当前位置:首页>文档>2013年高考真题数学文(山东卷)(解析版)_全国卷+地方卷_2.数学_1.数学高考真题试卷_2008-2020年_地方卷_山东高考数学08-22_A4版

2013年高考真题数学文(山东卷)(解析版)_全国卷+地方卷_2.数学_1.数学高考真题试卷_2008-2020年_地方卷_山东高考数学08-22_A4版

  • 2026-03-31 17:02:10 2026-03-05 11:37:25

文档预览

2013年高考真题数学文(山东卷)(解析版)_全国卷+地方卷_2.数学_1.数学高考真题试卷_2008-2020年_地方卷_山东高考数学08-22_A4版
2013年高考真题数学文(山东卷)(解析版)_全国卷+地方卷_2.数学_1.数学高考真题试卷_2008-2020年_地方卷_山东高考数学08-22_A4版
2013年高考真题数学文(山东卷)(解析版)_全国卷+地方卷_2.数学_1.数学高考真题试卷_2008-2020年_地方卷_山东高考数学08-22_A4版
2013年高考真题数学文(山东卷)(解析版)_全国卷+地方卷_2.数学_1.数学高考真题试卷_2008-2020年_地方卷_山东高考数学08-22_A4版
2013年高考真题数学文(山东卷)(解析版)_全国卷+地方卷_2.数学_1.数学高考真题试卷_2008-2020年_地方卷_山东高考数学08-22_A4版
2013年高考真题数学文(山东卷)(解析版)_全国卷+地方卷_2.数学_1.数学高考真题试卷_2008-2020年_地方卷_山东高考数学08-22_A4版
2013年高考真题数学文(山东卷)(解析版)_全国卷+地方卷_2.数学_1.数学高考真题试卷_2008-2020年_地方卷_山东高考数学08-22_A4版
2013年高考真题数学文(山东卷)(解析版)_全国卷+地方卷_2.数学_1.数学高考真题试卷_2008-2020年_地方卷_山东高考数学08-22_A4版
2013年高考真题数学文(山东卷)(解析版)_全国卷+地方卷_2.数学_1.数学高考真题试卷_2008-2020年_地方卷_山东高考数学08-22_A4版
2013年高考真题数学文(山东卷)(解析版)_全国卷+地方卷_2.数学_1.数学高考真题试卷_2008-2020年_地方卷_山东高考数学08-22_A4版
2013年高考真题数学文(山东卷)(解析版)_全国卷+地方卷_2.数学_1.数学高考真题试卷_2008-2020年_地方卷_山东高考数学08-22_A4版
2013年高考真题数学文(山东卷)(解析版)_全国卷+地方卷_2.数学_1.数学高考真题试卷_2008-2020年_地方卷_山东高考数学08-22_A4版

文档信息

文档格式
doc
文档大小
1.579 MB
文档页数
12 页
上传时间
2026-03-05 11:37:25

文档内容

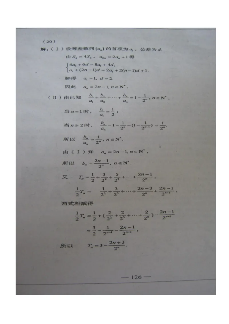
2013 年山东省普通高等学校招生全国统一考试 文科数学 参考公式:如果事件A,B互斥,那么P(AB)  P(A)P(B) 一.选择题:本题共12个小题,每题5分,共60分。 (2i)2 (1)、复数z  (i为虚数单位),则| z| i (A)25 (B) 41 (C)6 (D) 5 (2) 、 已 知 集 合 A、B均 为 全 集 U {1,2,3,4}的 子 集 , 且 � U (A  B){4},B {1,2}, 则 A � B   U (A){3} (B){4} (C){3,4} (D) 1 (3)、已知函数 f(x)为奇函数,且当x 0时, f(x)  x2  , x 则 f(1)  (A)2 (B)1 (C)0 (D)-2 (4)、一个四棱锥的侧棱长都相等,底面是正方形, 其正(主)视图如右图所示该四棱锥侧面积和体积分别是 8 8 (A)4 5,8 (B) 4 5, (C) 4( 51), (D) 8,8 3 3 1 (5)、函数 f(x) 12x  的定义域为 x3 (A)(-3,0] (B) (-3,1] (C) (,3)  (3,0] (D) (,3)  (3,1] (6)、执行右边的程序框图,若第一次输入的a的值 为-1.2,第二次输入的a的值为1.2,则第一次、 第二次输出的a的值分别为 (A)0.2,0.2 (B) 0.2,0.8 (C) 0.8,0.2 (D) 0.8,0.8 (7)、ABC的内角A、B、C 的对边分别是a、b、c, 若B2A,a1,b 3,则c (A) 2 3 (B) 2 (C) 2 (D)1 (8)、给定两个命题 p,q,p是q的必要而不充分条件,则 p是q (A)充分而不必要条件 (B)必要而不充分条件 (C)充要条件 (D)既不充分也不必要条件 (9)、函数y  xcosxsinx的图象大致为(10)、将某选手的9个得分去掉1个最高分,去掉1个最低分,7个剩余分数的平均分为91,现场做 的9个分数的茎叶图后来有一个数据模糊,无法辨认,在图中以x表示: 8 7 7 9 4 0 1 0 9 x1 则7个剩余分数的方差为 116 36 6 7 (A) (B) (C)36 (D) 9 7 7 1 x2 (11)、抛物线C : y  x2(p 0)的焦点与双曲线C :  y2 1的右焦点的连线交C 于第一象 1 2p 2 3 1 限的点M,若C 在点M处的切线平行于C 的一条渐近线,则 p = 1 2 3 3 2 3 4 3 (A) (B) (C) (D) 16 8 3 3 z (12)、设正实数x,y,z满足x2 3xy4y2  z  0,则当 取得最大值时,x2yz的最大值为 xy 9 9 (A)0 (B) (C)2 (D) 8 4 二.填空题:本大题共4小题,每小题4分,共16分 (13)、过点(3,1)作圆(x2)2 (y2)2 4的弦,其中最短的弦长为__________ 2x3y60  (14)、在平面直角坐标系xOy中,M 为不等式组x y20 所表示的区域上一动点,则直线  y0  OM 的最小值为_______   (15)、在平面直角坐标系xOy中,已知OA(1,t),OB (2,2),若ABO90o,则实数t的值 为______ 0, (0 x1) (16).定义“正对数”:ln x , lnx,(x1) 现有四个命题: ①若a 0,b 0,则ln(ab) bln a; ②若a 0,b 0,则ln(ab)  ln aln b a ③若a 0,b 0,则ln( ) ln aln b b ④若a 0,b 0,则ln(ab) ln aln bln2 其中的真命题有____________(写出所有真命题的序号) 三.解答题:本大题共6小题,共74分,(17)(本小题满分12分) 某小组共有 A、B、C、D、E五位同学,他们的身高(单位:米)以及体重指标(单位:千 克/米2) 如下表所示: A B C D E 身高 1.69 1.73 1.75 1.79 1.82 体重指标 19.2 25.1 18.5 23.3 20.9 (Ⅰ)从该小组身高低于1.80的同学中任选2人,求选到的2人身高都在1.78以下的概率 (Ⅱ)从该小组同学中任选2人,求选到的2人的身高都在1.70以上且体重指标都在[18.5,23.9)中 的概率 (18)(本小题满分12分) 3 设函数 f(x)  3sin2xsinxcosx (0),且 y  f(x)的图象的一个对称中心 2  到最近的对称轴的距离为 , 4 (Ⅰ)求的值 3 (Ⅱ)求 f(x)在区间[, ]上的最大值和最小值 2 (19)(本小题满分12分) 如图,四棱锥PABCD中,AB  AC,AB  PA, AB∥CD,AB 2CD,E,F,G,M,N 分别为 PB,AB,BC,PD,PC 的中点 (Ⅰ)求证:CE∥平面PAD (Ⅱ)求证:平面EFG 平面EMN (20)(本小题满分12分)设等差数列  a  的前n项和为S ,且S  4S ,a  2a 1 n n 4 2 2n n   (Ⅰ)求数列 a 的通项公式 n b b b 1 (Ⅱ)设数列  b  满足 1  2    n 1 ,nN* ,求  b  的前n项和T n a a a 2n n n 1 2 n (21)(本小题满分12分) 已知函数 f(x)ax2 bxlnx(a,bR) (Ⅰ)设a0,求 f(x)的单调区间 (Ⅱ) 设a0,且对于任意x0, f(x) f(1)。试比较lna与2b的大小 (22)(本小题满分14分) 在平面直角坐标系xOy中,已知椭圆C的中心在原点O,焦点在x轴上,短轴长为2,离心率为 2 2 (I)求椭圆C的方程 6 (II)A,B为椭圆C上满足AOB的面积为 的任意两点,E为线段AB的中点,射线OE交 4   椭圆C与点P,设OP tOE,求实数t的值。 附:参考答案(见下页)