当前位置:首页>文档>第三单元测试卷_小学1-6年级全部试卷_数学_六年级_3-11-3、小学六年级数学上册_3-11-3-2、练习题、作业、试题、试卷_青岛版_单元测试卷

第三单元测试卷_小学1-6年级全部试卷_数学_六年级_3-11-3、小学六年级数学上册_3-11-3-2、练习题、作业、试题、试卷_青岛版_单元测试卷

  • 2026-05-14 19:56:29 2026-02-20 22:35:50

文档预览

第三单元测试卷_小学1-6年级全部试卷_数学_六年级_3-11-3、小学六年级数学上册_3-11-3-2、练习题、作业、试题、试卷_青岛版_单元测试卷
第三单元测试卷_小学1-6年级全部试卷_数学_六年级_3-11-3、小学六年级数学上册_3-11-3-2、练习题、作业、试题、试卷_青岛版_单元测试卷
第三单元测试卷_小学1-6年级全部试卷_数学_六年级_3-11-3、小学六年级数学上册_3-11-3-2、练习题、作业、试题、试卷_青岛版_单元测试卷
第三单元测试卷_小学1-6年级全部试卷_数学_六年级_3-11-3、小学六年级数学上册_3-11-3-2、练习题、作业、试题、试卷_青岛版_单元测试卷
第三单元测试卷_小学1-6年级全部试卷_数学_六年级_3-11-3、小学六年级数学上册_3-11-3-2、练习题、作业、试题、试卷_青岛版_单元测试卷

文档信息

文档格式
doc
文档大小
0.169 MB
文档页数
5 页
上传时间
2026-02-20 22:35:50

文档内容

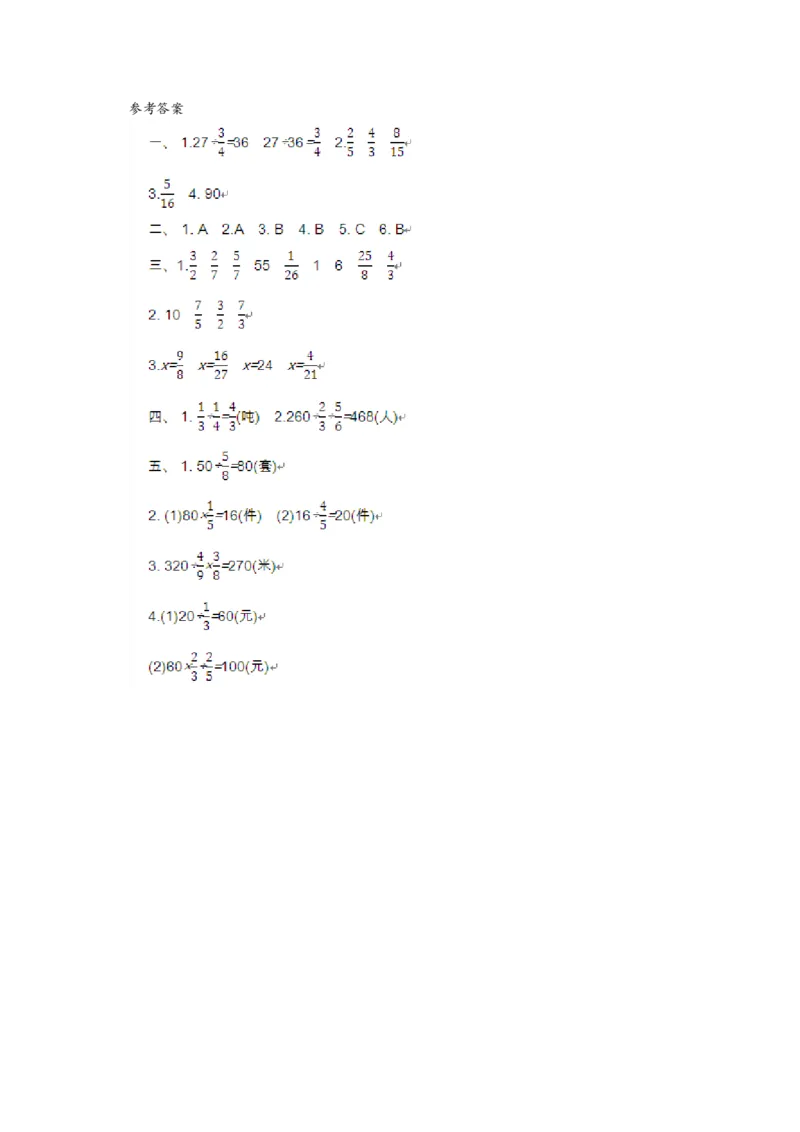
第三单元测试卷参考答案