当前位置:首页>文档>2025年中考数学几何模型综合训练(通用版)专题22全等与相似模型之对角互补模型解读与提分精练(教师版)_02中考总复习(2026版更新中)_02-数学-中考总复习_2025中考复习资料

2025年中考数学几何模型综合训练(通用版)专题22全等与相似模型之对角互补模型解读与提分精练(教师版)_02中考总复习(2026版更新中)_02-数学-中考总复习_2025中考复习资料

  • 2026-03-01 08:31:02 2026-03-01 08:23:39

文档预览

2025年中考数学几何模型综合训练(通用版)专题22全等与相似模型之对角互补模型解读与提分精练(教师版)_02中考总复习(2026版更新中)_02-数学-中考总复习_2025中考复习资料
2025年中考数学几何模型综合训练(通用版)专题22全等与相似模型之对角互补模型解读与提分精练(教师版)_02中考总复习(2026版更新中)_02-数学-中考总复习_2025中考复习资料
2025年中考数学几何模型综合训练(通用版)专题22全等与相似模型之对角互补模型解读与提分精练(教师版)_02中考总复习(2026版更新中)_02-数学-中考总复习_2025中考复习资料
2025年中考数学几何模型综合训练(通用版)专题22全等与相似模型之对角互补模型解读与提分精练(教师版)_02中考总复习(2026版更新中)_02-数学-中考总复习_2025中考复习资料
2025年中考数学几何模型综合训练(通用版)专题22全等与相似模型之对角互补模型解读与提分精练(教师版)_02中考总复习(2026版更新中)_02-数学-中考总复习_2025中考复习资料
2025年中考数学几何模型综合训练(通用版)专题22全等与相似模型之对角互补模型解读与提分精练(教师版)_02中考总复习(2026版更新中)_02-数学-中考总复习_2025中考复习资料
2025年中考数学几何模型综合训练(通用版)专题22全等与相似模型之对角互补模型解读与提分精练(教师版)_02中考总复习(2026版更新中)_02-数学-中考总复习_2025中考复习资料
2025年中考数学几何模型综合训练(通用版)专题22全等与相似模型之对角互补模型解读与提分精练(教师版)_02中考总复习(2026版更新中)_02-数学-中考总复习_2025中考复习资料
2025年中考数学几何模型综合训练(通用版)专题22全等与相似模型之对角互补模型解读与提分精练(教师版)_02中考总复习(2026版更新中)_02-数学-中考总复习_2025中考复习资料
2025年中考数学几何模型综合训练(通用版)专题22全等与相似模型之对角互补模型解读与提分精练(教师版)_02中考总复习(2026版更新中)_02-数学-中考总复习_2025中考复习资料
2025年中考数学几何模型综合训练(通用版)专题22全等与相似模型之对角互补模型解读与提分精练(教师版)_02中考总复习(2026版更新中)_02-数学-中考总复习_2025中考复习资料
2025年中考数学几何模型综合训练(通用版)专题22全等与相似模型之对角互补模型解读与提分精练(教师版)_02中考总复习(2026版更新中)_02-数学-中考总复习_2025中考复习资料
2025年中考数学几何模型综合训练(通用版)专题22全等与相似模型之对角互补模型解读与提分精练(教师版)_02中考总复习(2026版更新中)_02-数学-中考总复习_2025中考复习资料
2025年中考数学几何模型综合训练(通用版)专题22全等与相似模型之对角互补模型解读与提分精练(教师版)_02中考总复习(2026版更新中)_02-数学-中考总复习_2025中考复习资料
2025年中考数学几何模型综合训练(通用版)专题22全等与相似模型之对角互补模型解读与提分精练(教师版)_02中考总复习(2026版更新中)_02-数学-中考总复习_2025中考复习资料
2025年中考数学几何模型综合训练(通用版)专题22全等与相似模型之对角互补模型解读与提分精练(教师版)_02中考总复习(2026版更新中)_02-数学-中考总复习_2025中考复习资料
2025年中考数学几何模型综合训练(通用版)专题22全等与相似模型之对角互补模型解读与提分精练(教师版)_02中考总复习(2026版更新中)_02-数学-中考总复习_2025中考复习资料
2025年中考数学几何模型综合训练(通用版)专题22全等与相似模型之对角互补模型解读与提分精练(教师版)_02中考总复习(2026版更新中)_02-数学-中考总复习_2025中考复习资料
2025年中考数学几何模型综合训练(通用版)专题22全等与相似模型之对角互补模型解读与提分精练(教师版)_02中考总复习(2026版更新中)_02-数学-中考总复习_2025中考复习资料
2025年中考数学几何模型综合训练(通用版)专题22全等与相似模型之对角互补模型解读与提分精练(教师版)_02中考总复习(2026版更新中)_02-数学-中考总复习_2025中考复习资料
2025年中考数学几何模型综合训练(通用版)专题22全等与相似模型之对角互补模型解读与提分精练(教师版)_02中考总复习(2026版更新中)_02-数学-中考总复习_2025中考复习资料
2025年中考数学几何模型综合训练(通用版)专题22全等与相似模型之对角互补模型解读与提分精练(教师版)_02中考总复习(2026版更新中)_02-数学-中考总复习_2025中考复习资料
2025年中考数学几何模型综合训练(通用版)专题22全等与相似模型之对角互补模型解读与提分精练(教师版)_02中考总复习(2026版更新中)_02-数学-中考总复习_2025中考复习资料
2025年中考数学几何模型综合训练(通用版)专题22全等与相似模型之对角互补模型解读与提分精练(教师版)_02中考总复习(2026版更新中)_02-数学-中考总复习_2025中考复习资料
2025年中考数学几何模型综合训练(通用版)专题22全等与相似模型之对角互补模型解读与提分精练(教师版)_02中考总复习(2026版更新中)_02-数学-中考总复习_2025中考复习资料
2025年中考数学几何模型综合训练(通用版)专题22全等与相似模型之对角互补模型解读与提分精练(教师版)_02中考总复习(2026版更新中)_02-数学-中考总复习_2025中考复习资料
2025年中考数学几何模型综合训练(通用版)专题22全等与相似模型之对角互补模型解读与提分精练(教师版)_02中考总复习(2026版更新中)_02-数学-中考总复习_2025中考复习资料
2025年中考数学几何模型综合训练(通用版)专题22全等与相似模型之对角互补模型解读与提分精练(教师版)_02中考总复习(2026版更新中)_02-数学-中考总复习_2025中考复习资料
2025年中考数学几何模型综合训练(通用版)专题22全等与相似模型之对角互补模型解读与提分精练(教师版)_02中考总复习(2026版更新中)_02-数学-中考总复习_2025中考复习资料
2025年中考数学几何模型综合训练(通用版)专题22全等与相似模型之对角互补模型解读与提分精练(教师版)_02中考总复习(2026版更新中)_02-数学-中考总复习_2025中考复习资料
2025年中考数学几何模型综合训练(通用版)专题22全等与相似模型之对角互补模型解读与提分精练(教师版)_02中考总复习(2026版更新中)_02-数学-中考总复习_2025中考复习资料
2025年中考数学几何模型综合训练(通用版)专题22全等与相似模型之对角互补模型解读与提分精练(教师版)_02中考总复习(2026版更新中)_02-数学-中考总复习_2025中考复习资料
2025年中考数学几何模型综合训练(通用版)专题22全等与相似模型之对角互补模型解读与提分精练(教师版)_02中考总复习(2026版更新中)_02-数学-中考总复习_2025中考复习资料
2025年中考数学几何模型综合训练(通用版)专题22全等与相似模型之对角互补模型解读与提分精练(教师版)_02中考总复习(2026版更新中)_02-数学-中考总复习_2025中考复习资料
2025年中考数学几何模型综合训练(通用版)专题22全等与相似模型之对角互补模型解读与提分精练(教师版)_02中考总复习(2026版更新中)_02-数学-中考总复习_2025中考复习资料
2025年中考数学几何模型综合训练(通用版)专题22全等与相似模型之对角互补模型解读与提分精练(教师版)_02中考总复习(2026版更新中)_02-数学-中考总复习_2025中考复习资料
2025年中考数学几何模型综合训练(通用版)专题22全等与相似模型之对角互补模型解读与提分精练(教师版)_02中考总复习(2026版更新中)_02-数学-中考总复习_2025中考复习资料
2025年中考数学几何模型综合训练(通用版)专题22全等与相似模型之对角互补模型解读与提分精练(教师版)_02中考总复习(2026版更新中)_02-数学-中考总复习_2025中考复习资料
2025年中考数学几何模型综合训练(通用版)专题22全等与相似模型之对角互补模型解读与提分精练(教师版)_02中考总复习(2026版更新中)_02-数学-中考总复习_2025中考复习资料
2025年中考数学几何模型综合训练(通用版)专题22全等与相似模型之对角互补模型解读与提分精练(教师版)_02中考总复习(2026版更新中)_02-数学-中考总复习_2025中考复习资料
2025年中考数学几何模型综合训练(通用版)专题22全等与相似模型之对角互补模型解读与提分精练(教师版)_02中考总复习(2026版更新中)_02-数学-中考总复习_2025中考复习资料
2025年中考数学几何模型综合训练(通用版)专题22全等与相似模型之对角互补模型解读与提分精练(教师版)_02中考总复习(2026版更新中)_02-数学-中考总复习_2025中考复习资料
2025年中考数学几何模型综合训练(通用版)专题22全等与相似模型之对角互补模型解读与提分精练(教师版)_02中考总复习(2026版更新中)_02-数学-中考总复习_2025中考复习资料
2025年中考数学几何模型综合训练(通用版)专题22全等与相似模型之对角互补模型解读与提分精练(教师版)_02中考总复习(2026版更新中)_02-数学-中考总复习_2025中考复习资料
2025年中考数学几何模型综合训练(通用版)专题22全等与相似模型之对角互补模型解读与提分精练(教师版)_02中考总复习(2026版更新中)_02-数学-中考总复习_2025中考复习资料
2025年中考数学几何模型综合训练(通用版)专题22全等与相似模型之对角互补模型解读与提分精练(教师版)_02中考总复习(2026版更新中)_02-数学-中考总复习_2025中考复习资料
2025年中考数学几何模型综合训练(通用版)专题22全等与相似模型之对角互补模型解读与提分精练(教师版)_02中考总复习(2026版更新中)_02-数学-中考总复习_2025中考复习资料
2025年中考数学几何模型综合训练(通用版)专题22全等与相似模型之对角互补模型解读与提分精练(教师版)_02中考总复习(2026版更新中)_02-数学-中考总复习_2025中考复习资料
2025年中考数学几何模型综合训练(通用版)专题22全等与相似模型之对角互补模型解读与提分精练(教师版)_02中考总复习(2026版更新中)_02-数学-中考总复习_2025中考复习资料
2025年中考数学几何模型综合训练(通用版)专题22全等与相似模型之对角互补模型解读与提分精练(教师版)_02中考总复习(2026版更新中)_02-数学-中考总复习_2025中考复习资料
2025年中考数学几何模型综合训练(通用版)专题22全等与相似模型之对角互补模型解读与提分精练(教师版)_02中考总复习(2026版更新中)_02-数学-中考总复习_2025中考复习资料
2025年中考数学几何模型综合训练(通用版)专题22全等与相似模型之对角互补模型解读与提分精练(教师版)_02中考总复习(2026版更新中)_02-数学-中考总复习_2025中考复习资料
2025年中考数学几何模型综合训练(通用版)专题22全等与相似模型之对角互补模型解读与提分精练(教师版)_02中考总复习(2026版更新中)_02-数学-中考总复习_2025中考复习资料
2025年中考数学几何模型综合训练(通用版)专题22全等与相似模型之对角互补模型解读与提分精练(教师版)_02中考总复习(2026版更新中)_02-数学-中考总复习_2025中考复习资料
2025年中考数学几何模型综合训练(通用版)专题22全等与相似模型之对角互补模型解读与提分精练(教师版)_02中考总复习(2026版更新中)_02-数学-中考总复习_2025中考复习资料
2025年中考数学几何模型综合训练(通用版)专题22全等与相似模型之对角互补模型解读与提分精练(教师版)_02中考总复习(2026版更新中)_02-数学-中考总复习_2025中考复习资料
2025年中考数学几何模型综合训练(通用版)专题22全等与相似模型之对角互补模型解读与提分精练(教师版)_02中考总复习(2026版更新中)_02-数学-中考总复习_2025中考复习资料
2025年中考数学几何模型综合训练(通用版)专题22全等与相似模型之对角互补模型解读与提分精练(教师版)_02中考总复习(2026版更新中)_02-数学-中考总复习_2025中考复习资料
2025年中考数学几何模型综合训练(通用版)专题22全等与相似模型之对角互补模型解读与提分精练(教师版)_02中考总复习(2026版更新中)_02-数学-中考总复习_2025中考复习资料
2025年中考数学几何模型综合训练(通用版)专题22全等与相似模型之对角互补模型解读与提分精练(教师版)_02中考总复习(2026版更新中)_02-数学-中考总复习_2025中考复习资料
2025年中考数学几何模型综合训练(通用版)专题22全等与相似模型之对角互补模型解读与提分精练(教师版)_02中考总复习(2026版更新中)_02-数学-中考总复习_2025中考复习资料
2025年中考数学几何模型综合训练(通用版)专题22全等与相似模型之对角互补模型解读与提分精练(教师版)_02中考总复习(2026版更新中)_02-数学-中考总复习_2025中考复习资料
2025年中考数学几何模型综合训练(通用版)专题22全等与相似模型之对角互补模型解读与提分精练(教师版)_02中考总复习(2026版更新中)_02-数学-中考总复习_2025中考复习资料
2025年中考数学几何模型综合训练(通用版)专题22全等与相似模型之对角互补模型解读与提分精练(教师版)_02中考总复习(2026版更新中)_02-数学-中考总复习_2025中考复习资料

文档信息

文档格式
docx
文档大小
5.572 MB
文档页数
64 页
上传时间
2026-03-01 08:23:39

文档内容

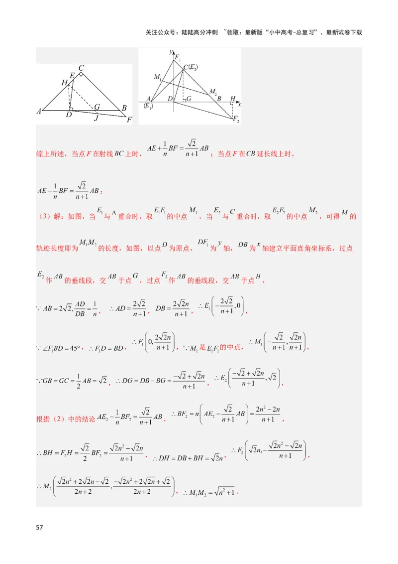
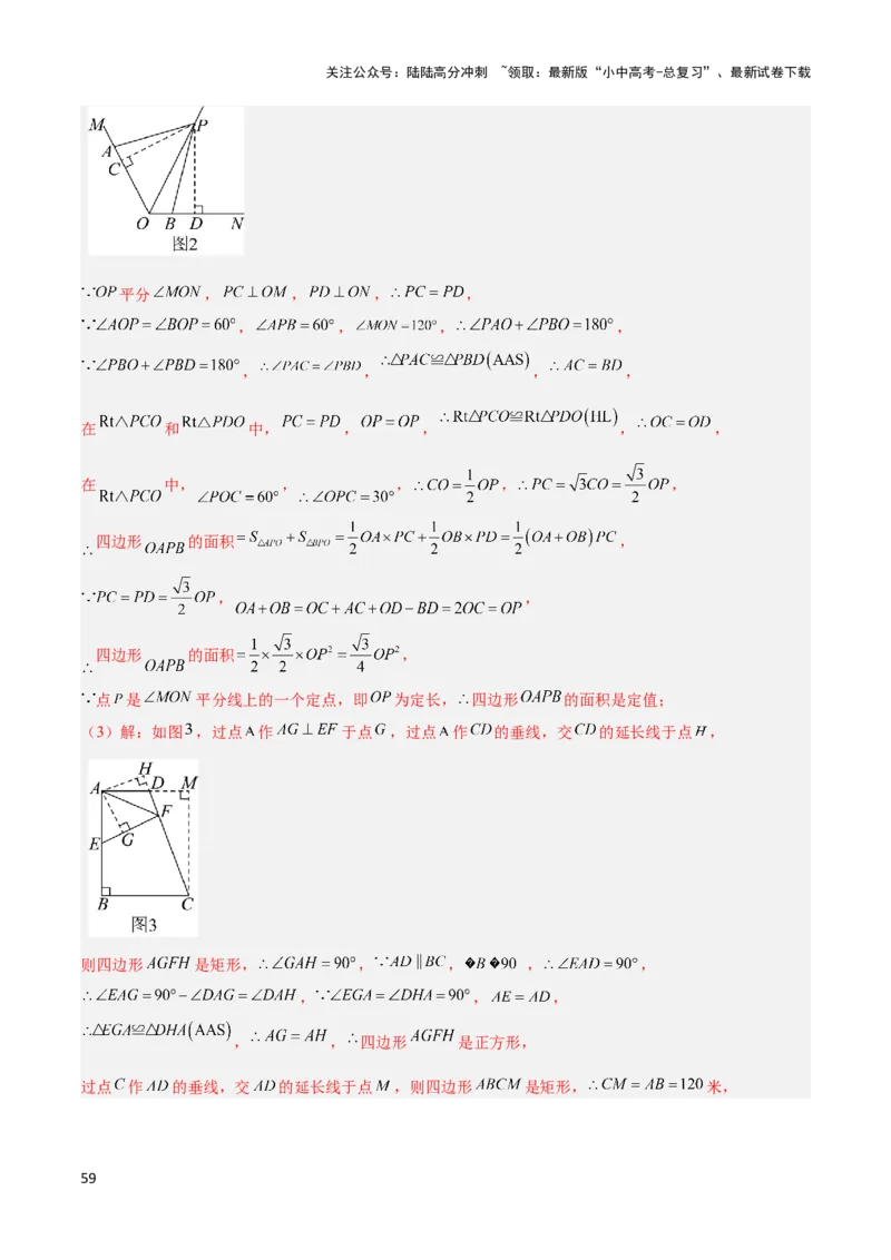
关注公众号:陆陆高分冲刺 ~领取:最新版“小中高考-总复习”、最新试卷下载 专题 22 全等与相似模型之对角互补模型 全等三角形与相似三角形在中考数学几何模块中占据着重要地位。相似三角形与其它知识点结合以综 合题的形式呈现,其变化很多,难度大,是中考的常考题型。如果大家平时注重解题方法,熟练掌握基本 解题模型,再遇到该类问题就信心更足。本专题就对角互补模型进行梳理及对应试题分析,方便掌握。 .........................................................................................................................................................................................1 模型1.对角互补模型(全等型:90°-90°)..................................................................................................1 模型2.对角互补模型(全等型:60°-120°)................................................................................................7 模型3.对角互补模型(全等型:α—180°-α)............................................................................................13 模型4.对角互补模型(相似模型).............................................................................................................18 ..................................................................................................................................................31 - 模型1.对角互补模型(全等型:90° 90°) 对角互补模型概念:对角互补模型特指四边形中,存在一对对角互补,而且有一组邻边相等的几何模型。 对角互补模型(90°— 90°型)主要分异侧型和同侧型两大类,处理方法主要有两种:①过顶点做双垂线, 构造全等三角形;②进行旋转的构造,构造手拉手全等。 1)“共斜边等腰直角三角形+直角三角形”模型(异侧型) 条件:如图,已知∠AOB=∠DCE=90°,OC平分∠AOB. 1关注公众号:陆陆高分冲刺 ~领取:最新版“小中高考-总复习”、最新试卷下载 结论:①CD=CE,②OD+OE= OC,③ . 证明:过点C作CM⊥OD,CN⊥OB,∴∠CMD=∠CNE=90°,∵OC平分∠AOB,∴CM=CN, 又∵∠AOB=∠DCE=90°,∴∠MCN=90°,∴∠MCD=∠NCE,∴△MCD≌△NCE;∴CD=CE, 根据上述条件易证:四边形ONCM为正方形,∴∠CON=45°,OM=ON, 又∵OD+OE=OM-DM+ON+NE,∴OD+OE=OM+ON=2ON= OC, ∵△MCD≌△NCE,∴S =S ,∴ MCD NCE 2)“斜边等腰直角三角形△ +直角△三角形”模型(同侧型) 条件:如图,已知∠DCE的一边与AO的延长线交于点D,∠AOB=∠DCE=90°,OC平分∠AOB. 结论:①CD=CE,②OE-OD= OC,③ . 证明:过点C作CM⊥OD,CN⊥OB,∴∠CMD=∠CNE=90°,∵OC平分∠AOB,∴CM=CN, 又∵∠AOB=∠DCE=90°,∴∠MCN=90°,∴∠MCD=∠NCE, ∴△MCD≌△NCE;∴CD=CE,MD=NE,根据上述条件易证:四边形ONCM为正方形, ∴∠CON=45°,OM=ON,又∵OE-OD=ON+NE-(DM-OM),∴OE-OD=ON+OM=2ON= OC, ∵△MCD≌△NCE,∴S =S , . MCD NCE △ △ 例1.(23-24九年级上·河南洛阳·期中)综合与实践 已知,在Rt ABC中,AC=BC,∠C=90°,D为AB边的中点,∠EDF=90°,∠EDF绕点D旋转,它的 两边分别交△AC,CB(或它们的延长线)于点E,F. (1)【问题发现】如图1,当∠EDF绕点D旋转到DE⊥AC于点E时(如图1), ①证明:△ADE≌△BDF;②猜想:S DEF+S CEF= S ABC. △ △ △ (2)【类比探究】如图2,当∠EDF绕点D旋转到DE与AC不垂直时,且点E在线段AC上,试判断 S DEF+S CEF与S ABC的关系,并给予证明. △ △ △ (3)【拓展延伸】如图3,当点E在线段AC的延长线上时,此时问题(2)中的结论是否成立?若成立, 请给予证明;若不成立,S DEF,S CEF,S ABC又有怎样的关系?(写出你的猜想,不需证明) △ △ △ 2关注公众号:陆陆高分冲刺 ~领取:最新版“小中高考-总复习”、最新试卷下载 图1 图2 图3 【答案】(1)①证明见解析;② ;(2)上述结论成立;理由见解析; (3)不成立;S DEF﹣S CEF= ;理由见解析. △ △ 【分析】(1)①先判断出DE∥AC得出∠ADE=∠B,再用同角的余角相等判断出∠A=∠BDF,即可得出 结论;②当∠EDF绕D点旋转到DE⊥AC时,四边形CEDF是正方形,边长是AC的一半,即可得出结论; (2)成立;先判断出∠DCE=∠B,进而得出△CDE≌△BDF,即可得出结论; (3)不成立;同(2)得:△DEC≌△DBF,得出S = =S + S . DEF CFE ABC △ △ △ 【详解】解:(1)①∵∠C=90°,∴BC⊥AC,∵DE⊥AC,∴DE∥BC,∴∠ADE=∠B, ∵∠EDF=90°,∴∠ADE+∠BDF=90°, ∵DE⊥AC,∴∠AED=90°,∴∠A+∠ADE=90°,∴∠A=∠BDF, ∵点D是AB的中点,∴AD=BD,在△ADE和△BDF中 ,∴△ADE≌△BDF(SAS); ②如图1中,当∠EDF绕D点旋转到DE⊥AC时,四边形CEDF是正方形. 3关注公众号:陆陆高分冲刺 ~领取:最新版“小中高考-总复习”、最新试卷下载 设△ABC的边长AC=BC=a,则正方形CEDF的边长为 a. ∴S = a2,S =( a)2= a2,即S +S = S ;故答案为 . ABC 正方形DECF DEF CEF ABC △ △ △ △ (2)上述结论成立;理由如下:连接CD;如图2所示:∵AC=BC,∠ACB=90°,D为AB中点, ∴∠B=45°,∠DCE= ∠ACB=45°,CD⊥AB,CD= AB=BD,∴∠DCE=∠B,∠CDB=90°, ∵∠EDF=90°,∴∠CDE=∠BDF,在△CDE和△BDF中, , ∴△CDE≌△BDF(ASA),∴S +S =S +S = S ; DEF CEF ADE BDF ABC △ △ △ △ △ (3)不成立;S DEF﹣S CEF= S ;理由如下:连接CD,如图3所示: ABC △ △ △ 同(2)得:△DEC≌△DBF,∠DCE=∠DBF=135° ∴S =S ,=S +S ,=S + S ,∴S ﹣S = S . DEF 五边形DBFEC CFE DBC CFE ABC DEF CFE ABC △ △ △ △ △ △ △ △ ∴S 、S 、S 的关系是:S ﹣S = S . DEF CEF ABC DEF CEF ABC △ △ △ △ △ △ 【点睛】本题是几何变换综合题,考查了平行线的判定和性质,同角的余角相等,全等三角形的判定与性 质、等腰直角三角形的性质、图形面积的求法;证明三角形全等是解决问题的关键. 例2.(2024·陕西·一模)问题提出(1)如图1,将直角三角板的直角顶点P放在正方形ABCD的对角线AC 上,一条直角边经过点B,另一条直角边交边DC于点E,线段PB和线段PE相等吗?请证明; 问题探究(2)如图2,移动三角板,使三角板的直角顶点P在对角线AC上,一条直角边经过点B,另一条 直角边交DC的延长线于点E,(1)中的结论还成立吗?若成立,请证明;若不成立,请说明理由; 4关注公众号:陆陆高分冲刺 ~领取:最新版“小中高考-总复习”、最新试卷下载 问题解决(3)继续移动三角板,使三角板的直角顶点P在对角线AC上,一条直角边经过点B,另一条直角 边交DC的延长线于点E,(1)中的结论还成立吗?若成立,请证明;若不成立,请说明理由. 【答案】(1)证明见解析(2)PB=PE还成立(3) PB=PE还成立 【详解】试题分析:(1)根据正方形的性质得∠BCD=90°,AC平分∠BCD,而PM⊥CD,则四边形 PMCN是矩形,根据角平分线的性质可得PM=PN,根据四边形的内角和得到∠PBC+∠CEP=180°,再利用 等角的补角相等得到∠PBM=∠PEN,然后根据AAS证明△PBM≌△PEN,则可证明; (2)连接PD,根据正方形的性质和角平分线的性质,由“SAS”以及四边形的内角和得证; (3)过点P作PM⊥BC,PN⊥CD,然后根据角平分线的性质和正方形的性质,由“AAS”可证. 试题解析:(1)如图1,过点P作PM⊥BC,PN⊥CD,垂足分别为M,N,∵四边形ABCD为正方形, ∴∠BCD=90°,AC平分∠BCD,∵PM⊥BC,PN⊥CD,∴四边形PMCN为正方形,PM=PN,∵∠BPE =90°,∠BCD=90°,∴∠PBC+∠CEP=180°,而∠CEP+∠PEN=180°,∴∠PBM=∠PEN,在△PBM 和△PEN中, ∴△PBM≌△PEN(AAS),∴PB=PE (2)如图2,PB=PE还成立.理由 如下:过点P作PM⊥BC,PN⊥CD,垂足分别为M,N,∵四边形ABCD为正方形,∴∠BCD=90°,AC 平分∠BCD,∵PM⊥BC,PN⊥CD,∴四边形PMCN为正方形,PM=PN,∴∠MPN=90°,∵∠BPE= 90°,∠BCD=90°,∴∠BPM+∠MPE=90°,而∠MPE+∠EPN=90°,∴∠BPM=∠EPN,在△PBM和 △PEN中, ∴△PBM≌△PEN(ASA),∴PB=PE (3)如图3,PB=PE还成立.理由如下: 过点P作PM⊥BC交BC的延长线于点M,PN⊥CD的延长线于点N,∵四边形ABCD为正方形, ∴∠BCD=90°,AC平分∠BCD,∵PM⊥BC,PN⊥CD,∴四边形PMCN为正方形,PM=PN, 5关注公众号:陆陆高分冲刺 ~领取:最新版“小中高考-总复习”、最新试卷下载 ∴∠MPN=90°,∵∠BPE=90°,∠BCD=90°,∴∠BPM+∠BPN=90°,而∠BPN+∠EPN=90°, ∴∠BPM=∠EPN,在△PBM和△PEN中, ∴△PBM≌△PEN(ASA),∴PB=PE 例3.(2024·河南·一模)已知 ,点 是 的角平分线 上的任意一点,现有一个直角 绕点 旋转,两直角边 , 分别与直线 , 相交于点 ,点 . (1)如图1,若 ,猜想线段 , , 之间的数量关系,并说明理由. (2)如图2,若点 在射线 上,且 与 不垂直,则(1)中的数量关系是否仍成立?如成立,请 说明理由;如不成立,请写出线段 , , 之间的数量关系,并加以证明. (3)如图3,若点 在射线 的反向延长线上,且 , ,请直接写出线段 的长度. 【答案】(1)详见解析;(2)详见解析;(3) 【分析】(1)先证四边形 为矩形,再证矩形 为正方形,由正方形性质可得;(2)过点 作 于点 , 于点 ,证四边形 为正方形,再证 ,可得; (3)根据 ,可得 . 【详解】解:(1)∵ , , ,∴四边形 为矩形. ∵ 是 的角平分线,∴ ,∴ , 6关注公众号:陆陆高分冲刺 ~领取:最新版“小中高考-总复习”、最新试卷下载 ∴矩形 为正方形,∴ , .∴ . (2)如图,过点 作 于点 , 于点 , ∵ 平分 , ,∴四边形 为正方形,由(1)得: , 在 和 中, ,∴ ,∴ ,∴ . (3) , ,∴ . ∵ , ,∴ , ∴ ,∴ , 的长度为 . 【点睛】考核知识点:矩形,正方形的判定和性质.熟练运用特殊四边形的性质和判定是关键. - 模型2.对角互补模型(全等型:60° 120°) 对角互补模型(60°— 120°型),处理方法主要有两种:①过顶点做双垂线,构造全等三角形;②进行旋 转的构造,构造手拉手全等。 1)“等边三角形对120°模型”(1) 7关注公众号:陆陆高分冲刺 ~领取:最新版“小中高考-总复习”、最新试卷下载 条件:如图,已知∠AOB=2∠DCE=120°,OC平分∠AOB. 结论:①CD=CE,②OD+OE=OC,③ . 证明:过点C作CM⊥OD,CN⊥OB,∴∠CMD=∠CNE=90°,∵OC平分∠AOB,∴CM=CN, 又∵∠AOB=2∠DCE=120°,∴∠AOB+∠DCE=180°,∴∠CDO+∠CEO=180°, ∵∠CDO+∠CDM=180°,∴∠MDC=∠CEO,∴△MCD≌△NCE;∴CD=CE,MD=NE, ∵OC平分∠AOB,∴∠CON=∠COM=60°,∴ON=OM= OC,NC=MC= OC。 又∵OE+OD=ON+NE+OM-DM,∴OE+OD=ON+OM=OC, △MCD≌△NCE,∴S =S ,∴ MCD NCE ∵ △ △ 。 2)“等边三角形对120°模型”(2) 条件:如图,已知∠AOB=2∠DCE=120°,OC平分∠AOB,∠DCE的一边与BO的延长线交于点D, 结论:①CD=CE,②OD-OE=OC,③ . 证明:过点C作CM⊥OD,CN⊥OB,∴∠CMD=∠CNE=90°,∵OC平分∠AOB,∴CM=CN, 又∵∠AOB=2∠DCE=120°,∴∠AOB+∠DCE=180°,∠AOB+∠MCN=180°,∴∠DCE=∠MCN=60° ∴∠DCE-∠MCE=∠MCN-∠MCE,∴∠MCD=∠NCE,∴△MCD≌△NCE;∴CD=CE,MD=NE, 8关注公众号:陆陆高分冲刺 ~领取:最新版“小中高考-总复习”、最新试卷下载 ∵OC平分∠AOB,∴∠CON=∠COM=60°,∴ON=OM= OC,NC=MC= OC。 又∵OD-OE=OM+DM-(NE-ON),∴OD-OE=ON+OM=OC, ∵△MCD≌△NCE,∴S =S ,∴ MCD NCE △ △ 。 3)“120°等腰三角形对60°模型” 条件:△ABC是等腰三角形,且∠BAC=120°,∠BPC=60°,PA平分∠BPC。 结论:PB+PC= PA; 证明:将△PAC绕点A顺时针旋转120°至△QAB,即△PAC≌△QAB, ∴∠ACP=∠ABQ,∠CAP=∠BAQ,AP=AQ,PC=QB; ∵∠BAC=120°,∠BPC=60°,∴∠ACP+∠ABP=180°,∴∠ABQ+∠ABP=180°,故P、B、Q共线。 又∵∠BPC=60°,PA平分∠BPC,∴∠APQ=60°,∵AP=AQ,∴∠AQP=60°, 根据勾股定理易证:PQ= PA,又∵PQ=PB+QB=PB+PC,∴PB+PC= PA。 例1.(2024重庆八年级期末)如图,已知∠AOB=120°,在∠AOB的平分线OM上有一点C,将一个60° 角的顶点与点C重合,它的两条边分别与直线OA、OB相交于点D、E. (1)当∠DCE绕点C旋转到CD与OA垂直时(如图1),请猜想OE+OD与OC的数量关系,并说明理 由;(2)当∠DCE绕点C旋转到CD与OA不垂直时,到达图2的位置,(1)中的结论是否成立?并说 明理由;(3)当∠DCE绕点C旋转到CD与OA的反向延长线相交时,上述结论是否成立?若成立,请给 于证明;若不成立,线段OD、OE与OC之间又有怎样的数量关系?请写出你的猜想,不需证明. 【答案】(1)详见解析;(2)(1)中结论仍然成立,理由详见解析;(3)(1)中结论不成立,结论 为OE﹣OD=OC,证明详见解析. 【分析】(1)根据OM是∠AOB的角平分线,可得∠AOB=60°,则∠OCE=30°,再根据30°所对直角边是斜 9关注公众号:陆陆高分冲刺 ~领取:最新版“小中高考-总复习”、最新试卷下载 边的一半,得出OD= OC,同理:OE= OC,即可得出结论;(2)同(1)的方法得到OF+OG=OC,再根据 AAS证明 CFD≌△CGE,得出DF=EG,则OF=OD+DF=OD+EG,OG=OE﹣EG,OF+OG=OD+OE,即可 得出结论△.(3)同(2)的方法得到DF=EG,根据等量代换可得OE﹣OD=OC. 【详解】(1)∵OM是∠AOB的角平分线,∴∠AOC=∠BOC= ∠AOB=60°, ∵CD⊥OA,∴∠ODC=90°,∴∠OCD=30°,∴∠OCE=∠DCE﹣∠OCD=30°, 在Rt OCD中,OD= OC,同理:OE= OC,∴OD+OE=OC, △ (2)(1)中结论仍然成立,理由:过点C作CF⊥OA于F,CG⊥OB于G,如图, ∴∠OFC=∠OGC=90°,∵∠AOB=120°,∴∠FCG=60°, 同(1)的方法得,OF= OC,OG= OC,∴OF+OG=OC, ∵CF⊥OA,CG⊥OB,且点C是∠AOB的平分线OM上一点,∴CF=CG, ∵∠DCE=60°,∠FCG=60°,∴∠DCF=∠ECG,∴△CFD≌△CGE,∴DF=EG, ∴OF=OD+DF=OD+EG,OG=OE﹣EG, ∴OF+OG=OD+EG+OE﹣EG=OD+OE,∴OD+OE=OC; (3)(1)中结论不成立,结论为:OE﹣OD=OC,理由:过点C作CF⊥OA于F,CG⊥OB于G,如图, ∴∠OFC=∠OGC=90°,∵∠AOB=120°,∴∠FCG=60°,同(1)的方法得,OF= OC,OG= OC, ∴OF+OG=OC, ∵CF⊥OA,CG⊥OB,且点C是∠AOB的平分线OM上一点,∴CF=CG, ∵∠DCE=60°,∠FCG=60°,∴∠DCF=∠ECG,∴△CFD≌△CGE, ∴DF=EG,∴OF=DF﹣OD=EG﹣OD,OG=OE﹣EG,∴OF+OG=EG﹣OD+OE﹣EG=OE﹣OD,∴OE﹣ OD=OC. 【点睛】本题考查了角平分线的性质定理,全等三角形的判定和性质,直角三角形的性质.正确作辅助线是 解题的关键. 例2.(2024广东中考一模)如图,已知 ,在 的角平分线 上有一点 ,将一个 10关注公众号:陆陆高分冲刺 ~领取:最新版“小中高考-总复习”、最新试卷下载 角的顶点与点 重合,它的两条边分别与射线 相交于点 . (1)如图1,当 绕点 旋转到 与 垂直时,请猜想 与 的数量关系,并说明理由; (2)当 绕点 旋转到 与 不垂直时,到达图2的位置,(1)中的结论是否成立?并说明理 由; (3)如图3,当 绕点 旋转到点 位于 的反向延长线上时,求线段 与 之间又有怎 样的数量关系?请写出你的猜想,不需证明. 【答案】(1) ,见解析;(2)结论仍然成立,见解析;(3) 【分析】(1)先判断出∠OCE=60°,再利用特殊角的三角函数得出OD= OC,同OE= OC,即可 得出结论;(2)同(1)的方法得OF+OG= OC,再判断出△CFD≌△CGE,得出DF=EG,最后等量 代换即可得出结论;(3)同(2)的方法即可得出结论. 【详解】解:(1) 是 的角平分线 在 中, ,同理: (2)(1)中结论仍然成立,理由:过点 作 于 , 于 由(1)知, ,且点 是 的平分线 上一点 11关注公众号:陆陆高分冲刺 ~领取:最新版“小中高考-总复习”、最新试卷下载 (3)结论为: . 理由:过点C作CF⊥OA于F,CG⊥OB于G,∴∠OFC=∠OGC=90°, ∵∠AOB=60°,∴∠FCG=120°,同(1)的方法得,OF= OC,OG= OC,∴OF+OG= OC, ∵CF⊥OA,CG⊥OB,且点C是∠AOB的平分线OM上一点, ∴CF=CG,∵∠DCE=120°,∠FCG=120°,∴∠DCF=∠ECG, ∴△CFD≌△CGE,∴DF=EG,∴OF=DF−OD=EG−OD,OG=OE−EG, ∴OF+OG=EG−OD+OE−EG=OE−OD,∴OE−OD= OC. 【点睛】此题属于几何变换综合题,主要考查了角平分线的性质,全等三角形的判定和性质的综合运用, 正确作出辅助线,构造全等三角形是解本题的关键. 例3.(23-24九年级上·重庆江津·期中)在△ABC中,AB=AC,∠A=60°,点D是线段BC的中点, ∠EDF=120°,DE与线段AB相交于点E,DF与线段AC(或AC的延长线)相交于点F. (1)如图1,若DF⊥AC,垂足为F,AB=4,求BE的长; (2)如图2,将(1)中的∠EDF绕点D顺时针旋转一定的角度,DF仍与线段AC相交于点F.求证: BE+CF= AB.(3)如图3,若∠EDF的两边分别交AB、AC的延长线于E、F两点,(2)中的结论还成 立吗?如果成立,请证明;如果不成立,请直接写出线段BE、AB、CF之间的数量关系. 【答案】(1)1(2)证明见解析(3)结论不成立.结论:BE﹣CF= AB 【分析】(1)如图1中,只要证明∠BED=90°,根据直角三角形30度角性质即可解决问题. (2)如图2中,过点D作DM⊥AB于M,作DN⊥AC于N.只要证明△BDM≌△CDN,△EDM≌△FDN 12关注公众号:陆陆高分冲刺 ~领取:最新版“小中高考-总复习”、最新试卷下载 即可解决问题.(3)(2)中的结论不成立.结论:BE﹣CF= AB,证明方法类似(2). 【详解】解:(1)如图1中, ∵AB=AC,∠A=60°,∴△ABC是等边三角形,∴∠B=∠C=60°,BC=AC=AB=4, ∵点D是线段BC的中点,∴BD=DC= BC=2,∵DF⊥AC,即∠CFD=90°,∴∠CDF=30°, 又∵∠EDF=120°,∴∠EDB=30°,∴∠BED=90°∴BE= BD=1. (2)如图2中,过点D作DM⊥AB于M,作DN⊥AC于N. ∵∠B=∠C=60°,BD=DC,∠BDM=∠CDN=30°,∴△BDM≌△CDN,∴BM=CN,DM=DN, 又∵∠EDF=120°=∠MDN,∴∠EDM=∠NDF, 又∵∠EMD=∠FND=90°,∴△EDM≌△FDN,∴ME=NF, ∴BE+CF=BM+EM+NC﹣FN=2BM=BD= AB. (3)结论不成立.结论:BE﹣CF= AB. ∵∠B=∠C=60°,BD=DC,∠BDM=∠CDN=30°,∴△BDM≌△CDN,∴BM=CN,DM=DN, 又∵∠EDF=120°=∠MDN,∴∠EDM=∠NDF, 又∵∠EMD=∠FND=90°,∴△EDM≌△FDN,∴ME=NF, ∴BE﹣CF=BM+EM﹣(FN﹣CN)=2BM=BD= AB. 13关注公众号:陆陆高分冲刺 ~领取:最新版“小中高考-总复习”、最新试卷下载 模型3.对角互补模型(全等型:α—180°-α) 对角互补模型(α—180°-α型)处理方法主要有两种:①过顶点做双垂线,构造全等三角形;②进行旋转 的构造,构造手拉手全等。 1)“α对180°-α模型” 条件:四边形ABCD中,AP=BP,∠A+∠B=180°。结论:OP平分∠AOB。 证明:过点P作PE⊥OA,PF⊥OB,∴∠AEP=∠BFP=90°, ∵∠A+∠B=180°,∠OAP+∠PAE=180°,∴∠EAP=∠B。 ∵AP=BP,∴△PAE≌△PBF,∴PE=PF,∴OP平分∠AOB。 注意:如下图:①AP=BP,②∠A+∠B=180°,③OP平分∠AOB,以上三个条件可知二推一。 2)“蝴蝶型对角互补模型”(隐藏型对角互补) 条件:AP=BP,∠AOB=∠APB,结论:OP平分∠AOB的外角。 14关注公众号:陆陆高分冲刺 ~领取:最新版“小中高考-总复习”、最新试卷下载 证明:过点P作PE⊥OA,PF⊥OB,∴∠AEP=∠BFP=90°,∵∠AOB=∠APB,∴∠A=∠B。 ∵AP=BP,∴△PAE≌△PBF,∴PE=PF,∴OP平分∠AOB。 例1.(2024·福建厦门·九年级校考期中)如图, ( 是常量).点P在 的平分线上,且 ,以点P为顶点的 绕点P逆时针旋转,在旋转的过程中, 的两边分别与 , 相交于M,N两点,若 始终与 互补,则以下四个结论:① ;② 的值不 变;③四边形 的面积不变;④点M与点N的距离保持不变.其中正确的为( ) A.①③ B.①②③ C.①③④ D.②③ 【答案】B 【分析】如图作 于点E, 于点F,只要证明 , 即 可一一判断. 【详解】解:如图所示:作 于点E, 于点F, , , , , , , 平分 , , , , 在 和 中, , , , 15关注公众号:陆陆高分冲刺 ~领取:最新版“小中高考-总复习”、最新试卷下载 在 和 中, , , ,故①正确, , 定值,故③正确, 定值,故②正确, 的位置是变化的, 之间的距离也是变化的,故④错误;故选:B. 【点睛】本题考查了全等三角形的性质,角平分线的性质定理,四边形的面积等知识,解题的关键是学会 添加辅助线,构造全等三角形解决问题. 例2.(2023春·江苏·八年级专题练习)感知:如图①, 平分 , , . 判断 与 的大小关系并证明. 探究:如图②, 平分 , , , 与 的大小关系变吗?请 说明理由.应用:如图③,四边形 中, , , ,则 与 差是多 少(用含 的代数式表示) 【答案】感知: ,证明见详解;探究: 与 的大小关系不变,理由见详解;应用: 与 差是 . 【分析】感知:根据角平分线的性质定理即可求证;探究:过点D作DE⊥AB于点E,DF⊥AC,交AC延 长线于点F,根据角平分线的性质定理可得DE=DF,由题意可得∠B=∠DCF,进而可证△DEB≌△DFC, 然后问题可求证;应用:过点D作DH⊥AB于点H,DG⊥AC,交AC的延长线于点G,连接AD,由题意 易证△DHB≌△DGC,则有DH=DG,进而可得AG=AH,然后根据等腰直角三角形的性质可得 ,则有 ,最后问题可求解. 【详解】感知: ,理由如下: ∵ , ,∴ ,即 ,∵ 平分 ,∴ ; 探究: 与 的大小关系不变,还是相等,理由如下: 16关注公众号:陆陆高分冲刺 ~领取:最新版“小中高考-总复习”、最新试卷下载 过点D作DE⊥AB于点E,DF⊥AC,交AC延长线于点F,则∠DEB=∠DFC=90°,如图所示: ∵ 平分 ,∴DE=DF,∵ , ,∴∠B=∠DCF, ∴△DEB≌△DFC(AAS),∴ ; 应用:过点D作DH⊥AB于点H,DG⊥AC,交AC的延长线于点G,连接AD,如图所示: ∵ , ,∴ ,∵ ,∴ , ∵ , , ∴△DHB≌△DGC(AAS),且△DHB与△DGC都为等腰直角三角形, ∴ ,由勾股定理可得 , ∴ ,∴ ,在Rt AHD和Rt AGD中,AD=AD,DH=DG, △ △ ∴Rt AHD≌Rt AGD(HL),∴ ,∴ ,∴ △ △ . 【点睛】本题主要考查角平分线的性质定理、全等三角形的性质与判定及勾股定理,熟练掌握角平分线的 性质定理、全等三角形的性质与判定及勾股定理是解题的关键. 例3.(23-24八年级上·吉林长春·阶段练习)如图(1)~(3),已知 的平分线OM上有一点P, 的两边与射线OA、OB交于点C、D,连接CD交OP于点G,设 , . 17关注公众号:陆陆高分冲刺 ~领取:最新版“小中高考-总复习”、最新试卷下载 (1)如图(1),当 时,试猜想PC与PD, 与 的数量关系(不用说明理由); (2)如图(2),当 , 时,(1)中的两个猜想还成立吗?请说明理由. (3)如图(3),当 时,你认为(1)中的两个猜想是否仍然成立,若成立,请直接写出结论; 若不成立,请说明理由. 【答案】(1) , (2)成立,理由见详解(3) , 【分析】(1)过P点作PE⊥OB于点E,作PF⊥OA于点F点,延长DP交OA于点N,根据角平分线的 性质可得PF=PE,先证明∠EPF=∠CPD,再证明∠CPE=∠EPD,即可证明△FPC≌△EPD,则有 PC=PD,∠PDC=∠PCD,则有2∠PDC=∠CPN,根据∠AOB+∠CPD=180°,∠CPD+∠CPN=180°,可得 ∠AOB=∠CPN,即问题得解;(2)解答方法同(1);(3)解答方法同(2). 【详解】(1) , , 证明:过P点作PE⊥OB于点E,作PF⊥OA于点F点,延长DP交OA于点N,如图, ∵OM平分AOB,∴∠AOP=∠BOP,∵PF⊥OA,PE⊥OB,∴∠PFO=∠PEO=90°,PF=PE, ∵∠AOB+∠ODC+∠OCD=180°,∠PCD+∠PDC+∠CPD=180°, ∴∠AOB+∠ODC+∠OCD+∠PCD+∠PDC+∠CPD=360°,∴四边形OCPD的内角和为360°, 同理,四边形OFPE的内角和为360°,∴∠AOB+∠PFO+∠PEO+∠EPF=360°, 18关注公众号:陆陆高分冲刺 ~领取:最新版“小中高考-总复习”、最新试卷下载 ∴∠AOB+90°+90°+∠EPF=360°,即∠AOB+∠EPF=180°, ∵∠AOB=∠CPD=90°,即∠AOB+∠CPD=180°,∴∠EPF=∠CPD, ∵∠EPF=∠EPC+∠CPE,∠CPD=∠EPC+∠EPD,∴∠CPE=∠EPD, 又∵∠PFO=∠PEO=90°,PF=PE,∴△FPC≌△EPD,∴PC=PD,∴∠PDC=∠PCD, ∵∠PDC+∠PCD=∠CPN,∴2∠PDC=∠CPN, ∵∠AOB+∠CPD=180°,∠CPD+∠CPN=180°,∴∠AOB=∠CPN,∴2∠PDC=∠AOB,结论得证; (2)成立,理由如下:过P点作PE⊥OB于点E,作PF⊥OA于点F点,延长DP交OA于点N,如图, ∵OM平分AOB,∴∠AOP=∠BOP,∵PF⊥OA,PE⊥OB,∴∠PFO=∠PEO=90°,PF=PE, ∵四边形OFPE的内角和为360°,∴∠AOB+∠PFO+∠PEO+∠EPF=360°, ∴∠AOB+90°+90°+∠EPF=360°,即∠AOB+∠EPF=180°, ∵∠AOB=60°,∠CPD=120°,即∠AOB+∠CPD=180°,∴∠EPF=∠CPD, ∵∠EPF=∠EPC+∠CPE,∠CPD=∠EPC+∠EPD,∴∠CPE=∠EPD, 又∵∠PFO=∠PEO=90°,PF=PE,∴△FPC≌△EPD,∴PC=PD,∴∠PDC=∠PCD, ∵∠PDC+∠PCD=∠CPN,∴2∠PDC=∠CPN, ∵∠AOB+∠CPD=180°,∠CPD+∠CPN=180°,∴∠AOB=∠CPN,∴2∠PDC=∠AOB,结论得证; (3)成立, , , 证明:过P点作PE⊥OB于点E,作PF⊥OA于点F点,延长DP交OA于点N,如图, ∵OM平分AOB,∴∠AOP=∠BOP,∵PF⊥OA,PE⊥OB,∴∠PFO=∠PEO=90°,PF=PE, ∵四边形OFPE的内角和为360°,∴∠AOB+∠PFO+∠PEO+∠EPF=360°, ∴∠AOB+90°+90°+∠EPF=360°,即∠AOB+∠EPF=180°,∵∠AOB+∠CPD=180°,∴∠EPF=∠CPD, ∵∠EPF=∠EPC+∠CPE,∠CPD=∠EPC+∠EPD,∴∠CPE=∠EPD, 又∵∠PFO=∠PEO=90°,PF=PE,∴△FPC≌△EPD,∴PC=PD,∴∠PDC=∠PCD, ∵∠PDC+∠PCD=∠CPN,∴2∠PDC=∠CPN, ∵∠AOB+∠CPD=180°,∠CPD+∠CPN=180°,∴∠AOB=∠CPN,∴2∠PDC=∠AOB,结论得证. 【点睛】本题主要考查了全等三角形的判定与性质,角平分线的判定与性质以及三角形内角和定理等知识, 证明△FPC≌△EPD是解答本题的关键. 19关注公众号:陆陆高分冲刺 ~领取:最新版“小中高考-总复习”、最新试卷下载 模型4.对角互补模型(相似模型) 四边形或多边形构成的几何图形中,相对的角互补。该题型常用到的辅助线主要是顶定点向两边做垂线, 从而证明两个三角形相似. 1)对角互补相似1 条件:如图,在Rt ABC中,∠C=∠EOF=90°,点O是AB的中点, △ 结论:如图,过点O作OD⊥AC,OH⊥BC,垂足分别为D,H,则:①△ODE OHF;② 证明:∵OD⊥AC,OH⊥BC,垂足分别为D,H,∴∠EDO=∠FHO=90°, ∼△ ∵∠C=90°,∴四边形OHCD为矩形,∴∠DOH=90°,DO=CH ∴∠DOF+∠HOF=90°, ∵∠EOF=90°,∴∠DOF+∠DOE=90°,∴∠HOF=∠DOE,∴△ODE OHF,∴ , ∼△ C=∠OHD=90°,点O是AB的中点,∴H为BC中点,∴BH=CH,∴BH=DO,∴ ∵∠ ∵∠C=∠OHD=90°,∠B=∠B,∴△OHB ACB,∴ ,∴ 2)对角互补相似 2 ∼△ 条件:如图,已知∠AOB=∠DCE=90°,∠BOC= . 结论1:如图1,过点C作CF⊥OA,CG⊥OB,垂足分别为F,G;则①△ECG DCF;②CE=CD· 20 ∼△关注公众号:陆陆高分冲刺 ~领取:最新版“小中高考-总复习”、最新试卷下载 . 证明:法1:∵CF⊥OA,CG⊥OB,垂足分别为F,G;∴∠EGC=∠DFC=90°, ∵∠AOB=90°,∴四边形OGCF为矩形,∴∠GCF=90°,CF=OG,∴∠FCD+∠DCG=90°, ∵∠DCE=90°,∴∠GCE+∠DCG=90°,∴∠GCE=∠FCD,∴ECG DCF,∴ , ∼△ ∵CF=OG,∴ ,∵在Rt COG中, ,∴CE=CD· △ 条件:如图,已知∠AOB=∠DCE=90°,∠BOC= . 结论2:如图2,过点C作CF⊥OC,交OB于F;则:①△CFE COD;②CE=CD· . ∼△ 证明:法1:∵CF⊥OC,∴∠OCF=90°,∴∠OCE+∠ECF=90°, ∵∠DCE=90°,∴∠OCE+∠DCO=90°,∴∠ECF=∠DCO, ∵∠AOB=90°,∠OCF=90°,∴∠COE+∠DOC=90°,∴∠COE+∠CFO=90°, ∴∠DOC=∠CFO,∴CFE COD,∴ ,∵在Rt OCF中, ,∴CE=CD· . 3)对角互补相似3 ∼△ △ 条件:已知如图,四边形ABCD中,∠B+∠D=180°。 结论:如图,过点D作DE⊥BA,DF⊥BC,垂足分别为E、F;则:①△DAE DCF;②A、B、C、D四 点共圆。 ∼△ 21关注公众号:陆陆高分冲刺 ~领取:最新版“小中高考-总复习”、最新试卷下载 证明:∵∠B+∠D=180°,∠A+∠C=180°,∴A、B、C、D四点共圆。 ∵DE⊥BA,DF⊥BC,∴∠AED=∠CFD=90°, ∵∠BAD+∠C=180°,∠BAD+∠DAE=180°,∴∠C=∠DAE,∴△DAE DCF; ∼△ 例1.(2024·江苏淮安·一模)探究式学习是新课程倡导的重要学习方式,我们做以下探究. 在 中, , , 是 边上一点,且 ( 为正整数), 、 分别是边 和边 上的点,连接 ,且 . 【初步感知】( )如图 ,当 时,兴趣小组探究得出结论: ,请写出证明过程. 【深入探究】( ) 如图 ,当 ,试探究线段 , , 之间的数量关系,请写出结论并证明; 请通过类比、归纳、猜想,探究出线段 , , 之间数量关系的一般结论(直接写出结论,不必 证明). 【拓展运用】( )如图 ,点 为靠近 的四等分点,连接 ,设 的中点为 ,若 ,求 点 从点 运动到点 的过程中,请直接写出点 运动的路径长. 【答案】( )证明见解析;( ) ,理由见解析; ;( ) 【分析】(1)由“ ”可证 ,可得 ,即可求解; (2)①先证 和 是等腰直角三角形,可得 , , , ,可求 , ,通过证明 ,可求 ,即可求解; ②分两种情况讨论,由相似三角形的性质可求解; (3)连接 , , ,由题意可得点 在线段 的垂直平分线上运动,由题意易得 22关注公众号:陆陆高分冲刺 ~领取:最新版“小中高考-总复习”、最新试卷下载 ,当点E与点A重合时,过点M作 于点H,当点E与点C重合时,假 设此时 的中点为N,即为原来的点M,进而得出点M的运动轨迹,然后问题可求解. 【详解】( )证明:连接 ,∵ , ,且当 时, , , , , , , ,∴∠EDF , , 在 和 中, ,∴ , , ,即 ; ( ) ,理由如下:过点 作 于 , 于 , , , , , , 和 是等腰直角三角形, , , , , , , ,设 ,则 , , , , , , , 四边形 是矩形, , , 又 , , , , ; 23关注公众号:陆陆高分冲刺 ~领取:最新版“小中高考-总复习”、最新试卷下载 如图4,当点 在射线 上时,过点 作 于 , 于 , , , , , , 和 是等腰直角三角 形, , , , , , ∴ , ,设 , , , , , , , , 四边形 是矩形, , , 又 , , , , ; 当点 在 的延长线上时,如图5, , , , , , 和 是等腰直角三角形, , , , , , ∴ , , 设 , , , , , , , , 四边形 是矩形, , , 又 , , , , ; 24关注公众号:陆陆高分冲刺 ~领取:最新版“小中高考-总复习”、最新试卷下载 综上所述:当点 在射线 上时, ,当点 在 延长线上时, ; (3)解:连接 , , ,如图(1), 的中点为 , , ,∴点 在线段 的垂直平分线上运动, ∵点D为靠近B的四等分点 ,∴ , 由(2)得 ,∴ 当点E与点A重合时,过点M作 于点H,如图, ∴ ,∴ ,∴ ∴ ,∴ , ∵ ,代入 得 ,∴ ; 当点E与点C重合时,假设此时 的中点为N,即为原来的点M,如图, ∵ ,代入 得 ,∴ , ∴ 如图,点M的运动轨迹即为 的长, ∵在Rt 中,∴ ∴ ∴点 运动的路径长为 【点睛】本题是三角形综合题,考查了相似三角形的判定和性质,等腰直角三角形的性质,全等三角形的 判定和性质等知识,利用分类讨论思想解决问题是解题的关键. 例2.(23-24九年级上·山西临汾·期中)综合与探究 问题解决:如图1, 中, ,过点C作 于点D,小明把一个三角板 25关注公众号:陆陆高分冲刺 ~领取:最新版“小中高考-总复习”、最新试卷下载 的直角顶点放置在点D处,两条直角边分别交线段 于点 E ,交线段 于点 F,在三角板绕着点D旋 转的过程中,若点E是 的中点,则点F也是 的中点吗?(注:可以用知识:直角三角形斜边上的 中线等于斜边的一半) “阳光”小组的解答是:若点E是 的中点,则点F也是 的中点. 理由如下:∵ 于点 D, . ∵点 E 是 的中点, . , . 是等边三角形. , . . 又 , . .即若点E是 的中点,则点F也是 的中点. 反思交流(1)“群星”小组认为在这个题中,可以去掉条件“ ”,其他条件不变(如图2),若 点E是 的中点,则点F也是 的中点.请你根据条件证明这个结论; 拓广探索(2)去掉条件“ ”,其他条件不变旋转过程中,若 (如图3),那么等式 成立吗?请说明理由;(3)去掉条件“ ”,其他条件不变.若点 E 是 上任意一点 (如图4),(2)中的结论还成立吗?请说明理由. 【答案】(1)若点E是 的中点,则点F也是 的中点,理由见解;(2) 成立,理由见解; (3)若点E是 上任意一点,(2)中的结论仍然成立,理由见解. 【分析】(1)由题意得 ,根据直角三角的性质和等腰三角形的性质即可得出结论; (2)证明四边形 是矩形,根据矩形的性质即可得出结论; (3)由题意证明 , , ,由相似三角形的性质即可得出结论. 【详解】解:(1) 于点D, , ∵点E是 的中点, , , , , , 又 , , , ,即点F是 的中点; 26关注公众号:陆陆高分冲刺 ~领取:最新版“小中高考-总复习”、最新试卷下载 (2)旋转过程中,若 ,那么等式 成立. 理由如下: ,∴四边形 是矩形, , , , ; (3)若点E是 上任意一点(如图4),(2)中的结论仍然成立. 理由如下: , , , ,同理证得 , 则 , ,同理证得 , 则 , ,即 . 【点睛】本题是相似形的综合题,考查了矩形的判定和性质,等腰三角形的判定与性质,相似三角形的判 定和性质,直角三角形的性质,旋转的性质,熟练掌握相似三角形的判定和性质是解题的关键. 例3.(2023·河南信阳·统考二模)如图,在Rt ABC中,∠ACB=90°, ,CD⊥AB于点D,点E △ 是直线AC上一动点,连接DE,过点D作FD⊥ED,交直线BC于点F. (1)探究发现:如图1,若m=n,点E在线段AC上,则 = ; (2)数学思考:①如图2,若点E在线段AC上,则 = (用含m,n的代数式表示); ②当点E在直线AC上运动时,①中的结论是否仍然成立?请仅就图3的情形给出证明; (3)拓展应用:若AC= ,BC=2 ,DF=4 ,请直接写出CE的长. 【答案】(1)1; ;(2)① ;② ;(3) 或 【分析】(1)先用等量代换判断出 , ,得到 ∽ ,再判断出 ∽ 即可;(2)方法和 一样,先用等量代换判断出 , ,得到 ∽ ,再判断出 ∽ 即可;(3)由 的结论得出 ∽ ,判断出 27关注公众号:陆陆高分冲刺 ~领取:最新版“小中高考-总复习”、最新试卷下载 ,求出DE,再利用勾股定理,计算出即可. 【详解】解: 当 时,即: , , , , , , , , 即 , ∽ , , , , ∽ , , , , , , , , , 即 , ∽ , , , , ∽ , , 成立 如图3, , ,又 , , , , , 即 , ∽ , , , , ∽ , , . 由 有, ∽ , 28关注公众号:陆陆高分冲刺 ~领取:最新版“小中高考-总复习”、最新试卷下载 , , , 如图4图5图6,连接EF.在 中, , , , 如图4,当E在线段AC上时, 在 中, , , 根据勾股定理得, , ,或 舍 如图5,当E在AC延长线上时, 在 中, , , 根据勾股定理得, , , ,或 舍 , ③如图6,当E在CA延长线上时, 在 中, , , 根据勾股定理得, , , ,或 (舍),综上: 或 . 【点睛】本题是三角形综合题,主要考查了三角形相似的性质和判定,勾股定理,判断相似是解决本题的 关键,求CE是本题的难点. 29关注公众号:陆陆高分冲刺 ~领取:最新版“小中高考-总复习”、最新试卷下载 例4.(23-24九年级上·四川成都·期中)如图1,等边 中, 为 边上的一点,且 , 分别为 上的两个动点,始终保持 . (1)若 ,求证:① ,② ; (2)①如图2,若 ,试探究 之间的数量关系,请写出证明过程; ②请通过类比、归纳、猜想,探究出 之间的数量关系的一般结论(用含有 的代数式直接写出, 不用证明);(3)如图3, 为 边上的中点, ,连接 ,当点 分别在线段 上运 动时,当 时,直接写出线段 扫过的图形的面积. 【答案】(1)①见解析;②见解析(2)① ;② ;(3) 【分析】(1)过点 分别作 的垂线,垂足分别为 ,连接 ,根据等边三角形的性质可得 , ,证明 ,根据全等三角形的性质,即可得证; ②根据含30度角的直角三角形的性质,得出 ,根据全等三角形的性质得出 ,则 ,即可得出 ; (2)①过 的中点 作 的平行线,交 于点 ,交 于点 ,当 时, ,根据 ,可得 是等腰直角三角形, ,根据(1)中结论可得 ,再根据 , ,即可得到 ;②分类讨论,根据①的方法证明即可; 30关注公众号:陆陆高分冲刺 ~领取:最新版“小中高考-总复习”、最新试卷下载 (3)如图,当 与 重合时,取 的中点 ,当 与 重合时,取 的中点 ,可得 是 等边三角形;则 扫过的图形的面积即为 的面积,可利用建系的方法表示出 的坐标,再 利用中点公式求出 ,最后利用勾股定理即可求出 的长度,进而即可求解. 【详解】(1)证明:①如图所示,过点 分别作 的垂线,垂足分别为 ,连接 , ∵ 是等边三角形,∴ , ∵ , ∴ , , 又∵ ,∴ , , ∴ ,∴ , ∴ ,即 , 在 中, ,∴ ,∴ ; ②证明:∵ ,∴ ,∴ , ∵ ,∴ ,∴ ,∴ ; (2)① 证明:如图,过 的中点 作 的平行线,交 于点 ,交 于点 , 31关注公众号:陆陆高分冲刺 ~领取:最新版“小中高考-总复习”、最新试卷下载 当 时, ,即 , 是 的中点, , , , , , , 是等边三角形, , ,根据(1)中的结论可得 , ; 故线段 之间的数量关系为 ; ②解:如图,在 上取一点 使得 ,过 作 的平行线,交 于点 ,交 于点 , 同①,可得 , , , , , 同①可得 , , 即线段 之间数量关系为 ; (3)解:如图,当 与 重合时,取 的中点 ,当 与 重合时,取 的中点 , 32关注公众号:陆陆高分冲刺 ~领取:最新版“小中高考-总复习”、最新试卷下载 当 与 重合时, ,则 ,∴ 是等边三角形, 当 与 重合时,同理可得 是等边三角形, ∵ , ∴ ,∴ , ∵ 分别为 的中点,∴ 则 ∴ ,则 又∵ ∴ ∴ ∴ 是等边三角形;则 扫过的图形的面积即为 的面积, , , ,以点 为原点, 所在直线为 轴建立平面直角坐标系,如图 所示, , 如图所示,过点 作 于点 , ∴ ∵ 是等边三角形,∴ , ∴ ,∴ ,过点 作 于点 ,则 , ∴ ,∴ , 即线段 扫过的图形的面积为 . 【点睛】本题考查了等腰三角形的性质,全等三角形的判定及性质,相似三角形的判定及性质,平行线的 性质,正确地画出图形,作出辅助线,找对边之间的关系是解题的关键. 33关注公众号:陆陆高分冲刺 ~领取:最新版“小中高考-总复习”、最新试卷下载 1.(2024·江苏·校考一模)如图,已知四边形 的对角互补,且 , , . 过顶点C作 于E,则 的值为( ) A. B.9 C.6 D.7.2 【答案】B 【分析】要求 的值,主要求出AE和BE的长即可,注意到AC是角平分线,于是作CF⊥AD交AD的 延长线于点F,可以证得两对全等三角形,结合已知数据可以求得AE和BE的长,从而解决问题. 【详解】解:作CF⊥AD交AD的延长线于点F,则∠CFD=90°, ∵CE⊥AB, ∴∠CEB=90°, ∴∠CFD=∠CEB=90°, ∵∠BAC=∠DAC, ∴AC平分∠BAD, ∴CE=CF, ∵四边形ABCD对角互补, ∴∠ABC+∠ADC=180°, 又∵∠CDF+∠ADC=180°, ∴∠CBE=∠CDF, 在△CBE和△CDF中 , ∴△CBE≌△CDF(AAS), ∴BE=DF, 在△AEC和△AFC中 , ∴△AEC≌△AFC(AAS), ∴AE=AF, 设BE=a,则DF=a, ∵AB=15,AD=12, ∴12+2a=15,得 , ∴AE=12+a= ,BE=a= , ∴ , 故选B. 34关注公众号:陆陆高分冲刺 ~领取:最新版“小中高考-总复习”、最新试卷下载 【点睛】本题考查全等三角形的判定与性质、角平分线的性质,解答本题的关键是巧妙构造全等三角形进 而得出等量关系. 2.(2024·安徽六安·三模)在数学探究活动中,某同学进行了如下操作:如图,在直角三角形纸片 内剪取一个直角 ,点 , , 分别在 , , 边上. 请完成如下探究:(1)当 为 的中点时,若 , (2)当 , 、 时 , 的长为 【答案】 / 度 【分析】(1)连接 ,根据 为 的中点,可得 , ,则 ,根据 , ,易得 四点在同一个圆上,根据圆周角定 理,则有 ; (2)过点 分别作 于点 ,作 于点 ,易证 ,可得 , 即 ,根据 ,有 , ,即 ;根据 ,得到 ,即 ,可得 ,即有 ,即 . 【详解】解:(1)如图1,连接 , ∵ 为 的中点,∴ ,∴ ,∴ , ∵ , ,∴ 四点在同一个圆上,∴ ; 35关注公众号:陆陆高分冲刺 ~领取:最新版“小中高考-总复习”、最新试卷下载 (2)如图2,过点 分别作 于点 ,作 于点 , 则有: , ∴ , ∴ , ∵ ∴ ,∴ ,∵ , ,∴ 又∵ ,∴ ,则有 ,即 . ∵ ,∴ ,即 ,∵ ,∴ ,即 . 【点睛】本题考查了四点共圆,圆周角定理,三角形的内角和,平角的性质,相似三角形的判定与性质, 勾股定理,直角三角形斜边上的中线性质,平行线的判定与性质,熟悉相关性质是解题的关键. 3.(2023·山西临汾·统考二模)在菱形 中, ,对角线 交于点 , 分别是 边上的点,且 与 交于点 ,则 的值为 . 【答案】 【分析】由菱形的性质及 可证 ,得 , ;由 36关注公众号:陆陆高分冲刺 ~领取:最新版“小中高考-总复习”、最新试卷下载 得 , ,于是 ,可得 ,进而求得答案. 【详解】∵ ∴ ∴ ∵四边形 是菱形,∴ , ∴ ∴ ∴ , 又∵ ∴ . , ∵ ∴ , ∴ . 设 , 则 , , ;故答案为: . 【点睛】本题考查菱形的性质,全等三角形的判定和性质,相似三角形的判定和性质,利用全等及相似得 到线段间的数量关系是解题的关键. 4.(23-24八年级上·山东临沂·阶段练习)如图, 为等边三角形,边长为4,点 为 的中点, ,其两边分别交 和 的延长线于 ,则 . 【答案】6 【分析】过点 作 ,设 与 交于点 ,证明 ,由全等三角形的性质可得 ,结合 ,可知 ,即可获得答案. 【详解】解:∵ 是等边三角形,边长为4,∴ , , 如图,过点 作 ,设 与 交于点 , 又∵ , ,∴ ,又∵点 为 的中点,且 , 37关注公众号:陆陆高分冲刺 ~领取:最新版“小中高考-总复习”、最新试卷下载 ∴ 是 的中位线,∴ , 在 和 中, ,∴ ,∴ , 又∵ , ∴ .故答案为:6. 【点睛】本题考查平行线的性质、等边三角形的性质、三角形中位线的性质、全等三角形的判定与性质、 三角形内角和定理等知识,熟练掌握相关知识并灵活运用、正确作出辅助线构建全等三角形是解题关键. 5.(23-24九年级上·湖北孝感·阶段练习)(情景呈现)画 ,并画 的平分线 . (I)把三角尺的直角顶点落在OC的任意一点 上,使三角尺的两条直角边分别与 的两边 , 垂直,垂足为 , (如图1).则 ;若把三角尺绕点 旋转(如图2),则 ________ . (选填:“<”、“>”或“=”) (理解应用)(2)在(1)的条件下,过点 作直线 ,分别交 , 于点 , ,如图3. ①图中全等三角形有________对.(不添加辅助线)②猜想 , , 之间的关系为________. (拓展延伸)(3)如图4,画 ,并画 的平分线 ,在 上任取一点 ,作 , 的两边分别与 , 相交于 , 两点, 与 相等吗?请说明理由. 【答案】(1)=;(2)①3;② ;(3)相等,理由见解析 【分析】(1)PE=PF,利用条件证明△PEM≌△PFN即可得出结论; (2)①根据等腰直角三角形的性质得到OP=PG=PH,证明△GPE≌△OPF(ASA),△EPO≌△FPH, △GPO≌△OPH,得到答案;②根据勾股定理,全等三角形的性质解答; (3)作PG⊥OA于G,PH⊥OB于H,证明△PGE≌△PHF,根据全等三角形的性质证明结论. 【详解】(1)如图2,过点P作PM⊥OA,PN⊥OB,垂足是M,N, ∴∠AOB=∠PME=∠PNF=90°, 38关注公众号:陆陆高分冲刺 ~领取:最新版“小中高考-总复习”、最新试卷下载 ∴∠MPN=90°, ∵OC是∠AOB的平分线,∴PM=PN,∵∠EPF=90°,∴∠MPE=∠FPN, 在△PEM和△PFN中, ,∴△PEM≌△PFN(ASA),∴PE=PF,故答案为:=; (2)①∵OC平分∠AOB,∴∠AOC=∠BOC=45°, ∵GH⊥OC,∴∠OGH=∠OHG=45°,∴OP=PG=PH,∵∠GPO=90°,∠EPF=90°,∴∠GPE=∠OPF, 在△GPE和△OPF中, ,∴△GPE≌△OPF(ASA),同理可证明△EPO≌△FPH, ∵ ,∴△GPO≌△OPH(SAS),∴全等三角形有3对,故答案为:3; ②GE2+FH2=EF2,理由如下:∵△GPE≌△OPF,∴GE=OF, ∵△EPO≌△FPH,∴FH=OE,在Rt EOF中,OF2+OE2=EF2,∴GE2+FH2=EF2,故答案为: GE2+FH2=EF2; △ (4)如图,作PG⊥OA于G,PH⊥OB于H, 在△OPG和△OPH中, ,∴△OPG≌△OPH,∴PG=PH, ∵∠AOB=60°,∠PGO=∠PHO=90°,∴∠GPH=120°,∵∠EPF=120°,∴∠GPH=∠EPF, ∴∠GPE=∠FPH, 39关注公众号:陆陆高分冲刺 ~领取:最新版“小中高考-总复习”、最新试卷下载 在△PGE和△PHF中, ,∴△PGE≌△PHF,∴PE=PF. 【点睛】本题考查几何变换综合题,全等三角形的判定和性质、角平分线的定义等知识,解题的关键是学 会添加常用辅助线,构造全等三角形解决问题. 6.(2023·辽宁沈阳·模拟预测)已知 是 中 的角平分线,点 , 分别在边 , 上, , , 与 的面积之和为 . (1)当 , , 时,如图1,若 , ,则 ______, ______; (2)如图2,当 时,①求证: ;②直接写出 与 , 的数量关系; (3)如图3,当 , , , 时,请直接写出 的大小. 【答案】(1) ,9;(2)①证明见解析;② ;(3) . 【分析】本题属于三角形综合题,考查了直角三角形的性质,旋转的性质,勾股定理,全等三角形的判定 和性质等知识,解题的关键是学会添加常用辅助线,构造全等三角形解决问题. (1)证明 , 都是等腰直角三角形即可解决问题; (2)①如图 中,过点 作 于点 , 于点 证明 ;②由 推出 ,把 绕点 逆时针旋转 得到右边 ,连接 ,延长 至点P,使 ,连接 ,证明 , ,可得 ,即可求解; 40关注公众号:陆陆高分冲刺 ~领取:最新版“小中高考-总复习”、最新试卷下载 (3)如图 中,过点 作 于点 , 于点 证明 ,推出 ,把 绕点顺时针旋转 得到 , , , ,过点 作 于点 ,利用含 角的直角三角形性质和勾股定理求出 ,可得结论. 【详解】(1)解:如图 中, , , , , 平分 , , , , , , 都是等腰直角三角形, , , ,故答案为: , ; (2)①证明:如图 中,过点 作 于点 , 于点 . , , 平分 , , , 四边形 是矩形, , 四边形 是正方形, , , , , ; ②解: , , , 把 绕点 逆时针旋转 得到右边 ,连接 ,延长 至点P,使 ,连接 , 则 , , , 又 , , , , , , , , , , ; 41关注公众号:陆陆高分冲刺 ~领取:最新版“小中高考-总复习”、最新试卷下载 (3)解:如图 中,过点 作 于点 , 于点 . , , 平分 , , , , , , , , , , 把 绕点 逆时针旋转 得到 ,则 , , , 过点 作 于点 , , , . 7.(23-24九年级上·北京朝阳·期中)如图, , 平分 ,点P为 上一个动点,过 点P作射线 交 于点E.以点P为旋转中心,将射线沿逆时针方向旋转 ,交 于点F. (1)根据题意补全图1;(2)如图1,若点E在OA上,用等式表示线段OE、OP和OF之间的数量关系,并证 明;(3)如图2,若点E在OA的反向延长线上,直接写出线段OE、OP和OF之间的数量关系. 【答案】(1)补图见解析(2) ,证明见解析(3) 【分析】(1)根据题意补全图形即可;(2)作 ,得到 ,证明 , 得到 ,即可得出结论;(3)证明方法与(2)类似. 【详解】(1)补图如下图: 42关注公众号:陆陆高分冲刺 ~领取:最新版“小中高考-总复习”、最新试卷下载 (2)作 交 于 , , , , , 平分 , , , , , , , 在 和 中, , , , , , ; (3)作 交 于 , , , 平分 , , , , , , , , , 在 和 中, , , , , , , . 【点睛】本题属于几何变换综合体,考查了全等三角形的判定与性质,等腰直角三角形的性质,添加辅助 线构造全等三角形是解题关键. 8.(2024·吉林长春·一模)【教材呈现】下图是华师版八年级上册数学教材第96页的部分内容. 我们已经知道角是轴对称图形,角平分线所在的直线是角的对称轴.如图所示, 是 的平分线, P是 上任一点,作 , ,垂足分别为点D和点E.将 沿 对折,我们发现 与 完全重合.由此即有:角平分线的性质定理角平分线上的点到角两边的距离相等. 43关注公众号:陆陆高分冲刺 ~领取:最新版“小中高考-总复习”、最新试卷下载 已知:如图所示, 是 的平分线,点P是 上的任意一点, , ,垂足分别为 点D和点E. 求证: . 分析:图中有两个直角三角形 和 ,只要证明这两个三角形全等,便可证得 . (1)请根据教材中的分析,结合图①,写出“角平分线的性质定理”完整的证明过程. 【定理应用】(2)如图②,已知 是 的平分线,点P是 上的任意一点,点D、E分别在边 上,连结 , .若 , ,则 的长为 ______. (3)如图③,在平行四边形 中, , 平分 交 于点E,连结 ,将 绕 点E旋转,当点C的对应点F落在边 上时,若 ,则四边形 的面积为______. 【答案】(1)详见解析;(2) ;(3) 【分析】(1)因为 是 的平分线,所以 ,因为 ,所以 ,因为 ,可得 ,即证得 ; (2)作 ,垂足分别为点M和点N,证 ,可得 , , ,因为 , ,可得 ,证 ,可得 ,因为 ,所以 ,即 , ,可得 的长;(3)证 ,可得 ,因为 ,所以 ,证 ,可得 ,已知 , 平分 ,可得 , ,求得 ,根据四边形 的面积=四边形 的面积、 的面积 的面积=2个 的面积,求得 的面积,可得四边形 44关注公众号:陆陆高分冲刺 ~领取:最新版“小中高考-总复习”、最新试卷下载 的面积. 【详解】解:(1)证明:∵ 是 的平分线,∴ , ∵ ,∴ ,∵ ,∴ ,∴ ; (2)作 ,垂足分别为点M和点N, ∵ 是 的平分线,∴ ,∵ ,∴ , ∵ ,∴ ,∴ , ∵ ,∴ ,∵ ,∴ , ∴ ,∴ ,∴ , ∵ ,∴ ,即 ,∴ ,故答案为:5; (3)作 ,垂足分别为点M和点N, 由于 绕点E旋转,点C的对应点F落在边 上,即 , ∵ 平分 , ,∴ , ∵ ,∴ ,∴ ,∵ ,∴ , ∵ ,∴ ,∴ , ∵ 平分 , ,∴ ,∴ ,∴ , ∵ ,∴四边形 的面积 , 45关注公众号:陆陆高分冲刺 ~领取:最新版“小中高考-总复习”、最新试卷下载 故答案为: . 9.(2024·北京·一模)在△ABC中,AB=AC,∠A=60°,点D是BC边的中点,作射线DE,与边AB交于 点E,射线DE绕点D顺时针旋转120°,与直线AC交于点F.(1)依题意将图1补全;(2)小华通过观 察、实验提出猜想:在点E运动的过程中,始终有DE=DF.小华把这个猜想与同学们进行交流,通过讨论, 形成了证明该猜想的几种想法: 想法1:由点D是BC边的中点,通过构造一边的平行线,利用全等三角形,可证DE=DF; 想法2:利用等边三角形的对称性,作点E关于线段AD的对称点P,由∠BAC与∠EDF互补,可得∠AED 与∠AFD互补,由等角对等边,可证DE=DF; 想法3:由等腰三角形三线合一,可得AD是∠BAC的角平分线,由角平分线定理,构造点D到AB,AC 的高,利用全等三角形,可证DE=DF……. 请你参考上面的想法,帮助小华证明DE=DF(选一种方法即可); (3)在点E运动的过程中,直接写出BE,CF,AB之间的数量关系. 【答案】(1)将图1补全见解析;(2)证明见解析; (3)数量关系:当点F在AC边上时, ;,当点F在AC延长线上时, . 【分析】(1)根据要求画出图形即可;(2)选择一种自己比较熟练的方法进行证明即可; (3)本题分点F在AC边上,点F在AC延长线上,两种情况分析即可. 【详解】解:(1)如图1, 46关注公众号:陆陆高分冲刺 ~领取:最新版“小中高考-总复习”、最新试卷下载 (2)想法1:证明:如图2,过D作 ,交AC于G, ∵点D是BC边的中点,∴DG= AB.∴△CDG是等边三角形.∴∠EDB+∠EDG=120°. ∵∠FDG+∠EDG=120°,∴∠EDB =∠FDG.∵BD=DG,∠B=∠FGD=60°,∴△BDE≌△GDF. ∴DE=DF. 想法2:证明:如图3,连接AD, ∵点D是BC边的中点,∴AD是△ABC的对称轴.作点E关于线段AD的对称点P,点P在边AC上, ∴△ADE≌△ADP.∴DE=DP,∠AED=∠APD.∵∠BAC+∠EDF=180°,∴∠AED+∠AFD=180°. ∵∠APD+∠DPF=180°,∴∠AFD=∠DPF.∴DP=DF.∴DE=DF. 想法3:证明:如图4,连接AD,过D作DM⊥AB于M,DN⊥AC于N, ∵点D是BC边的中点,∴AD平分∠BAC.∵DM⊥AB于M,DN⊥AC于N,∴DM=DN. ∵∠A=60°,∴∠MDE+∠EDN=120°.∵∠FDN+∠EDN=120°,∴∠MDE=∠FDN. ∴Rt MDE≌Rt NDF.∴DE=DF. △ △ (3)当点F在AC边上时, ; 证明:如图5中,过点D作DM⊥AB于M,作DN⊥AC于N. ∵∠B=∠C=60°,BD=DC, ∠BDM=∠CDN=30°, 在△BDM与△CDN中, , ∴△BDM≌△CDN, ∴BM=CN,DM=DN, 又∵∠EDF=120°=∠MDN, ∴∠EDM=∠NDF, 又∵∠EMD=∠FND=90°, ∴△EDM≌△FDN, ∴ME=NF, ∴BE+CF=BM+EM+NC-FN=2BM=BD= AB; 47关注公众号:陆陆高分冲刺 ~领取:最新版“小中高考-总复习”、最新试卷下载 当点F在AC延长线上时, .如图6, ∵∠B=∠C=60°,BD=DC,∠BDM=∠CDN=30°, ∴△BDM≌△CDN, ∴BM=CN,DM=DN, 又∵∠EDF=120°=∠MDN, ∴∠EDM=∠NDF, 又∵∠EMD=∠FND=90°, ∴△EDM≌△FDN, ∴ME=NF, ∴BE-CF=BM+EM-(FN-CN)=2BM=BD= AB 【点睛】本题的关键是等边三角形的性质和三角形全等的判定和性质得出结论,虽然本题的内容较多但是 题目难度并不大,所以要认真读题,第三问的问题要画出两种情况的图形,利用三角形全等的出结论即可. 10.(2023·陕西西安·模拟预测)问题提出(1)如图①,在 中, , , 平 分 , ,则点 到 的距离为__________. 问题探究(2)如图②, 中, , , ,点 为斜边 上一点,且 , 的两边交 于点 ,交 于点 ,若 ,求四边形 的面积. 问题解决(3)市政部门根据地形在某街道设计一个三角形赏花园如图③, 为赏花园的大致轮廓, 并将赏花园分成 、 和四边形 三部分,其中在四边形 区域内种植 平方米的 月季,在 和 两区域种植薰衣草,根据设计要求: ,点 、 、 分别在边 、 、 上,且 , ,为了节约种植成本,三角形赏花园 的面积是否存在最小 值,若存在,请求出 面积的最小值;若不存在,请说明由. 【答案】(1)4;(2) ;(3) 【分析】(1)如图①中,作 于 .证明 ,推出 , , 设 ,在 中,根据 ,构建方程即可解决问题. (2)如图②中,作 于 , 于 ,连接 . ,推出 , 48关注公众号:陆陆高分冲刺 ~领取:最新版“小中高考-总复习”、最新试卷下载 ,再利用面积法求出 , 的长即可解决问题. (3)存在.如图③中,作 于 , 于 .利用全等三角形的性质证明 是角平分线, 求出 的值,由 中, 是角平分线, , 是定值,可知当 是 的高时, 的面积最小,由此即可解决问题. 【详解】解:(1)如图①中,作 于 . 在 中, , , , , , 平分 , , , , , , , 平分 , , ,设 , 在 中, , ,解得: , ,故答案为:4. (2)如图②中,作 于 , 于 ,连接 . , 四边形 是矩形, , , , , , , , , 在 中, , , , , , , ,解得: , ; (3)存在.如图③中,作 于 , 于 . , , , , 49关注公众号:陆陆高分冲刺 ~领取:最新版“小中高考-总复习”、最新试卷下载 , , , , , , , 平分 , , 设 ,则 , , , , , , , 中, 是角平分线, , 是定值, 当 是 的高时, 的面积最小,此时 . 的面积的最小值 . 【点睛】本题属于四边形综合题,考查了四边形的面积,全等三角形的判定和性质,勾股定理等知识,解 题的关键是学会添加常用辅助线,构造全等三角形解决问题,属于中考压轴题. 11.(23-24九年级上·广东惠州·期中)在 中, , .将一块三角板的直角顶点 放在斜边 的中点 处,将三角板绕点 旋转,三角板的两直角边分别交边 、 于点D、E. (1)如图①,当 时,则 的值是________. (2)如图②,当 与 不垂直时,(1)中的结论是否还成立?若成立,请予以证明;若不成立,请说明 理由;(3)如图③,在 内作 ,使得 、 分别交 、 于点 、 ,连接 . 那么 的周长是否为定值?若是,求出定值;若不是,请说明理由. 【答案】(1)2(2)依然成立(3) 的周长为定值,且周长为2 【分析】(1)由等腰三角形的性质和 为斜边 的中点可知 , ,所以 的值可求; (2)结论成立.连接 ,通过证明 ≌ .可得 ,所以 ; (3) 的周长为定值,且周长为2.在 上截取 ,通过证明 ≌ ,得到 .所以 . 50关注公众号:陆陆高分冲刺 ~领取:最新版“小中高考-总复习”、最新试卷下载 【详解】(1)连 ∵P是 的中点, , ∴ ∵ ,∴ ∴四边形 是矩形, ∴ 又∵ ∴ ∴ ;故答案为:2; (2)结论成立.连接 ,如图②. 是等腰直角三角形, 是 的中点, , , . , . . 又 , . ≌ . , . (3) 的周长为定值,且周长为2.在 上截取 ,如图③, 由(2)可知: , , , , . , 又 , ≌ , . , , , . 的周长是2. 【点睛】此题比较复杂,综合考查全等三角形的判定与性质、矩形的判定与性质、图形的变换.综合性很 强,是一道不错的题目. 12.(2023·广东深圳·一模)(1)【探究发现】如图1,正方形 的对角线相交于点O,在正方形 绕点O旋转的过程中,边 与边 交于点M,边 与边 交于点N.证明: ; (2)【类比迁移】如图2,矩形 的对角线相交于点O,且 , ,在矩形 ,绕 点O旋转的过程中,边 与边 交于点M,边 与边 交于点N.若 ,求 的长; (3)【拓展应用】如图3,四边形 和四边形 都是平行四边形,且 , , 51关注公众号:陆陆高分冲刺 ~领取:最新版“小中高考-总复习”、最新试卷下载 , 是直角三角形,在 绕点O旋转的过程中,边 与边 交于点M,边 与边 交于点N.当 与 重叠部分的面积是 的面积的 时,请直接写出 的长. 【答案】(1)证明见解析(2) (3) 【分析】(1)根据正方形的性质证明三角形全等即可;(2)过点O作 的平行线交 于点E、交 于点P,过点N作 垂线交 于点Q,构造相似三角形 ,对应边成比例求 ,然后根 计算即可;(3)过点O作 的垂线交 于点H,用勾股定理求出 ,证 、 ,结合 与 重叠部分的面积是 的面积的 ,设 列出方程求出m,根据勾股定理求出 即可. 【详解】(1) 正方形 的对角线相交于点 ,在正方形 绕点 旋转的过程中,边 与边 交于点 ,边 与边 交于点 , , , ,即 , 在 和 中 , ; (2)如图,过点 作 的平行线交 于点 、交 于点 ,过点 作 垂线交 于点 , 52关注公众号:陆陆高分冲刺 ~领取:最新版“小中高考-总复习”、最新试卷下载 四边形 和四边形 都是矩形, , , , , , , , , , , , ,即 , , ; (3)如图,过点 作 的垂线交 于点 , 设 ,则 ,设 ,则 , , , , 又 , , , ,四边形 和四边形 都是平行四边形, 是直角三角形 ∴ , (有公共角且都有直角), ,∴ ,∵ ,即 , ∴ , ,设 ,则 , ∵ ,即 ,∴ , 与 重叠部分的面积是 的面积的 ,平行四边形对角线平分平行四边形的面积, ,即 , 53关注公众号:陆陆高分冲刺 ~领取:最新版“小中高考-总复习”、最新试卷下载 ∴ ,即 ,∴ ,∴ , ∴ . 【点睛】本题综合考查了全等三角形的证明、勾股定理、特殊四边形(平行四边形、矩形、正方形)的性 质、相似三角形,综合性强,熟练掌握相关知识、结合图象分析是解题的关键. 13.(2023·四川成都·统考中考真题)探究式学习是新课程倡导的重要学习方式,某兴趣小组拟做以下探 究. 在 中, ,D是 边上一点,且 (n为正整数),E是 边上的动点, 过点D作 的垂线交直线 于点F. 【初步感知】(1)如图1,当 时,兴趣小组探究得出结论: ,请写出证明过程. 【深入探究】(2)①如图2,当 ,且点F在线段 上时,试探究线段 之间的数量关系, 请写出结论并证明;②请通过类比、归纳、猜想,探究出线段 之间数量关系的一般结论(直 接写出结论,不必证明) 【拓展运用】(3)如图3,连接 ,设 的中点为M.若 ,求点E从点A运动到点C的过程中, 点M运动的路径长(用含n的代数式表示). 【答案】(1)见解析 (2)① ,证明过程略;②当点F在射线 上时, ,当点F在 延长线上时, (3) 54关注公众号:陆陆高分冲刺 ~领取:最新版“小中高考-总复习”、最新试卷下载 【分析】(1)连接 ,当 时, ,即 ,证明 ,从而得到 即 可解答;(2)①过 的中点 作 的平行线,交 于点 ,交 于点 ,当 时, , 根据 ,可得 是等腰直角三角形, ,根据(1)中结论可得 ,再 根据 , ,即可得到 ; ②分类讨论,即当点F在射线 上时;当点F在 延长线上时,画出图形,根据①中的原理即可解答; (3)如图,当 与 重合时,取 的中点 ,当 与 重合时,取 的中点 ,可得 的轨迹 长度即为 的长度,可利用建系的方法表示出 的坐标,再利用中点公式求出 ,最后 利用勾股定理即可求出 的长度. 【详解】(1)证明:如图,连接 ,当 时, ,即 , , , , , , ,即 , , , 在 与 中, , , , ; 55关注公众号:陆陆高分冲刺 ~领取:最新版“小中高考-总复习”、最新试卷下载 (2)① 证明:如图,过 的中点 作 的平行线,交 于点 ,交 于点 , 当 时, ,即 , 是 的中点, , , , , , , 是等腰直角三角形,且 , ,根据(1)中的结论可得 , ; 故线段 之间的数量关系为 ; ②解:当点F在射线 上时,如图,在 上取一点 使得 ,过 作 的平行线,交 于点 ,交 于点 ,同①,可得 , , , , , 同①可得 , , 即线段 之间数量关系为 ; 当点F在 延长线上时,如图,在 上取一点 使得 ,过 作 的平行线,交 于点 , 交 于点 ,连接 同(1)中原理,可证明 ,可得 , , , , ,同①可得 , 即线段 之间数量关系为 , 56关注公众号:陆陆高分冲刺 ~领取:最新版“小中高考-总复习”、最新试卷下载 综上所述,当点F在射线 上时, ;当点F在 延长线上时, ; (3)解:如图,当 与 重合时,取 的中点 ,当 与 重合时,取 的中点 ,可得 的 轨迹长度即为 的长度,如图,以点 为原点, 为 轴, 为 轴建立平面直角坐标系,过点 作 的垂线段,交 于点 ,过点 作 的垂线段,交 于点 , , , , , , , , 是 的中点, , , , , 根据(2)中的结论 , , , , , , . 57关注公众号:陆陆高分冲刺 ~领取:最新版“小中高考-总复习”、最新试卷下载 【点睛】本题考查了等腰三角形的性质,全等三角形的判定及性质,相似三角形的判定及性质,平行线的 性质,正确地画出图形,作出辅助线,找对边之间的关系是解题的关键. 14.(2023·辽宁沈阳·模拟预测)【问题探究】(1)如图 , 、 相交于点 ,连接 、 ,且 ,若 , , ,则 的长为______ ;(2)如图 , ,点 是 平分线上的一个定点,点 、 分别在射线 、 上,且 ,求证:四边形 的面积是定值; 【拓展运用】(3)如图 ,某创业青年小李租用一块形如四边形 的田地养蜂、产蜜与售蜜,其中 , , 米, 米, 米,点 为入口,点 在 上,且 , 小李计划过点 修一条垂直于 的笔直小路 ,将田地分为两部分,四边形 区域为蜂巢区,四边 形 区域为蜂源植物生长区,在点 处设立售蜜点,为了方便取蜜,计划再沿 修一条笔直的小路 ,直接写出小路 的长(小路的宽度忽略不计,结果保留根号) 【答案】(1)8;(2)证明见解析;(3) 米 【分析】(1)根据 字型模型证明两个三角形相似即可解答;(2)过点 分别作 、 的垂线,垂足 分别为 、 ,证明 ,可得 ,再证明 ,可得 ,然后利用含 度角的直角三角形和三角形面积公式即可解决问题;(3)过点 作 于 点 ,过点 作 的垂线,交 的延长线于点 ,可得四边形 是矩形,证明四边形 是正 方形,再过点 作 的垂线,交 的延长线于点 ,可得四边形 是矩形,证明 ,对应边成比例求出 的长,进而可以解决问题. 【详解】(1)解: , , ∽ , , , .故答案为: ; (2)证明:如图 ,过点 分别作 、 的垂线,垂足分别为 、 , , 58关注公众号:陆陆高分冲刺 ~领取:最新版“小中高考-总复习”、最新试卷下载 平分 , , , , , , , , , , , , 在 和 中, , , , , 在 中, , , , , 四边形 的面积 , , , 四边形 的面积 , 点 是 平分线上的一个定点,即 为定长, 四边形 的面积是定值; (3)解:如图 ,过点 作 于点 ,过点 作 的垂线,交 的延长线于点 , 则四边形 是矩形, , , , , , , , , , 四边形 是正方形, 过点 作 的垂线,交 的延长线于点 ,则四边形 是矩形, 米, 59关注公众号:陆陆高分冲刺 ~领取:最新版“小中高考-总复习”、最新试卷下载 米, 米 , 米 , , , , ,即 , 解得 米,在正方形 中, , 米,即小路 的长为 米. 【点睛】本题考查了矩形的判定与性质,正方形的判定与性质,全等三角形的判定与性质,相似三角形的 判定与性质,勾股定理,角平分线的性质,三角形的面积,利用角平分线的性质构造恰当的辅助线,熟练 掌握 字型模型相似三角形是解题的关键. 15.(2024·四川成都·二模)如图,在矩形 中, (n为正整数),点E是 边上一动点, P为 中点,连接 ,将射线 绕点P按逆时针方向旋转 ,与矩形的边交于点F. 【尝试初探】(1)在点E的运动过程中,当点F在 边上时,试探究线段 , 之间的数量关系,请 写出结论并证明; 【深入探究】(2)若 ,在点E的运动过程中,当点F在 边上时,求 的最小值; 【拓展运用】(3)若 ,设 的中点为M,求点E从点B运动到点C的过程中,点M运动的路程 (用含n的代数式表示). 【答案】(1) ,理由见解析;(2) 的最小值为 ;(3)点 运动的路程为 . 【分析】(1)过点 作 于 , 于 ,可证得 ,得出 ,再由 , ,得出: , ,可得: , ,则 60关注公众号:陆陆高分冲刺 ~领取:最新版“小中高考-总复习”、最新试卷下载 , ,结合已知即可求得答案;(2)设 , , ,过点 作 于 ,可证得 ,得出 ,进而推出 , ,则 ,即可求得答案;(3)确定以下几个关键点时点 的位置: 当点 在点 处时,当点 运动到点 处时,当点 在 边上时,即可求得答案. 【详解】解:(1)结论: ,理由:如图1,过点 作 于 , 于 , 则 , 四边形 是矩形, , , 四边形 是矩形, , , , 由旋转得: , ,即 , , , , 为 中点, , ∵ , , , , , , , , , , , ; (2)当 时, ,设 , , ,过点 作 于 ,如图2, 61关注公众号:陆陆高分冲刺 ~领取:最新版“小中高考-总复习”、最新试卷下载 则 , , , , , , , , , , , , 点 在 边上, ,即 , , , 的最小值为 ; (3) , , , 在 中, , 为 中点, , 当点 在点 处时,如图3, , , , ,即 , , 的中点为 , ;当点 运动到点 处时,如图4, 62关注公众号:陆陆高分冲刺 ~领取:最新版“小中高考-总复习”、最新试卷下载 是 斜边 的中点, , , , , ,即 , , 的中点为 , , ;当点 在 边上时,如图5,过点 作 于 , 则 , , , 点 运动的路程为 . 【点睛】本题是矩形综合题,主要考查了矩形的性质,旋转变换的性质,勾股定理,直角三角形性质,相 似三角形的判定与性质,解直角三角形等,综合性较强,要求学生有较强的识图和逻辑思维能力,属于中 考压轴题. 63关注公众号:陆陆高分冲刺 ~领取:最新版“小中高考-总复习”、最新试卷下载 64
基本 文件 流程 错误 SQL 调试
  1. 请求信息 : 2026-03-01 08:36:44 HTTP/1.1 GET : https://www.yeyulingfeng.com/wendang/330011.html
  2. 运行时间 : 0.085310s [ 吞吐率:11.72req/s ] 内存消耗:6,545.15kb 文件加载:144
  3. 缓存信息 : 0 reads,0 writes
  4. 会话信息 : SESSION_ID=aab366781f286c26057151a20c3876eb
  1. /yingpanguazai/ssd/ssd1/www/wwww.yeyulingfeng.com/public/index.php ( 0.79 KB )
  2. /yingpanguazai/ssd/ssd1/www/wwww.yeyulingfeng.com/vendor/autoload.php ( 0.17 KB )
  3. /yingpanguazai/ssd/ssd1/www/wwww.yeyulingfeng.com/vendor/composer/autoload_real.php ( 2.49 KB )
  4. /yingpanguazai/ssd/ssd1/www/wwww.yeyulingfeng.com/vendor/composer/platform_check.php ( 0.90 KB )
  5. /yingpanguazai/ssd/ssd1/www/wwww.yeyulingfeng.com/vendor/composer/ClassLoader.php ( 14.03 KB )
  6. /yingpanguazai/ssd/ssd1/www/wwww.yeyulingfeng.com/vendor/composer/autoload_static.php ( 6.05 KB )
  7. /yingpanguazai/ssd/ssd1/www/wwww.yeyulingfeng.com/vendor/topthink/think-helper/src/helper.php ( 8.34 KB )
  8. /yingpanguazai/ssd/ssd1/www/wwww.yeyulingfeng.com/vendor/topthink/think-validate/src/helper.php ( 2.19 KB )
  9. /yingpanguazai/ssd/ssd1/www/wwww.yeyulingfeng.com/vendor/ralouphie/getallheaders/src/getallheaders.php ( 1.60 KB )
  10. /yingpanguazai/ssd/ssd1/www/wwww.yeyulingfeng.com/vendor/topthink/think-orm/src/helper.php ( 1.47 KB )
  11. /yingpanguazai/ssd/ssd1/www/wwww.yeyulingfeng.com/vendor/topthink/think-orm/stubs/load_stubs.php ( 0.16 KB )
  12. /yingpanguazai/ssd/ssd1/www/wwww.yeyulingfeng.com/vendor/topthink/framework/src/think/Exception.php ( 1.69 KB )
  13. /yingpanguazai/ssd/ssd1/www/wwww.yeyulingfeng.com/vendor/topthink/think-container/src/Facade.php ( 2.71 KB )
  14. /yingpanguazai/ssd/ssd1/www/wwww.yeyulingfeng.com/vendor/symfony/deprecation-contracts/function.php ( 0.99 KB )
  15. /yingpanguazai/ssd/ssd1/www/wwww.yeyulingfeng.com/vendor/symfony/polyfill-mbstring/bootstrap.php ( 8.26 KB )
  16. /yingpanguazai/ssd/ssd1/www/wwww.yeyulingfeng.com/vendor/symfony/polyfill-mbstring/bootstrap80.php ( 9.78 KB )
  17. /yingpanguazai/ssd/ssd1/www/wwww.yeyulingfeng.com/vendor/symfony/var-dumper/Resources/functions/dump.php ( 1.49 KB )
  18. /yingpanguazai/ssd/ssd1/www/wwww.yeyulingfeng.com/vendor/topthink/think-dumper/src/helper.php ( 0.18 KB )
  19. /yingpanguazai/ssd/ssd1/www/wwww.yeyulingfeng.com/vendor/symfony/var-dumper/VarDumper.php ( 4.30 KB )
  20. /yingpanguazai/ssd/ssd1/www/wwww.yeyulingfeng.com/vendor/guzzlehttp/guzzle/src/functions_include.php ( 0.16 KB )
  21. /yingpanguazai/ssd/ssd1/www/wwww.yeyulingfeng.com/vendor/guzzlehttp/guzzle/src/functions.php ( 5.54 KB )
  22. /yingpanguazai/ssd/ssd1/www/wwww.yeyulingfeng.com/vendor/topthink/framework/src/think/App.php ( 15.30 KB )
  23. /yingpanguazai/ssd/ssd1/www/wwww.yeyulingfeng.com/vendor/topthink/think-container/src/Container.php ( 15.76 KB )
  24. /yingpanguazai/ssd/ssd1/www/wwww.yeyulingfeng.com/vendor/psr/container/src/ContainerInterface.php ( 1.02 KB )
  25. /yingpanguazai/ssd/ssd1/www/wwww.yeyulingfeng.com/app/provider.php ( 0.19 KB )
  26. /yingpanguazai/ssd/ssd1/www/wwww.yeyulingfeng.com/vendor/topthink/framework/src/think/Http.php ( 6.04 KB )
  27. /yingpanguazai/ssd/ssd1/www/wwww.yeyulingfeng.com/vendor/topthink/think-helper/src/helper/Str.php ( 7.29 KB )
  28. /yingpanguazai/ssd/ssd1/www/wwww.yeyulingfeng.com/vendor/topthink/framework/src/think/Env.php ( 4.68 KB )
  29. /yingpanguazai/ssd/ssd1/www/wwww.yeyulingfeng.com/app/common.php ( 0.03 KB )
  30. /yingpanguazai/ssd/ssd1/www/wwww.yeyulingfeng.com/vendor/topthink/framework/src/helper.php ( 18.78 KB )
  31. /yingpanguazai/ssd/ssd1/www/wwww.yeyulingfeng.com/vendor/topthink/framework/src/think/Config.php ( 5.54 KB )
  32. /yingpanguazai/ssd/ssd1/www/wwww.yeyulingfeng.com/config/alipay.php ( 3.59 KB )
  33. /yingpanguazai/ssd/ssd1/www/wwww.yeyulingfeng.com/vendor/topthink/framework/src/think/facade/Env.php ( 1.67 KB )
  34. /yingpanguazai/ssd/ssd1/www/wwww.yeyulingfeng.com/config/app.php ( 0.95 KB )
  35. /yingpanguazai/ssd/ssd1/www/wwww.yeyulingfeng.com/config/cache.php ( 0.78 KB )
  36. /yingpanguazai/ssd/ssd1/www/wwww.yeyulingfeng.com/config/console.php ( 0.23 KB )
  37. /yingpanguazai/ssd/ssd1/www/wwww.yeyulingfeng.com/config/cookie.php ( 0.56 KB )
  38. /yingpanguazai/ssd/ssd1/www/wwww.yeyulingfeng.com/config/database.php ( 2.48 KB )
  39. /yingpanguazai/ssd/ssd1/www/wwww.yeyulingfeng.com/config/filesystem.php ( 0.61 KB )
  40. /yingpanguazai/ssd/ssd1/www/wwww.yeyulingfeng.com/config/lang.php ( 0.91 KB )
  41. /yingpanguazai/ssd/ssd1/www/wwww.yeyulingfeng.com/config/log.php ( 1.35 KB )
  42. /yingpanguazai/ssd/ssd1/www/wwww.yeyulingfeng.com/config/middleware.php ( 0.19 KB )
  43. /yingpanguazai/ssd/ssd1/www/wwww.yeyulingfeng.com/config/route.php ( 1.89 KB )
  44. /yingpanguazai/ssd/ssd1/www/wwww.yeyulingfeng.com/config/session.php ( 0.57 KB )
  45. /yingpanguazai/ssd/ssd1/www/wwww.yeyulingfeng.com/config/trace.php ( 0.34 KB )
  46. /yingpanguazai/ssd/ssd1/www/wwww.yeyulingfeng.com/config/view.php ( 0.82 KB )
  47. /yingpanguazai/ssd/ssd1/www/wwww.yeyulingfeng.com/app/event.php ( 0.25 KB )
  48. /yingpanguazai/ssd/ssd1/www/wwww.yeyulingfeng.com/vendor/topthink/framework/src/think/Event.php ( 7.67 KB )
  49. /yingpanguazai/ssd/ssd1/www/wwww.yeyulingfeng.com/app/service.php ( 0.13 KB )
  50. /yingpanguazai/ssd/ssd1/www/wwww.yeyulingfeng.com/app/AppService.php ( 0.26 KB )
  51. /yingpanguazai/ssd/ssd1/www/wwww.yeyulingfeng.com/vendor/topthink/framework/src/think/Service.php ( 1.64 KB )
  52. /yingpanguazai/ssd/ssd1/www/wwww.yeyulingfeng.com/vendor/topthink/framework/src/think/Lang.php ( 7.35 KB )
  53. /yingpanguazai/ssd/ssd1/www/wwww.yeyulingfeng.com/vendor/topthink/framework/src/lang/zh-cn.php ( 13.70 KB )
  54. /yingpanguazai/ssd/ssd1/www/wwww.yeyulingfeng.com/vendor/topthink/framework/src/think/initializer/Error.php ( 3.31 KB )
  55. /yingpanguazai/ssd/ssd1/www/wwww.yeyulingfeng.com/vendor/topthink/framework/src/think/initializer/RegisterService.php ( 1.33 KB )
  56. /yingpanguazai/ssd/ssd1/www/wwww.yeyulingfeng.com/vendor/services.php ( 0.14 KB )
  57. /yingpanguazai/ssd/ssd1/www/wwww.yeyulingfeng.com/vendor/topthink/framework/src/think/service/PaginatorService.php ( 1.52 KB )
  58. /yingpanguazai/ssd/ssd1/www/wwww.yeyulingfeng.com/vendor/topthink/framework/src/think/service/ValidateService.php ( 0.99 KB )
  59. /yingpanguazai/ssd/ssd1/www/wwww.yeyulingfeng.com/vendor/topthink/framework/src/think/service/ModelService.php ( 2.04 KB )
  60. /yingpanguazai/ssd/ssd1/www/wwww.yeyulingfeng.com/vendor/topthink/think-trace/src/Service.php ( 0.77 KB )
  61. /yingpanguazai/ssd/ssd1/www/wwww.yeyulingfeng.com/vendor/topthink/framework/src/think/Middleware.php ( 6.72 KB )
  62. /yingpanguazai/ssd/ssd1/www/wwww.yeyulingfeng.com/vendor/topthink/framework/src/think/initializer/BootService.php ( 0.77 KB )
  63. /yingpanguazai/ssd/ssd1/www/wwww.yeyulingfeng.com/vendor/topthink/think-orm/src/Paginator.php ( 11.86 KB )
  64. /yingpanguazai/ssd/ssd1/www/wwww.yeyulingfeng.com/vendor/topthink/think-validate/src/Validate.php ( 63.20 KB )
  65. /yingpanguazai/ssd/ssd1/www/wwww.yeyulingfeng.com/vendor/topthink/think-orm/src/Model.php ( 23.55 KB )
  66. /yingpanguazai/ssd/ssd1/www/wwww.yeyulingfeng.com/vendor/topthink/think-orm/src/model/concern/Attribute.php ( 21.05 KB )
  67. /yingpanguazai/ssd/ssd1/www/wwww.yeyulingfeng.com/vendor/topthink/think-orm/src/model/concern/AutoWriteData.php ( 4.21 KB )
  68. /yingpanguazai/ssd/ssd1/www/wwww.yeyulingfeng.com/vendor/topthink/think-orm/src/model/concern/Conversion.php ( 6.44 KB )
  69. /yingpanguazai/ssd/ssd1/www/wwww.yeyulingfeng.com/vendor/topthink/think-orm/src/model/concern/DbConnect.php ( 5.16 KB )
  70. /yingpanguazai/ssd/ssd1/www/wwww.yeyulingfeng.com/vendor/topthink/think-orm/src/model/concern/ModelEvent.php ( 2.33 KB )
  71. /yingpanguazai/ssd/ssd1/www/wwww.yeyulingfeng.com/vendor/topthink/think-orm/src/model/concern/RelationShip.php ( 28.29 KB )
  72. /yingpanguazai/ssd/ssd1/www/wwww.yeyulingfeng.com/vendor/topthink/think-helper/src/contract/Arrayable.php ( 0.09 KB )
  73. /yingpanguazai/ssd/ssd1/www/wwww.yeyulingfeng.com/vendor/topthink/think-helper/src/contract/Jsonable.php ( 0.13 KB )
  74. /yingpanguazai/ssd/ssd1/www/wwww.yeyulingfeng.com/vendor/topthink/think-orm/src/model/contract/Modelable.php ( 0.09 KB )
  75. /yingpanguazai/ssd/ssd1/www/wwww.yeyulingfeng.com/vendor/topthink/framework/src/think/Db.php ( 2.88 KB )
  76. /yingpanguazai/ssd/ssd1/www/wwww.yeyulingfeng.com/vendor/topthink/think-orm/src/DbManager.php ( 8.52 KB )
  77. /yingpanguazai/ssd/ssd1/www/wwww.yeyulingfeng.com/vendor/topthink/framework/src/think/Log.php ( 6.28 KB )
  78. /yingpanguazai/ssd/ssd1/www/wwww.yeyulingfeng.com/vendor/topthink/framework/src/think/Manager.php ( 3.92 KB )
  79. /yingpanguazai/ssd/ssd1/www/wwww.yeyulingfeng.com/vendor/psr/log/src/LoggerTrait.php ( 2.69 KB )
  80. /yingpanguazai/ssd/ssd1/www/wwww.yeyulingfeng.com/vendor/psr/log/src/LoggerInterface.php ( 2.71 KB )
  81. /yingpanguazai/ssd/ssd1/www/wwww.yeyulingfeng.com/vendor/topthink/framework/src/think/Cache.php ( 4.92 KB )
  82. /yingpanguazai/ssd/ssd1/www/wwww.yeyulingfeng.com/vendor/psr/simple-cache/src/CacheInterface.php ( 4.71 KB )
  83. /yingpanguazai/ssd/ssd1/www/wwww.yeyulingfeng.com/vendor/topthink/think-helper/src/helper/Arr.php ( 16.63 KB )
  84. /yingpanguazai/ssd/ssd1/www/wwww.yeyulingfeng.com/vendor/topthink/framework/src/think/cache/driver/File.php ( 7.84 KB )
  85. /yingpanguazai/ssd/ssd1/www/wwww.yeyulingfeng.com/vendor/topthink/framework/src/think/cache/Driver.php ( 9.03 KB )
  86. /yingpanguazai/ssd/ssd1/www/wwww.yeyulingfeng.com/vendor/topthink/framework/src/think/contract/CacheHandlerInterface.php ( 1.99 KB )
  87. /yingpanguazai/ssd/ssd1/www/wwww.yeyulingfeng.com/app/Request.php ( 0.09 KB )
  88. /yingpanguazai/ssd/ssd1/www/wwww.yeyulingfeng.com/vendor/topthink/framework/src/think/Request.php ( 55.78 KB )
  89. /yingpanguazai/ssd/ssd1/www/wwww.yeyulingfeng.com/app/middleware.php ( 0.25 KB )
  90. /yingpanguazai/ssd/ssd1/www/wwww.yeyulingfeng.com/vendor/topthink/framework/src/think/Pipeline.php ( 2.61 KB )
  91. /yingpanguazai/ssd/ssd1/www/wwww.yeyulingfeng.com/vendor/topthink/think-trace/src/TraceDebug.php ( 3.40 KB )
  92. /yingpanguazai/ssd/ssd1/www/wwww.yeyulingfeng.com/vendor/topthink/framework/src/think/middleware/SessionInit.php ( 1.94 KB )
  93. /yingpanguazai/ssd/ssd1/www/wwww.yeyulingfeng.com/vendor/topthink/framework/src/think/Session.php ( 1.80 KB )
  94. /yingpanguazai/ssd/ssd1/www/wwww.yeyulingfeng.com/vendor/topthink/framework/src/think/session/driver/File.php ( 6.27 KB )
  95. /yingpanguazai/ssd/ssd1/www/wwww.yeyulingfeng.com/vendor/topthink/framework/src/think/contract/SessionHandlerInterface.php ( 0.87 KB )
  96. /yingpanguazai/ssd/ssd1/www/wwww.yeyulingfeng.com/vendor/topthink/framework/src/think/session/Store.php ( 7.12 KB )
  97. /yingpanguazai/ssd/ssd1/www/wwww.yeyulingfeng.com/vendor/topthink/framework/src/think/Route.php ( 23.73 KB )
  98. /yingpanguazai/ssd/ssd1/www/wwww.yeyulingfeng.com/vendor/topthink/framework/src/think/route/RuleName.php ( 5.75 KB )
  99. /yingpanguazai/ssd/ssd1/www/wwww.yeyulingfeng.com/vendor/topthink/framework/src/think/route/Domain.php ( 2.53 KB )
  100. /yingpanguazai/ssd/ssd1/www/wwww.yeyulingfeng.com/vendor/topthink/framework/src/think/route/RuleGroup.php ( 22.43 KB )
  101. /yingpanguazai/ssd/ssd1/www/wwww.yeyulingfeng.com/vendor/topthink/framework/src/think/route/Rule.php ( 26.95 KB )
  102. /yingpanguazai/ssd/ssd1/www/wwww.yeyulingfeng.com/vendor/topthink/framework/src/think/route/RuleItem.php ( 9.78 KB )
  103. /yingpanguazai/ssd/ssd1/www/wwww.yeyulingfeng.com/route/app.php ( 3.52 KB )
  104. /yingpanguazai/ssd/ssd1/www/wwww.yeyulingfeng.com/vendor/topthink/framework/src/think/facade/Route.php ( 4.70 KB )
  105. /yingpanguazai/ssd/ssd1/www/wwww.yeyulingfeng.com/vendor/topthink/framework/src/think/route/dispatch/Controller.php ( 4.74 KB )
  106. /yingpanguazai/ssd/ssd1/www/wwww.yeyulingfeng.com/vendor/topthink/framework/src/think/route/Dispatch.php ( 10.44 KB )
  107. /yingpanguazai/ssd/ssd1/www/wwww.yeyulingfeng.com/app/controller/Index.php ( 10.53 KB )
  108. /yingpanguazai/ssd/ssd1/www/wwww.yeyulingfeng.com/app/BaseController.php ( 2.05 KB )
  109. /yingpanguazai/ssd/ssd1/www/wwww.yeyulingfeng.com/vendor/topthink/think-orm/src/facade/Db.php ( 0.93 KB )
  110. /yingpanguazai/ssd/ssd1/www/wwww.yeyulingfeng.com/vendor/topthink/think-orm/src/db/connector/Mysql.php ( 5.44 KB )
  111. /yingpanguazai/ssd/ssd1/www/wwww.yeyulingfeng.com/vendor/topthink/think-orm/src/db/PDOConnection.php ( 52.47 KB )
  112. /yingpanguazai/ssd/ssd1/www/wwww.yeyulingfeng.com/vendor/topthink/think-orm/src/db/Connection.php ( 8.39 KB )
  113. /yingpanguazai/ssd/ssd1/www/wwww.yeyulingfeng.com/vendor/topthink/think-orm/src/db/ConnectionInterface.php ( 4.57 KB )
  114. /yingpanguazai/ssd/ssd1/www/wwww.yeyulingfeng.com/vendor/topthink/think-orm/src/db/builder/Mysql.php ( 16.58 KB )
  115. /yingpanguazai/ssd/ssd1/www/wwww.yeyulingfeng.com/vendor/topthink/think-orm/src/db/Builder.php ( 24.06 KB )
  116. /yingpanguazai/ssd/ssd1/www/wwww.yeyulingfeng.com/vendor/topthink/think-orm/src/db/BaseBuilder.php ( 27.50 KB )
  117. /yingpanguazai/ssd/ssd1/www/wwww.yeyulingfeng.com/vendor/topthink/think-orm/src/db/Query.php ( 15.71 KB )
  118. /yingpanguazai/ssd/ssd1/www/wwww.yeyulingfeng.com/vendor/topthink/think-orm/src/db/BaseQuery.php ( 45.13 KB )
  119. /yingpanguazai/ssd/ssd1/www/wwww.yeyulingfeng.com/vendor/topthink/think-orm/src/db/concern/TimeFieldQuery.php ( 7.43 KB )
  120. /yingpanguazai/ssd/ssd1/www/wwww.yeyulingfeng.com/vendor/topthink/think-orm/src/db/concern/AggregateQuery.php ( 3.26 KB )
  121. /yingpanguazai/ssd/ssd1/www/wwww.yeyulingfeng.com/vendor/topthink/think-orm/src/db/concern/ModelRelationQuery.php ( 20.07 KB )
  122. /yingpanguazai/ssd/ssd1/www/wwww.yeyulingfeng.com/vendor/topthink/think-orm/src/db/concern/ParamsBind.php ( 3.66 KB )
  123. /yingpanguazai/ssd/ssd1/www/wwww.yeyulingfeng.com/vendor/topthink/think-orm/src/db/concern/ResultOperation.php ( 7.01 KB )
  124. /yingpanguazai/ssd/ssd1/www/wwww.yeyulingfeng.com/vendor/topthink/think-orm/src/db/concern/WhereQuery.php ( 19.37 KB )
  125. /yingpanguazai/ssd/ssd1/www/wwww.yeyulingfeng.com/vendor/topthink/think-orm/src/db/concern/JoinAndViewQuery.php ( 7.11 KB )
  126. /yingpanguazai/ssd/ssd1/www/wwww.yeyulingfeng.com/vendor/topthink/think-orm/src/db/concern/TableFieldInfo.php ( 2.63 KB )
  127. /yingpanguazai/ssd/ssd1/www/wwww.yeyulingfeng.com/vendor/topthink/think-orm/src/db/concern/Transaction.php ( 2.77 KB )
  128. /yingpanguazai/ssd/ssd1/www/wwww.yeyulingfeng.com/vendor/topthink/framework/src/think/log/driver/File.php ( 5.96 KB )
  129. /yingpanguazai/ssd/ssd1/www/wwww.yeyulingfeng.com/vendor/topthink/framework/src/think/contract/LogHandlerInterface.php ( 0.86 KB )
  130. /yingpanguazai/ssd/ssd1/www/wwww.yeyulingfeng.com/vendor/topthink/framework/src/think/log/Channel.php ( 3.89 KB )
  131. /yingpanguazai/ssd/ssd1/www/wwww.yeyulingfeng.com/vendor/topthink/framework/src/think/event/LogRecord.php ( 1.02 KB )
  132. /yingpanguazai/ssd/ssd1/www/wwww.yeyulingfeng.com/vendor/topthink/think-helper/src/Collection.php ( 16.47 KB )
  133. /yingpanguazai/ssd/ssd1/www/wwww.yeyulingfeng.com/vendor/topthink/framework/src/think/facade/View.php ( 1.70 KB )
  134. /yingpanguazai/ssd/ssd1/www/wwww.yeyulingfeng.com/vendor/topthink/framework/src/think/View.php ( 4.39 KB )
  135. /yingpanguazai/ssd/ssd1/www/wwww.yeyulingfeng.com/vendor/topthink/framework/src/think/Response.php ( 8.81 KB )
  136. /yingpanguazai/ssd/ssd1/www/wwww.yeyulingfeng.com/vendor/topthink/framework/src/think/response/View.php ( 3.29 KB )
  137. /yingpanguazai/ssd/ssd1/www/wwww.yeyulingfeng.com/vendor/topthink/framework/src/think/Cookie.php ( 6.06 KB )
  138. /yingpanguazai/ssd/ssd1/www/wwww.yeyulingfeng.com/vendor/topthink/think-view/src/Think.php ( 8.38 KB )
  139. /yingpanguazai/ssd/ssd1/www/wwww.yeyulingfeng.com/vendor/topthink/framework/src/think/contract/TemplateHandlerInterface.php ( 1.60 KB )
  140. /yingpanguazai/ssd/ssd1/www/wwww.yeyulingfeng.com/vendor/topthink/think-template/src/Template.php ( 46.61 KB )
  141. /yingpanguazai/ssd/ssd1/www/wwww.yeyulingfeng.com/vendor/topthink/think-template/src/template/driver/File.php ( 2.41 KB )
  142. /yingpanguazai/ssd/ssd1/www/wwww.yeyulingfeng.com/vendor/topthink/think-template/src/template/contract/DriverInterface.php ( 0.86 KB )
  143. /yingpanguazai/ssd/ssd1/www/wwww.yeyulingfeng.com/runtime/temp/10a0c909b6afa23b5a52a2e2d58c3c0f.php ( 21.70 KB )
  144. /yingpanguazai/ssd/ssd1/www/wwww.yeyulingfeng.com/vendor/topthink/think-trace/src/Html.php ( 4.42 KB )
  1. CONNECT:[ UseTime:0.000515s ] mysql:host=127.0.0.1;port=3306;dbname=wenku;charset=utf8mb4
  2. SHOW FULL COLUMNS FROM `fenlei` [ RunTime:0.000982s ]
  3. SELECT * FROM `fenlei` WHERE `fid` = 0 [ RunTime:0.000343s ]
  4. SELECT * FROM `fenlei` WHERE `fid` = 63 [ RunTime:0.000252s ]
  5. SHOW FULL COLUMNS FROM `set` [ RunTime:0.000485s ]
  6. SELECT * FROM `set` [ RunTime:0.000193s ]
  7. SHOW FULL COLUMNS FROM `wendang` [ RunTime:0.000532s ]
  8. SELECT * FROM `wendang` WHERE `id` = 330011 LIMIT 1 [ RunTime:0.000555s ]
  9. UPDATE `wendang` SET `liulancishu` = 2 WHERE `id` = 330011 [ RunTime:0.001608s ]
  10. UPDATE `wendang` SET `lasttime` = 1772325404 WHERE `id` = 330011 [ RunTime:0.000467s ]
  11. SELECT * FROM `wendang` WHERE `id` < 330011 ORDER BY `id` DESC LIMIT 1 [ RunTime:0.000465s ]
  12. SELECT * FROM `wendang` WHERE `id` > 330011 ORDER BY `id` ASC LIMIT 1 [ RunTime:0.001180s ]
  13. SELECT * FROM `wendang` WHERE `id` <> 330011 ORDER BY `id` DESC LIMIT 10 [ RunTime:0.001300s ]
  14. SELECT * FROM `wendang` WHERE `id` <> 330011 ORDER BY `id` DESC LIMIT 10,10 [ RunTime:0.001170s ]
  15. SELECT * FROM `wendang` WHERE `id` <> 330011 ORDER BY `id` DESC LIMIT 20,10 [ RunTime:0.003015s ]
0.086958s