当前位置:首页>文档>第六单元测试卷(二)_小学1-6年级全部试卷_数学_六年级_3-11-3、小学六年级数学上册_3-11-3-2、练习题、作业、试题、试卷_青岛版_单元测试卷

第六单元测试卷(二)_小学1-6年级全部试卷_数学_六年级_3-11-3、小学六年级数学上册_3-11-3-2、练习题、作业、试题、试卷_青岛版_单元测试卷

  • 2026-03-23 01:38:36 2026-02-20 23:43:05

文档预览

第六单元测试卷(二)_小学1-6年级全部试卷_数学_六年级_3-11-3、小学六年级数学上册_3-11-3-2、练习题、作业、试题、试卷_青岛版_单元测试卷
第六单元测试卷(二)_小学1-6年级全部试卷_数学_六年级_3-11-3、小学六年级数学上册_3-11-3-2、练习题、作业、试题、试卷_青岛版_单元测试卷
第六单元测试卷(二)_小学1-6年级全部试卷_数学_六年级_3-11-3、小学六年级数学上册_3-11-3-2、练习题、作业、试题、试卷_青岛版_单元测试卷
第六单元测试卷(二)_小学1-6年级全部试卷_数学_六年级_3-11-3、小学六年级数学上册_3-11-3-2、练习题、作业、试题、试卷_青岛版_单元测试卷

文档信息

文档格式
doc
文档大小
0.173 MB
文档页数
4 页
上传时间
2026-02-20 23:43:05

文档内容

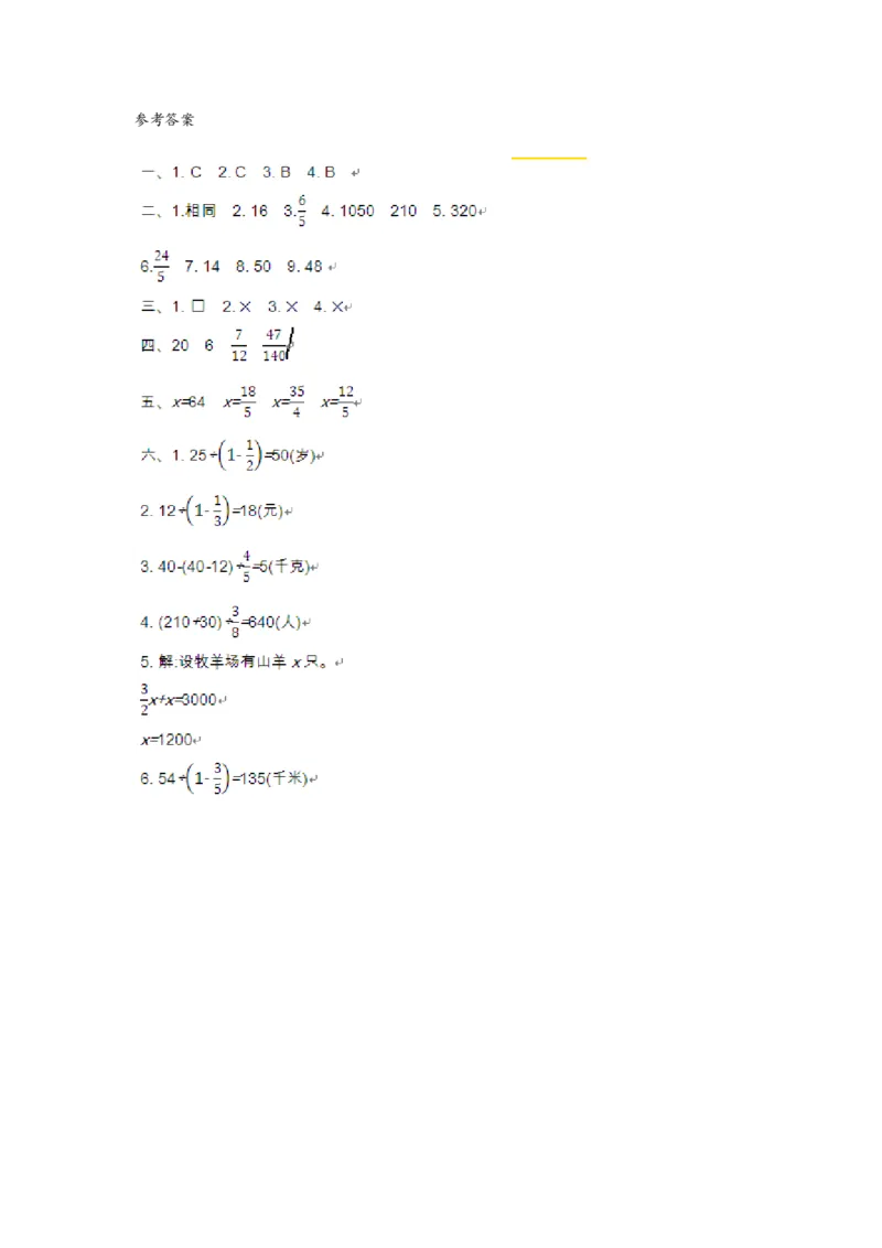
第六单元测试卷(二)参考答案