当前位置:首页>文档>2018年全国统一高考物理试卷(新课标Ⅱ)(原卷版)_全国卷+地方卷_4.物理_1.物理高考真题试卷_2008-2020年_全国卷物理_全国统一高考物理(新课标ⅱ)08-21_A4word版_PDF版(赠送)

2018年全国统一高考物理试卷(新课标Ⅱ)(原卷版)_全国卷+地方卷_4.物理_1.物理高考真题试卷_2008-2020年_全国卷物理_全国统一高考物理(新课标ⅱ)08-21_A4word版_PDF版(赠送)

  • 2026-04-03 12:52:37 2026-03-06 04:32:39

文档预览

2018年全国统一高考物理试卷(新课标Ⅱ)(原卷版)_全国卷+地方卷_4.物理_1.物理高考真题试卷_2008-2020年_全国卷物理_全国统一高考物理(新课标ⅱ)08-21_A4word版_PDF版(赠送)
2018年全国统一高考物理试卷(新课标Ⅱ)(原卷版)_全国卷+地方卷_4.物理_1.物理高考真题试卷_2008-2020年_全国卷物理_全国统一高考物理(新课标ⅱ)08-21_A4word版_PDF版(赠送)
2018年全国统一高考物理试卷(新课标Ⅱ)(原卷版)_全国卷+地方卷_4.物理_1.物理高考真题试卷_2008-2020年_全国卷物理_全国统一高考物理(新课标ⅱ)08-21_A4word版_PDF版(赠送)
2018年全国统一高考物理试卷(新课标Ⅱ)(原卷版)_全国卷+地方卷_4.物理_1.物理高考真题试卷_2008-2020年_全国卷物理_全国统一高考物理(新课标ⅱ)08-21_A4word版_PDF版(赠送)
2018年全国统一高考物理试卷(新课标Ⅱ)(原卷版)_全国卷+地方卷_4.物理_1.物理高考真题试卷_2008-2020年_全国卷物理_全国统一高考物理(新课标ⅱ)08-21_A4word版_PDF版(赠送)
2018年全国统一高考物理试卷(新课标Ⅱ)(原卷版)_全国卷+地方卷_4.物理_1.物理高考真题试卷_2008-2020年_全国卷物理_全国统一高考物理(新课标ⅱ)08-21_A4word版_PDF版(赠送)
2018年全国统一高考物理试卷(新课标Ⅱ)(原卷版)_全国卷+地方卷_4.物理_1.物理高考真题试卷_2008-2020年_全国卷物理_全国统一高考物理(新课标ⅱ)08-21_A4word版_PDF版(赠送)
2018年全国统一高考物理试卷(新课标Ⅱ)(原卷版)_全国卷+地方卷_4.物理_1.物理高考真题试卷_2008-2020年_全国卷物理_全国统一高考物理(新课标ⅱ)08-21_A4word版_PDF版(赠送)

文档信息

文档格式
pdf
文档大小
0.730 MB
文档页数
8 页
上传时间
2026-03-06 04:32:39

文档内容

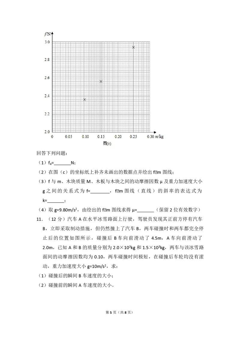
2018 年全国统一高考物理试卷(新课标Ⅱ) 一、选择题:本题共 8小题,每小题 6分,共 48分。在每小题给出的四个选 项中,第 1~5题只有一项符合题目要求,第 6~8题有多项符合题目要求. 全部选对的得 6分,选对但不全的得 3分,有选错的得 0分. 1.(6分)如图,某同学用绳子拉动木箱,使它从静止开始沿粗糙水平路面运 动至具有某一速度,木箱获得的动能一定( ) A.小于拉力所做的功 B.等于拉力所做的功 C.等于克服摩擦力所做的功 D.大于克服摩擦力所做的功 2.(6分)高空坠物极易对行人造成伤害。若一个50g的鸡蛋从一居民楼的25 层坠下,与地面的碰撞时间约为 2ms,则该鸡蛋对地面产生的冲击力约为 ( ) A.10N B.102N C.103N D.104N 3.(6分)2018年 2月,我国 500m口径射电望远镜(天眼)发现毫秒脉冲星 “J0318+0253”,其自转周期 T=5.19ms。假设星体为质量均匀分布的球体,已 知万有引力常量为 6.67×10﹣11N•m2/kg2.以周期 T 稳定自转的星体的密度最 小值约为( ) A.5×104kg/m3 B.5×1012kg/m3 C.5×1015kg/m3 D.5×1018kg/m3 4.(6分)用波长为 300nm的光照射锌板,电子逸出锌板表面的最大初动能 为 1.28×10﹣19J,已知普朗克常量为 6.63×10﹣34J•s,真空中的光速为 3.00× 108m•s﹣1,能使锌产生光电效应的单色光的最低频率约为( ) A.1×1014Hz B.8×1014Hz C.2×1015Hz D.8×1015Hz 5.(6分)如图,在同一水平面内有两根平行长导轨,导轨间存在依次相邻的 矩形匀强磁场区域,区域宽度均为 l,磁感应强度大小相等、方向交替向上 向下,一边长为 l 的正方形金属线框在导轨上向左匀速运动,线框中感应电 流i 随时间变化的正确图线可能是( ) 第1页(共8页)A. B. C. D. 6.(6分)甲、乙两汽车在同一条平直公路上同向运动,其速度﹣时间图象分 别如图中甲、乙两条曲线所示,已知两车在 t 时刻并排行驶,下列说法正确 2 的是( ) A.两车在 t 时刻也并排行驶 1 B.在 t 时刻甲车在后,乙车在前 1 C.甲车的加速度大小先增大后减小 D.乙车的加速度大小先减小后增大 7.(6分)如图,纸面内有两条互相垂直的长直绝缘导线 L 、L ,L 中的电流 1 2 1 方向向左,L 中的电流方向向上,L 的正上方有 a,b 两点,它们相对于 L 2 1 2 对称。整个系统处于匀强外磁场中,外磁场的磁感应强度大小为 B ,方向垂 0 直于纸面向外,已知 a、b 两点的磁感应强度大小分别为 B 和 B ,方向也 0 0 垂于纸面向外,则( ) 第2页(共8页)A.流经 L 的电流在b 点产生的磁感应强度大小为 B 1 0 B.流经 L 的电流在a 点产生的磁感应强度大小为 B 1 0 C.流经L 的电流在b 点产生的磁感应强度大小为 B 2 0 D.流经L 的电流在a 点产生的磁感应强度大小为 B 2 0 8.(6分)如图,同一平面内的 a、b、c、d 四点处于匀强电场中,电场方向 与此平面平行,M 为 a、c连线的中点,N为 b、d 连线的中点,一电荷量为 q(q>0)的粒子从 a 点移动到 b 点,其电势能减小 W ;若该粒子从 c点移 1 动到d 点,其电势能减小W ,下列说法正确的是( ) 2 A.此匀强电场的场强方向一定与a、b 两点连线平行 B.若该粒子从 M 点移动到N点,则电场力做功一定为 C.若c、d 之间的距离为L,则该电场的场强大小一定为 D.若W =W ,则a、M 两点之间的电势差一定等于 b、N两点之间的电势 1 2 差 二、非选择题:共 62分(第 9~12题为必考题,每个试题考生都必须作答.第 13~16题为选考题.考生根据要求作答。(一)必考题:共 47分。 9.(6分)某同学组装一个多用电表,可选用的器材有:微安表头(量程 100μA,内阻 900Ω);电阻箱 R (阻值范围 0~999.9Ω);电阻箱 R (阻值 1 2 范围0~99999.9Ω);导线若干。 要求利用所给器材先组装一个量程为 lmA的直流电流表,在此基础上再将它改 第3页(共8页)装成量程为 3V 的直流电压表。组装好的多用电表有电流 1mA和电压 3V 两 挡。 回答下列问题: (1)在虚线框内画出电路图并标出 R 和 R ,其中*为公共接线柱,a和 b 分別 1 2 是电流挡和电压挡的接线柱。 (2)电阻箱的阻值应取R = Ω,R = Ω(保留到个位) 1 2 10.(9分)某同学用图(a)所示的装置测量木块与木板之间的动摩擦因数, 跨过光滑定滑轮的细线两端分別与木块和弹簧秤相连,滑轮和木块间的细线 保持水平,在木块上方放置砝码,缓慢向左拉动水平放置的木板,当木块和 砝码相对桌面静止且木板仍在继续滑动时,弹簧秤的示数即为木块受到的滑 动摩擦力的大小。某次实验所得数据在 下表中给出,其中f 的值可从图(b)中弹簧秤的示数读出。 4 砝码的质量 m/kg 0.05 0.10 0.15 0.20 0.25 滑动摩擦力 2.15 2.36 2.55 f 2.93 4 第4页(共8页)回答下列问题: (1)f = N; 4 (2)在图(c)的坐标纸上补齐未画出的数据点并绘出 f﹣m图线; (3)f 与 m、木块质量 M、木板与木块之间的动摩擦因数 μ及重力加速度大小 g之间的关系式为 f= ,f﹣m图线(直线)的斜率的表达式为 k= ; (4)取g=9.80m/s2,由绘出的 f﹣m图线求得μ= (保留2位有效数字) 11.(12分)汽车 A在水平冰雪路面上行驶,驾驶员发现其正前方停有汽车 B,立即采取制动措施,但仍然撞上了汽车 B,两车碰撞时和两车都完全停 止后的位置如图所示,碰撞后 B车向前滑动了 4.5m,A车向前滑动了 2.0m,已知 A和 B的质量分别为 2.0×103kg和 1.5×103kg,两车与该冰雪路 面间的动摩擦因数均为 0.10,两车碰撞时间极短,在碰撞后车轮均没有滚 动,重力加速度大小g=10m/s2,求: (1)碰撞后的瞬间B车速度的大小; (2)碰撞前的瞬间A车速度的大小。 第5页(共8页)12.(20分)一足够长的条状区域内存在匀强电场和匀强磁场,其在 xOy平面 内的截面如图所示;中间是磁场区域,其边界与 y轴垂直,宽度为 l,磁感 应强度的大小为 B,方向垂直于 xOy平面;磁场的上、下两侧为电场区域, 宽度均为 l′,电场强度的大小均为 E,方向均沿 x 轴正方向;M、N为条状区 域边界上的两点,它们的连线与 y轴平行。一带正电的粒子以某一速度从 M 点沿 y轴正方向射入电场,经过一段时间后恰好以从 M 点入射的速度从 N 点沿y轴正方向射出。不计重力。 (1)定性画出该粒子在电磁场中运动的轨迹; (2)求该粒子从M 点入射时速度的大小; (3)若该粒子进入磁场时的速度方向恰好与 x 轴正方向的夹角为 ,求该粒 子的比荷及其从M 点运动到N点的时间。 第6页(共8页)三、选考题:共 15分,请考生从 2道物理题中任选一题作答,如果多做,则 按所做的第一题计分。 13.(5分)对于实际的气体,下列说法正确的是( ) A.气体的内能包括气体分子的重力势能 B.气体的内能包括气体分子之间相互作用的势能 C.气体的内能包括气体整体运动的动能 D.气体的体积变化时,其内能可能不变 E.气体的内能包括气体分子热运动的动能 14.(10分)如图,一竖直放置的汽缸上端开口,汽缸壁内有卡口 a 和 b,a、 b 间距为 h,a 距缸底的高度为 H;活塞只能在 a、b 间移动,其下方密封有 一定质量的理想气体,已知活塞质量为 m,面积为 S,厚度可忽略;活塞和 气缸壁均绝热,不计它们之间的摩擦,开始时活塞处于静止状态,上、下方 气体压强均为 p ,温度均为 T ,现用电热丝缓慢加热汽缸中的气体,直至活 0 0 塞刚好到达 b 处。求此时汽缸内气体的温度以及在此过程中气体对外所做的 功,重力加速度大小为 g。 【物理---选修 3-4】(15分) 15.声波在空气中的传播速度为 340m/s,在钢铁中的传播速度为 4900m/s。一 平直桥由钢铁制成,某同学用锤子敲击一下桥的一端发出声音,分别经空气 和桥传到另一端的时间之差为 1.00s。桥的长度为 m.若该声波在空 气中的波长为λ,则它在钢铁中的波长为λ的 倍。 第7页(共8页)16.如图,△ABC是一直角三棱镜的横截面,∠A=90°,∠B=60°.一细光束从 BC 边的 D 点折射后,射到 AC边的 E 点,发生全反射后经 AB边的 F 点射 出,EG 垂直于AC交BC 于G,D 恰好是CG 的中点。不计多次反射。 (i)求出射光相对于D 点的入射光的偏角; (ii)为实现上述光路,棱镜折射率的取值应在什么范围? 第8页(共8页)