移至颍河闸以南;此后阜阳市公路建 设提速,国道G105阜阳段建成通车;1972年京九铁路通车,途经阜阳,设置阜阳火车站。下图为阜阳市 地图,图中虚线圈出的甲、乙、丙三个区域为不同时期阜阳市用地扩张的范围。完成下面小题。 12. 图中甲、乙、丙三个区域形成的先后顺序是( ) A. 甲、乙、丙 B. 甲、丙、乙 C. 乙、丙、甲 D. 乙、甲、丙 的 13. 甲区域形成时期,人口集聚、用地扩张 主要原因是( ) A. 气候温暖宜人 B. 地形平坦开阔 C. 河流水运便利 D. 土壤肥沃深厚 14. 导致阜阳市城市空间形态变化的主要原因是( ) A. 交通方式和布局的变化 B. 人口数量与分布的变化 C. 行政中心的发展和变化 D. 旅游资源的开发和利用 潜在蒸散量是指在一定气象条件下水分供应不受限制时,某一固定下垫面可能达到的最大蒸发蒸腾量。 下图为世界某区域降水量与土壤潜在蒸散量逐月变化示意图。完成下面小题。 第4页/共9页 学科网(北京)股份有限公司15. 该地区气温最高的月份为( ) A. 1月 B. 4月 C. 7月 D. 10月 16. 该地区4—7月实际蒸散量小于潜在蒸散量的主要原因是( ) A. 实际气温较低 B. 实际降水较多 C. 地表植被较多 D. 地表水分较少 17. 该地区最可能位于( ) A. 墨西哥湾沿岸 B. 旧金山湾沿岸 C. 几内亚湾沿岸 D. 好望角附近 湖泊与其周围地下水存在补给关系。为了更好地调度水资源,我国长江下游某湖泊建设了水闸。下图 示意建闸前后该湖泊1—5月地下水储量的变化情况(负值表示地下水系统有排泄状况,正值表示地下水系 统受到补给)。据此完成下面小题。 第5页/共9页 学科网(北京)股份有限公司18. 建闸前,从枯水期到涨水期该湖区地下水储量变化主要是由于流域内( ) A. 降水总量增加 B. 生活用水减少 C. 植被涵养水源 D. 地下冻土融化 19. 该湖区水闸的主要作用最可能是( ) A. 降低枯水期湖水位 B. 降低涨水期湖水位 C. 提高枯水期湖水位 D. 提高涨水期湖水位 20. 建闸后,湖区地理环境最可能出现的变化是( ) . A 芦苇向海拔高处移动 B. 越冬候鸟大量减少 C. 土地盐碱化面积减小 D. 周围气候更加干旱 绢蝶是地球上栖息海拔最高的一类蝴蝶,被誉为“雪线上飞舞的精灵”。研究发现,在距今1700万年 —1500万年,绢蝶生活在青藏高原与蒙古高原,距今约1390万年,绢蝶开始向外扩散,现今在我国主要 分布在四川、甘肃、青海、西藏、新疆等地的高海拔地区。完成下面小题。 21. 推测距今1700万年—1500万年绢蝶祖先生活在青藏高原与蒙古高原的主导因素是( ) A. 湿度 B. 土壤 C. 气温 D. 植被 22. 1500万年以来,绢蝶的演化变迁期反映出气候( ) A. 逐渐变暖 B. 逐渐变冷 C. 先变暖后变冷 D. 先变冷后变暖 23. 现今绢蝶的分布( ) A. 纬度跨度扩大 B. 纬度跨度不变 C. 海拔下限不变 D. 海拔下限升高 二、非选择题:本大题共4小题,共54分。 24. 阅读图文材料,完成下列问题。 盐池县位于宁夏回族自治区东部,历史上是中国农耕民族与游牧民族的交界地带。该县由东南至西北 第6页/共9页 学科网(北京)股份有限公司为广阔的干草原和荒漠草原,以盛产“咸盐、皮毛、甜甘草”著称。小明同学曾在2019年暑假去宁夏盐池 古长城遗址寻古,当时古长城夯土遗迹一片荒芜,周围尽显荒凉。2023年暑假,小明又去该遗址,他发现 该遗迹周围郁郁葱葱,要塞遗址内部也长满了荒草。 (1)推测2019—2023年当地自然景观发生变化的主要原因。 离开盐池后,小明乘车向银川方向前进,他看到天上的云千奇百怪、千变万化,煞是好看,且在前往 银川的途中天空下起了雷阵雨。 (2)说出雷阵雨最有可能出现的时间,并分析原因。 3小时后,小明到达银川郊外,此时雨停了,天空出现一条硕大的彩虹,小明想到之前学到的光学知 识“当阳光照射到空中的水滴,光线就会被分散成多种颜色,然后在水滴内以不同的角度折射,接着再以 多种角度进行反射,最终就会形成我们看到的彩虹”。 (3)请以小明所处的位置推断彩虹的方位,并说明理由。 25. 阅读图文材料,完成下列问题。 氢能被视为21世纪最具发展潜力的清洁能源,在生产、生活、交通等领域有着越来越广泛的应用。氢 制备方式多样,最具潜力的一种是“绿氢”,它是利用可再生能源转化为电能,将电能通过电解水制氢设 备转化成氢能。 氢气的密度极小,因此将其液化才能保证更大的运送量。氢气易燃易爆,储存和长距离运输难度大。 西氢东送管道是我国首条跨省区、大规模、长距离的纯氢输送管道,起点位于内蒙古乌兰察布市,终点位 于北京市的燕山石化。该管道将会经过内蒙古、河北、北京等3省(市)9个县区,全长400多千米,一 期运力10万吨/年,还预留了50万吨/年的远期提升潜力,沿线地区预留了氢能的接入端口。 (1)简述内蒙古地区发展“绿氢”产业的优势条件。 第7页/共9页 学科网(北京)股份有限公司(2)说出西氢东送管道运输布局的一般原则。 (3)简述西氢东送工程对我国实现“碳达峰”和“碳中和”的意义。 26. 阅读图文材料,完成下列问题。 韩江为潮汕平原最大河流,其入海口处发育了特殊的沙垅地貌(图1)。移民先后到此定居,将村落 建于沙垅之上,为抵御频发的风灾,当地居民在村落布置了防风林。在滨海沙垅地貌上进行土地开发,历 史上曾出现过水坦利渔、草坦宜织(种植咸草编席)、围田促耕等农业发展方式。沙垅顶部的土壤为粒径 较大的沙田,而平原处的土壤则为粒径较小的泥田。沙垅—鴻湖平原的发育过程可分为三个阶段(图 2)。 第8页/共9页 学科网(北京)股份有限公司(1)分析沙垅顶部和平原土壤差异的原因。 (2)根据图2,若在该沙垅地貌区进行水稻种植,请为大规模水稻种植选择合适部位,并说明原因。 (3)判断当地居民在村落布置防风林的方位,并说明理由。 第9页/共9页 学科网(北京)股份有限公司