当前位置:首页>文档>2023年01月浙江信息技术真题(原卷版)_全国卷+地方卷_10.技术_1.浙江历年技术试卷_信息技术

2023年01月浙江信息技术真题(原卷版)_全国卷+地方卷_10.技术_1.浙江历年技术试卷_信息技术

  • 2026-04-12 22:23:37 2026-03-06 22:28:44

文档预览

2023年01月浙江信息技术真题(原卷版)_全国卷+地方卷_10.技术_1.浙江历年技术试卷_信息技术
2023年01月浙江信息技术真题(原卷版)_全国卷+地方卷_10.技术_1.浙江历年技术试卷_信息技术
2023年01月浙江信息技术真题(原卷版)_全国卷+地方卷_10.技术_1.浙江历年技术试卷_信息技术
2023年01月浙江信息技术真题(原卷版)_全国卷+地方卷_10.技术_1.浙江历年技术试卷_信息技术
2023年01月浙江信息技术真题(原卷版)_全国卷+地方卷_10.技术_1.浙江历年技术试卷_信息技术
2023年01月浙江信息技术真题(原卷版)_全国卷+地方卷_10.技术_1.浙江历年技术试卷_信息技术
2023年01月浙江信息技术真题(原卷版)_全国卷+地方卷_10.技术_1.浙江历年技术试卷_信息技术
2023年01月浙江信息技术真题(原卷版)_全国卷+地方卷_10.技术_1.浙江历年技术试卷_信息技术
2023年01月浙江信息技术真题(原卷版)_全国卷+地方卷_10.技术_1.浙江历年技术试卷_信息技术

文档信息

文档格式
doc
文档大小
0.435 MB
文档页数
9 页
上传时间
2026-03-06 22:28:44

文档内容

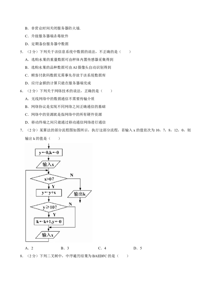
2023年1月浙江省普通高校招生选考信息技术试卷 一、选择题(本大题共12题,每题2分,共24分。每题列出的四个备选项中只有一个是符合题目要求的, 不选、多选、错选均不得分) 1.(2分)下列关于数据和信息的说法,正确的是( ) A.数据的表现形式只能是文字和图像 B.同一信息对所有人而言其价值是相同的 C.计算机中保存的数据可以是未经数字化的 D.信息是数据经分析、解释后得到的 2.(2分)下列关于人工智能的说法,不正确的是( ) A.深度学习方法一般脱离数据进行学习 B.采用行为主义方法的智能体通过与环境的交互学习提升智能 C.符号主义人工智能的实现依赖对符号的推理和运算 D.人工智能促进社会发展的同时也会带来一定的社会担忧 3.(2分)某水果连锁店“智能收银系统”中,AI收银秤具备自动识别水果品种、称重、应付金额计算、 扫码支付等功能,同时还具备和服务器数据库进行数据交换的功能。该系统主要设备的部分参数与功 能如表所示: 服务器 AI收银秤 显示器:1280×1024 显示器:1920×1080 CPU:八核2.30GHz CPU:四核1.80GHz 硬盘:4TB 硬盘:64GB 操作系统:Linux 操作系统:Windows AI摄像头:自动识别水果品种 扫码摄像头:支持多种付款码扫码 秤体:内置传感器支持精确称重 打印机:打印购物小票 下列关于该信息系统组成的说法,正确的是( ) A.Linux属于该系统的应用软件 B.该信息系统中的用户只有客户和店员 C.服务器和AI收银秤均属于该系统的硬件 D.服务器硬盘容量是AI收银秤硬盘容量的16倍 4.(2分)为提升该信息系统数据的安全性,下列措施中不合理的是( ) A.为系统不同的授权用户设置相应的权限B.非营业时间关闭服务器防火墙. C.升级服务器端杀毒软件 D.定期备份服务器中数据 5.(2分)下列关于该信息系统中数据的说法,不正确的是( ) A.选购水果的重量数据可由秤体内置传感器采集得到 B.选购水果的品种数据可由AI摄像头自动识别得到 C.顾客付款码数据无需事先存放于该系统数据库 D.应付金额的计算只能在服务器端完成 6.(2分)下列关于网络技术的说法,正确的是( ) A.无线网络中的数据通信不需要传输介质 B.网络协议是实现不同网络之间正确通信的基础 C.网络中的资源就是指网络中的所有硬件资源 D.移动终端之间只能通过移动通信网络进行通信 7.(2分)某算法的部分流程图如图所示,执行这部分流程,若输入x的值依次为10,7,8,12,0,则 输出k的值是( ) A.2 B.3 C.4 D.5 8.(2分)下列二叉树中,中序遍历结果为BAEDFC的是( )A. B. C. D. 9.(2分)有1个队列,队首到队尾的元素依次为8,3,2,9,5。约定:T操作是指队列中1个元素出 队后再入队,Q操作是指队列中1个元素出队。则经过TTTQTTQ系列操作后,队列中队首到队尾的 元素依次为( ) A.2,9,5 B.2,5,8 C.5,8,2 D.8,3,2 10.(2分)列表s包含8个互不相等的元素,即s[0],s[1],s[2],……s[7],有如下Python程序段: 该程序段实现的是( ) A.s[0]到s[5]的降序排列 B.s[1]到s[6]的降序排列 C.s[1]到s[7]的升序排列 D.s[2]到s[6]的升序排列 11.(2分)定义如下函数: 执行语句v=rf(5),函数r被调用的次数是( ) A.11 B.5 C.7 D.15 12.(2分)有如下Python程序段:执行该程序段后,a的值不可能的是( ) A.[‘A’,‘B’,‘#’,‘#’,‘C’,‘D’,‘#’] B.[‘#’,‘#’,‘#’,‘#’,‘#’,‘#’,‘#’] C.[‘#’,‘B’,‘#’,‘#’,‘C’,‘D’,‘A’] D.[‘#’,‘#’,‘A’,‘B’,‘C’,‘D’,‘#’] 二、非选择题(本大题共3题,其中第13题8分,第14题9分,第15题9分,共26分) 13.(8分)小明为家庭小菜园搭建了环境温湿度监测系统,该系统结构示意图如图所示。Web服务器端 程序采用FlaskWeb框架开发。传感器采集的数据由智能终端经IOT模块发送到Web服务器,执行器 用于实现温湿度的控制。请回答下列问题: (1)下列选项标注了图中虚线框内的智能终端与传感器执行器之间的数据传输关系,其中合理的是 (单选,填字母)。 (2)该系统网络应用软件的实现架构是 (单选,填字母:A.B/S架构/B.C/S架构)。 (3)若传感器的编号id为1,湿度值h为60提交数据到Web服务器的URL为http://192.168.1.6: 5000/toserv?h=60&id=1,则服务器端应用实例app中与该URL关联的路由设置语句是@app.route (‘ ’)。 (4)菜园里的蔬菜适宜生长的空气温度范围是tmin﹣tmax。现要求当温度t正常、偏低、偏高时,将sta的值对应设为0、1、2。下列Python程序段中符合要求的有 (多选,填字母)。 (5)小明设定采集并上传数据的时间间隔为1分钟。他用浏览器查看温湿度页面,页面动态显示最新 的温度、湿度及其采集时间。系统正常工作一段时间后,他发现该页面不再变化,刷新后仍不变。结 合图示,简要说明系统中可能造成上述问题的原因 (本系统中,传感器损坏 传感器和智能终端连接异常,不会造成上述问题)。 14.(9分)小红收集了部分城市2021年全年每天PM2.5、PM10、CO浓度数据,每天的数据分别保存 在以8位日期字符串命名的CSV文件中,部分文件如图a所示,每个文件记录了一天24小时的监测数 据,示例如图b所示。为统计分析城市A全年各月份PM2.5的月平均浓度(当月的日平均浓度的平均 值),编写Python程序。请回答下列问题: (1)定义pmday函数,功能为:读取某天的CSV文件,返回城市A当天PM2.5的日平均浓度。函数 代码如下,横线处应填入的代码为 (单选,填字母)。 A.df[‘类型’]==‘PM2.5’ B.df[‘类型’==‘PM2.5’] C.df[df[‘类型’]]==‘PM2.5’ D.df[df[‘类型’]==‘PM2.5’](2)统计城市A各月份PM2.5的月平均浓度并绘制线型图,部分Python程序如下,请在横线处填写 合适的代码。 (3)城市A2021年PM2.5年平均浓度为34.6微克/立方米。由图c可知,城市A2021年PM2.5月平均 浓度超过年平均浓度的月份共 个。 15.(9分)有2组器件共n个,要用一台检测设备检测。每个送检器件的信息包含送达时间、检测时长 和优先级。优先级有m(1<m<6)个等级,由高到低分别用0﹣m﹣1的整数表示。每个机器件的送 达时间各不相同。已送达的器件按照各优先级通道分别排队,先到达先入队。设备每次检测都从当前 各非空队列中,选取优先级最高的队列的队首器件出队进行检测。(同一时刻出现入队和出队时,先 处理入队。)编写程序模拟检测过程,先合并2组器件的数据,然后计算所有器件的平均等待时长, 其中每个器件等待时长为其开始检测的时间与送达时间的时间差。(时间单位均为秒) 请回答下列问题: (1)由题意可知,表中器件A、B、C、D的检测顺序为A﹣C﹣D﹣B,A、C、D的等待时长分别为 0、1、0,B的等待时长是 。 A 送达时间 检测时长 优先级 B 0 3 2 C 1 1 2D 2 1 1 3 3 0 11 3 2 12 2 2 (2)定义如下merge(lst1,lst2)函数,参数lstl和lst2的每个元素由送达时间、检测时长和优先级 3 项构成,lst1和lst2均已按送达时间升序排列。函数功能是将lst2中的元素合并到lstl中,并将lstl按送 达时间升序排列,函数返回lst1。 ①调用merge(lst1,lst2)函数,若lst1为[[0,3,2],[1,1,2],[12,2,2]],lst2为[[2,1,1], [4,3,0],[11,3,2]],则while语句中循环体的执行次数是 。 ②若函数中while语句的条件“j>=0”误写为“k>=0”,会导致某些情况下无法得到符合函数功 能的结果。调用merge(lst1,lst2)函数,下列4组数据中能测试出这一问题的是 (单选,填 字母)。 (3)实现模拟检测过程并计算平均等待时长的部分Python程序如下,请在横线处填入合适的代码。