当前位置:首页>文档>专题16锐角三角函数(全国通用)(解析版)_02中考总复习(2026版更新中)_02-数学-中考总复习_2026年中考复习(更新中)_好题汇编三年(2023-2025)中考数学真题分类汇编(全国通用)

专题16锐角三角函数(全国通用)(解析版)_02中考总复习(2026版更新中)_02-数学-中考总复习_2026年中考复习(更新中)_好题汇编三年(2023-2025)中考数学真题分类汇编(全国通用)

  • 2026-04-06 11:04:52 2026-03-08 02:55:01

文档预览

专题16锐角三角函数(全国通用)(解析版)_02中考总复习(2026版更新中)_02-数学-中考总复习_2026年中考复习(更新中)_好题汇编三年(2023-2025)中考数学真题分类汇编(全国通用)
专题16锐角三角函数(全国通用)(解析版)_02中考总复习(2026版更新中)_02-数学-中考总复习_2026年中考复习(更新中)_好题汇编三年(2023-2025)中考数学真题分类汇编(全国通用)
专题16锐角三角函数(全国通用)(解析版)_02中考总复习(2026版更新中)_02-数学-中考总复习_2026年中考复习(更新中)_好题汇编三年(2023-2025)中考数学真题分类汇编(全国通用)
专题16锐角三角函数(全国通用)(解析版)_02中考总复习(2026版更新中)_02-数学-中考总复习_2026年中考复习(更新中)_好题汇编三年(2023-2025)中考数学真题分类汇编(全国通用)
专题16锐角三角函数(全国通用)(解析版)_02中考总复习(2026版更新中)_02-数学-中考总复习_2026年中考复习(更新中)_好题汇编三年(2023-2025)中考数学真题分类汇编(全国通用)
专题16锐角三角函数(全国通用)(解析版)_02中考总复习(2026版更新中)_02-数学-中考总复习_2026年中考复习(更新中)_好题汇编三年(2023-2025)中考数学真题分类汇编(全国通用)
专题16锐角三角函数(全国通用)(解析版)_02中考总复习(2026版更新中)_02-数学-中考总复习_2026年中考复习(更新中)_好题汇编三年(2023-2025)中考数学真题分类汇编(全国通用)
专题16锐角三角函数(全国通用)(解析版)_02中考总复习(2026版更新中)_02-数学-中考总复习_2026年中考复习(更新中)_好题汇编三年(2023-2025)中考数学真题分类汇编(全国通用)
专题16锐角三角函数(全国通用)(解析版)_02中考总复习(2026版更新中)_02-数学-中考总复习_2026年中考复习(更新中)_好题汇编三年(2023-2025)中考数学真题分类汇编(全国通用)
专题16锐角三角函数(全国通用)(解析版)_02中考总复习(2026版更新中)_02-数学-中考总复习_2026年中考复习(更新中)_好题汇编三年(2023-2025)中考数学真题分类汇编(全国通用)
专题16锐角三角函数(全国通用)(解析版)_02中考总复习(2026版更新中)_02-数学-中考总复习_2026年中考复习(更新中)_好题汇编三年(2023-2025)中考数学真题分类汇编(全国通用)
专题16锐角三角函数(全国通用)(解析版)_02中考总复习(2026版更新中)_02-数学-中考总复习_2026年中考复习(更新中)_好题汇编三年(2023-2025)中考数学真题分类汇编(全国通用)
专题16锐角三角函数(全国通用)(解析版)_02中考总复习(2026版更新中)_02-数学-中考总复习_2026年中考复习(更新中)_好题汇编三年(2023-2025)中考数学真题分类汇编(全国通用)
专题16锐角三角函数(全国通用)(解析版)_02中考总复习(2026版更新中)_02-数学-中考总复习_2026年中考复习(更新中)_好题汇编三年(2023-2025)中考数学真题分类汇编(全国通用)
专题16锐角三角函数(全国通用)(解析版)_02中考总复习(2026版更新中)_02-数学-中考总复习_2026年中考复习(更新中)_好题汇编三年(2023-2025)中考数学真题分类汇编(全国通用)
专题16锐角三角函数(全国通用)(解析版)_02中考总复习(2026版更新中)_02-数学-中考总复习_2026年中考复习(更新中)_好题汇编三年(2023-2025)中考数学真题分类汇编(全国通用)
专题16锐角三角函数(全国通用)(解析版)_02中考总复习(2026版更新中)_02-数学-中考总复习_2026年中考复习(更新中)_好题汇编三年(2023-2025)中考数学真题分类汇编(全国通用)
专题16锐角三角函数(全国通用)(解析版)_02中考总复习(2026版更新中)_02-数学-中考总复习_2026年中考复习(更新中)_好题汇编三年(2023-2025)中考数学真题分类汇编(全国通用)
专题16锐角三角函数(全国通用)(解析版)_02中考总复习(2026版更新中)_02-数学-中考总复习_2026年中考复习(更新中)_好题汇编三年(2023-2025)中考数学真题分类汇编(全国通用)
专题16锐角三角函数(全国通用)(解析版)_02中考总复习(2026版更新中)_02-数学-中考总复习_2026年中考复习(更新中)_好题汇编三年(2023-2025)中考数学真题分类汇编(全国通用)
专题16锐角三角函数(全国通用)(解析版)_02中考总复习(2026版更新中)_02-数学-中考总复习_2026年中考复习(更新中)_好题汇编三年(2023-2025)中考数学真题分类汇编(全国通用)
专题16锐角三角函数(全国通用)(解析版)_02中考总复习(2026版更新中)_02-数学-中考总复习_2026年中考复习(更新中)_好题汇编三年(2023-2025)中考数学真题分类汇编(全国通用)
专题16锐角三角函数(全国通用)(解析版)_02中考总复习(2026版更新中)_02-数学-中考总复习_2026年中考复习(更新中)_好题汇编三年(2023-2025)中考数学真题分类汇编(全国通用)
专题16锐角三角函数(全国通用)(解析版)_02中考总复习(2026版更新中)_02-数学-中考总复习_2026年中考复习(更新中)_好题汇编三年(2023-2025)中考数学真题分类汇编(全国通用)
专题16锐角三角函数(全国通用)(解析版)_02中考总复习(2026版更新中)_02-数学-中考总复习_2026年中考复习(更新中)_好题汇编三年(2023-2025)中考数学真题分类汇编(全国通用)
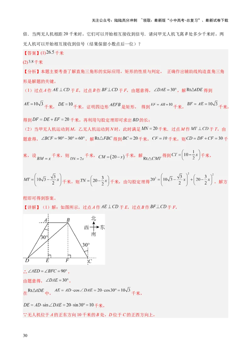
专题16锐角三角函数(全国通用)(解析版)_02中考总复习(2026版更新中)_02-数学-中考总复习_2026年中考复习(更新中)_好题汇编三年(2023-2025)中考数学真题分类汇编(全国通用)
专题16锐角三角函数(全国通用)(解析版)_02中考总复习(2026版更新中)_02-数学-中考总复习_2026年中考复习(更新中)_好题汇编三年(2023-2025)中考数学真题分类汇编(全国通用)
专题16锐角三角函数(全国通用)(解析版)_02中考总复习(2026版更新中)_02-数学-中考总复习_2026年中考复习(更新中)_好题汇编三年(2023-2025)中考数学真题分类汇编(全国通用)
专题16锐角三角函数(全国通用)(解析版)_02中考总复习(2026版更新中)_02-数学-中考总复习_2026年中考复习(更新中)_好题汇编三年(2023-2025)中考数学真题分类汇编(全国通用)
专题16锐角三角函数(全国通用)(解析版)_02中考总复习(2026版更新中)_02-数学-中考总复习_2026年中考复习(更新中)_好题汇编三年(2023-2025)中考数学真题分类汇编(全国通用)
专题16锐角三角函数(全国通用)(解析版)_02中考总复习(2026版更新中)_02-数学-中考总复习_2026年中考复习(更新中)_好题汇编三年(2023-2025)中考数学真题分类汇编(全国通用)
专题16锐角三角函数(全国通用)(解析版)_02中考总复习(2026版更新中)_02-数学-中考总复习_2026年中考复习(更新中)_好题汇编三年(2023-2025)中考数学真题分类汇编(全国通用)
专题16锐角三角函数(全国通用)(解析版)_02中考总复习(2026版更新中)_02-数学-中考总复习_2026年中考复习(更新中)_好题汇编三年(2023-2025)中考数学真题分类汇编(全国通用)
专题16锐角三角函数(全国通用)(解析版)_02中考总复习(2026版更新中)_02-数学-中考总复习_2026年中考复习(更新中)_好题汇编三年(2023-2025)中考数学真题分类汇编(全国通用)
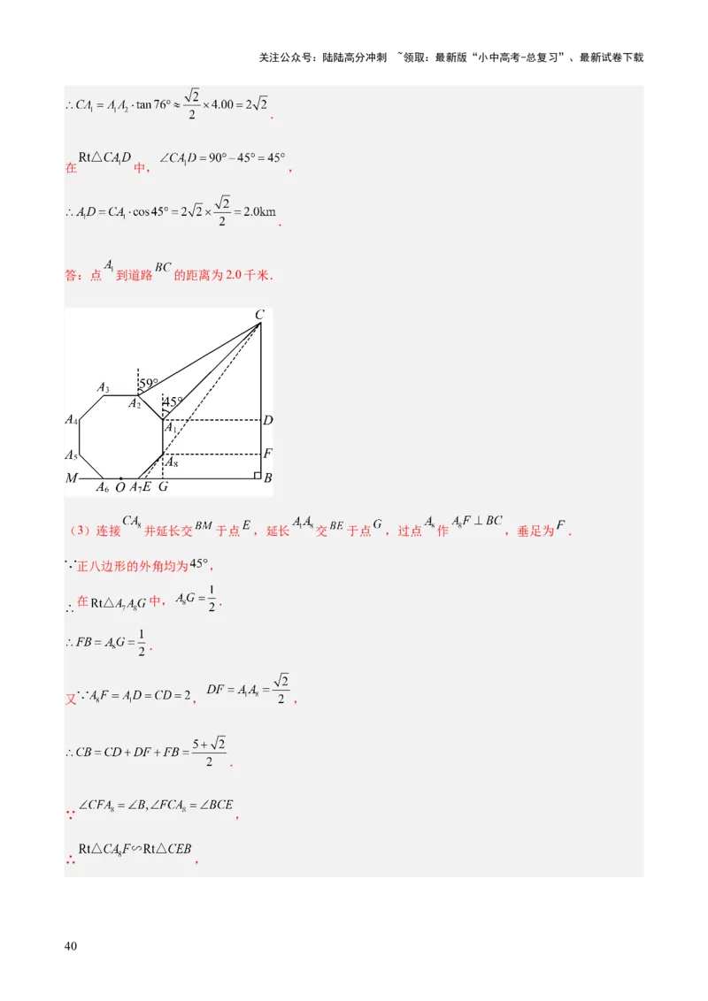
专题16锐角三角函数(全国通用)(解析版)_02中考总复习(2026版更新中)_02-数学-中考总复习_2026年中考复习(更新中)_好题汇编三年(2023-2025)中考数学真题分类汇编(全国通用)
专题16锐角三角函数(全国通用)(解析版)_02中考总复习(2026版更新中)_02-数学-中考总复习_2026年中考复习(更新中)_好题汇编三年(2023-2025)中考数学真题分类汇编(全国通用)
专题16锐角三角函数(全国通用)(解析版)_02中考总复习(2026版更新中)_02-数学-中考总复习_2026年中考复习(更新中)_好题汇编三年(2023-2025)中考数学真题分类汇编(全国通用)
专题16锐角三角函数(全国通用)(解析版)_02中考总复习(2026版更新中)_02-数学-中考总复习_2026年中考复习(更新中)_好题汇编三年(2023-2025)中考数学真题分类汇编(全国通用)
专题16锐角三角函数(全国通用)(解析版)_02中考总复习(2026版更新中)_02-数学-中考总复习_2026年中考复习(更新中)_好题汇编三年(2023-2025)中考数学真题分类汇编(全国通用)
专题16锐角三角函数(全国通用)(解析版)_02中考总复习(2026版更新中)_02-数学-中考总复习_2026年中考复习(更新中)_好题汇编三年(2023-2025)中考数学真题分类汇编(全国通用)
专题16锐角三角函数(全国通用)(解析版)_02中考总复习(2026版更新中)_02-数学-中考总复习_2026年中考复习(更新中)_好题汇编三年(2023-2025)中考数学真题分类汇编(全国通用)
专题16锐角三角函数(全国通用)(解析版)_02中考总复习(2026版更新中)_02-数学-中考总复习_2026年中考复习(更新中)_好题汇编三年(2023-2025)中考数学真题分类汇编(全国通用)
专题16锐角三角函数(全国通用)(解析版)_02中考总复习(2026版更新中)_02-数学-中考总复习_2026年中考复习(更新中)_好题汇编三年(2023-2025)中考数学真题分类汇编(全国通用)
专题16锐角三角函数(全国通用)(解析版)_02中考总复习(2026版更新中)_02-数学-中考总复习_2026年中考复习(更新中)_好题汇编三年(2023-2025)中考数学真题分类汇编(全国通用)
专题16锐角三角函数(全国通用)(解析版)_02中考总复习(2026版更新中)_02-数学-中考总复习_2026年中考复习(更新中)_好题汇编三年(2023-2025)中考数学真题分类汇编(全国通用)
专题16锐角三角函数(全国通用)(解析版)_02中考总复习(2026版更新中)_02-数学-中考总复习_2026年中考复习(更新中)_好题汇编三年(2023-2025)中考数学真题分类汇编(全国通用)
专题16锐角三角函数(全国通用)(解析版)_02中考总复习(2026版更新中)_02-数学-中考总复习_2026年中考复习(更新中)_好题汇编三年(2023-2025)中考数学真题分类汇编(全国通用)
专题16锐角三角函数(全国通用)(解析版)_02中考总复习(2026版更新中)_02-数学-中考总复习_2026年中考复习(更新中)_好题汇编三年(2023-2025)中考数学真题分类汇编(全国通用)
专题16锐角三角函数(全国通用)(解析版)_02中考总复习(2026版更新中)_02-数学-中考总复习_2026年中考复习(更新中)_好题汇编三年(2023-2025)中考数学真题分类汇编(全国通用)
专题16锐角三角函数(全国通用)(解析版)_02中考总复习(2026版更新中)_02-数学-中考总复习_2026年中考复习(更新中)_好题汇编三年(2023-2025)中考数学真题分类汇编(全国通用)
专题16锐角三角函数(全国通用)(解析版)_02中考总复习(2026版更新中)_02-数学-中考总复习_2026年中考复习(更新中)_好题汇编三年(2023-2025)中考数学真题分类汇编(全国通用)
专题16锐角三角函数(全国通用)(解析版)_02中考总复习(2026版更新中)_02-数学-中考总复习_2026年中考复习(更新中)_好题汇编三年(2023-2025)中考数学真题分类汇编(全国通用)
专题16锐角三角函数(全国通用)(解析版)_02中考总复习(2026版更新中)_02-数学-中考总复习_2026年中考复习(更新中)_好题汇编三年(2023-2025)中考数学真题分类汇编(全国通用)
专题16锐角三角函数(全国通用)(解析版)_02中考总复习(2026版更新中)_02-数学-中考总复习_2026年中考复习(更新中)_好题汇编三年(2023-2025)中考数学真题分类汇编(全国通用)
专题16锐角三角函数(全国通用)(解析版)_02中考总复习(2026版更新中)_02-数学-中考总复习_2026年中考复习(更新中)_好题汇编三年(2023-2025)中考数学真题分类汇编(全国通用)
专题16锐角三角函数(全国通用)(解析版)_02中考总复习(2026版更新中)_02-数学-中考总复习_2026年中考复习(更新中)_好题汇编三年(2023-2025)中考数学真题分类汇编(全国通用)
专题16锐角三角函数(全国通用)(解析版)_02中考总复习(2026版更新中)_02-数学-中考总复习_2026年中考复习(更新中)_好题汇编三年(2023-2025)中考数学真题分类汇编(全国通用)
专题16锐角三角函数(全国通用)(解析版)_02中考总复习(2026版更新中)_02-数学-中考总复习_2026年中考复习(更新中)_好题汇编三年(2023-2025)中考数学真题分类汇编(全国通用)
专题16锐角三角函数(全国通用)(解析版)_02中考总复习(2026版更新中)_02-数学-中考总复习_2026年中考复习(更新中)_好题汇编三年(2023-2025)中考数学真题分类汇编(全国通用)
专题16锐角三角函数(全国通用)(解析版)_02中考总复习(2026版更新中)_02-数学-中考总复习_2026年中考复习(更新中)_好题汇编三年(2023-2025)中考数学真题分类汇编(全国通用)
专题16锐角三角函数(全国通用)(解析版)_02中考总复习(2026版更新中)_02-数学-中考总复习_2026年中考复习(更新中)_好题汇编三年(2023-2025)中考数学真题分类汇编(全国通用)
专题16锐角三角函数(全国通用)(解析版)_02中考总复习(2026版更新中)_02-数学-中考总复习_2026年中考复习(更新中)_好题汇编三年(2023-2025)中考数学真题分类汇编(全国通用)
专题16锐角三角函数(全国通用)(解析版)_02中考总复习(2026版更新中)_02-数学-中考总复习_2026年中考复习(更新中)_好题汇编三年(2023-2025)中考数学真题分类汇编(全国通用)
专题16锐角三角函数(全国通用)(解析版)_02中考总复习(2026版更新中)_02-数学-中考总复习_2026年中考复习(更新中)_好题汇编三年(2023-2025)中考数学真题分类汇编(全国通用)
专题16锐角三角函数(全国通用)(解析版)_02中考总复习(2026版更新中)_02-数学-中考总复习_2026年中考复习(更新中)_好题汇编三年(2023-2025)中考数学真题分类汇编(全国通用)
专题16锐角三角函数(全国通用)(解析版)_02中考总复习(2026版更新中)_02-数学-中考总复习_2026年中考复习(更新中)_好题汇编三年(2023-2025)中考数学真题分类汇编(全国通用)
专题16锐角三角函数(全国通用)(解析版)_02中考总复习(2026版更新中)_02-数学-中考总复习_2026年中考复习(更新中)_好题汇编三年(2023-2025)中考数学真题分类汇编(全国通用)
专题16锐角三角函数(全国通用)(解析版)_02中考总复习(2026版更新中)_02-数学-中考总复习_2026年中考复习(更新中)_好题汇编三年(2023-2025)中考数学真题分类汇编(全国通用)
专题16锐角三角函数(全国通用)(解析版)_02中考总复习(2026版更新中)_02-数学-中考总复习_2026年中考复习(更新中)_好题汇编三年(2023-2025)中考数学真题分类汇编(全国通用)
专题16锐角三角函数(全国通用)(解析版)_02中考总复习(2026版更新中)_02-数学-中考总复习_2026年中考复习(更新中)_好题汇编三年(2023-2025)中考数学真题分类汇编(全国通用)
专题16锐角三角函数(全国通用)(解析版)_02中考总复习(2026版更新中)_02-数学-中考总复习_2026年中考复习(更新中)_好题汇编三年(2023-2025)中考数学真题分类汇编(全国通用)
专题16锐角三角函数(全国通用)(解析版)_02中考总复习(2026版更新中)_02-数学-中考总复习_2026年中考复习(更新中)_好题汇编三年(2023-2025)中考数学真题分类汇编(全国通用)
专题16锐角三角函数(全国通用)(解析版)_02中考总复习(2026版更新中)_02-数学-中考总复习_2026年中考复习(更新中)_好题汇编三年(2023-2025)中考数学真题分类汇编(全国通用)
专题16锐角三角函数(全国通用)(解析版)_02中考总复习(2026版更新中)_02-数学-中考总复习_2026年中考复习(更新中)_好题汇编三年(2023-2025)中考数学真题分类汇编(全国通用)
专题16锐角三角函数(全国通用)(解析版)_02中考总复习(2026版更新中)_02-数学-中考总复习_2026年中考复习(更新中)_好题汇编三年(2023-2025)中考数学真题分类汇编(全国通用)
专题16锐角三角函数(全国通用)(解析版)_02中考总复习(2026版更新中)_02-数学-中考总复习_2026年中考复习(更新中)_好题汇编三年(2023-2025)中考数学真题分类汇编(全国通用)
专题16锐角三角函数(全国通用)(解析版)_02中考总复习(2026版更新中)_02-数学-中考总复习_2026年中考复习(更新中)_好题汇编三年(2023-2025)中考数学真题分类汇编(全国通用)
专题16锐角三角函数(全国通用)(解析版)_02中考总复习(2026版更新中)_02-数学-中考总复习_2026年中考复习(更新中)_好题汇编三年(2023-2025)中考数学真题分类汇编(全国通用)
专题16锐角三角函数(全国通用)(解析版)_02中考总复习(2026版更新中)_02-数学-中考总复习_2026年中考复习(更新中)_好题汇编三年(2023-2025)中考数学真题分类汇编(全国通用)
专题16锐角三角函数(全国通用)(解析版)_02中考总复习(2026版更新中)_02-数学-中考总复习_2026年中考复习(更新中)_好题汇编三年(2023-2025)中考数学真题分类汇编(全国通用)
专题16锐角三角函数(全国通用)(解析版)_02中考总复习(2026版更新中)_02-数学-中考总复习_2026年中考复习(更新中)_好题汇编三年(2023-2025)中考数学真题分类汇编(全国通用)
专题16锐角三角函数(全国通用)(解析版)_02中考总复习(2026版更新中)_02-数学-中考总复习_2026年中考复习(更新中)_好题汇编三年(2023-2025)中考数学真题分类汇编(全国通用)
专题16锐角三角函数(全国通用)(解析版)_02中考总复习(2026版更新中)_02-数学-中考总复习_2026年中考复习(更新中)_好题汇编三年(2023-2025)中考数学真题分类汇编(全国通用)
专题16锐角三角函数(全国通用)(解析版)_02中考总复习(2026版更新中)_02-数学-中考总复习_2026年中考复习(更新中)_好题汇编三年(2023-2025)中考数学真题分类汇编(全国通用)
专题16锐角三角函数(全国通用)(解析版)_02中考总复习(2026版更新中)_02-数学-中考总复习_2026年中考复习(更新中)_好题汇编三年(2023-2025)中考数学真题分类汇编(全国通用)
专题16锐角三角函数(全国通用)(解析版)_02中考总复习(2026版更新中)_02-数学-中考总复习_2026年中考复习(更新中)_好题汇编三年(2023-2025)中考数学真题分类汇编(全国通用)
专题16锐角三角函数(全国通用)(解析版)_02中考总复习(2026版更新中)_02-数学-中考总复习_2026年中考复习(更新中)_好题汇编三年(2023-2025)中考数学真题分类汇编(全国通用)

文档信息

文档格式
docx
文档大小
16.441 MB
文档页数
87 页
上传时间
2026-03-08 02:55:01

文档内容

关注公众号:陆陆高分冲刺 ~领取:最新版“小中高考-总复习”、最新试卷下载 专题 16 三角函数 考点 01 三角函数的定义 1.(2023·四川乐山·中考真题)我国汉代数学家赵爽在注解《周髀算经》时给出“赵爽弦图”,如图所示, 它是由四个全等的直角三角形与中间的小正方形拼成的一个大正方形.如果大正方形面积为25,小正方形 面积为1,则 ( ) A. B. C. D. 【答案】A 【分析】先由两个正方形的面积分别得出其边长,由赵爽弦图的特征可得 ,则 ,在 中,利用勾股定理求出 ,最后按照正弦函数的定义计算求解即可. 【详解】解:∵大正方形的面积是25,小正方形面积是1, ∴大正方形的边长 ,小正方形的边长 , 1关注公众号:陆陆高分冲刺 ~领取:最新版“小中高考-总复习”、最新试卷下载 ∵ , ∴ , 在 中, , ∴ , 解得 (负值舍去) ∴ . 故选A. 【点睛】本题考查了勾股定理、弦图及正弦函数的计算,明确相关性质及定理是解题的关键. 2.(2024·广西·中考真题)如图,在 中, , . (1)尺规作图:作线段 的垂直平分线l,分别交 , 于点D,E:(要求:保留作图痕迹,不写作法, 标明字母) (2)在(1)所作的图中,连接 ,若 ,求 的长. 【答案】(1)见详解 (2) 【分析】(1)分别以A、B为圆心,大于 为半径画弧,分别交 , 于点D,E,作直线 ,则 直线l即为所求. (2)连接 ,由线段垂直平分线的性质可得出 ,由等边对等角可得出 ,由三角 形内角和得出 ,则得出 为等腰直角三角形,再根据正弦的定义即可求出 的长. 【详解】(1)解:如下直线l即为所求. 2关注公众号:陆陆高分冲刺 ~领取:最新版“小中高考-总复习”、最新试卷下载 (2)连接 如下图: ∵ 为线段 的垂直平分线, ∴ , ∴ , ∴ , ∴ 为等腰直角三角形, ∴ , ∴ 【点睛】本题主要考查了作线段的垂线平分线,线段的垂线平分线的性质,等腰三角形的性质,三角形内 角和定理以及正弦的定义.掌握线段的垂直平分线的性质是解题的关键. 3.(2025·山东东营·中考真题)《九章算术》是我国古代数学成就的杰出代表,其中《方田》章给出计算 弧田面积所用公式为:弧田面积 (弦 矢+矢 ),弧田(如图)是由圆弧和其所对的弦所围成,公式 中“弦”指圆弧所对弦长 ,“矢”等于半径长与圆心 到弦的距离之差.在如图所示的弧田中, “弦”为8,“矢”为2,则 的值为 . 3关注公众号:陆陆高分冲刺 ~领取:最新版“小中高考-总复习”、最新试卷下载 【答案】 / 【分析】本题主要考查垂径定理、勾股定理、三角函数的定义等知识点.如图,作 交 于 , 交圆弧于 ,利用垂径定理和勾股定理构建方程组求出 , ,利用余弦函数定义即可解决问题. 【详解】解:如图,作 交 于 ,交圆弧于 , 由题意: , 设 ,由 , ∴ , ∵ , 为半径, ∴ , 在 中, 由勾股定理得 , ∴ , 解得 , ∴ , ∴ . 故答案为: . 4.(2023·内蒙古·中考真题)如图是源于我国汉代数学家赵爽的弦图,它是由四个全等直角三角形与一个 小正方形拼成的一个大正方形.若小正方形的面积为1,大正方形的面积为25,直角三角形中较小的锐角 为 ,则 的值为( ) 4关注公众号:陆陆高分冲刺 ~领取:最新版“小中高考-总复习”、最新试卷下载 A. B. C. D. 【答案】D 【分析】首先根据两个正方形的面积分别求出两个正方形的边长,然后结合题意进一步设直角三角形短的 直角边为 ,则较长的直角边为 ,再接着利用勾股定理得到关于 的方程,据此进一步求出直角三角 形各个直角边的边长,最后求出 的值即可. 【详解】∵小正方形的面积为 ,大正方形的面积为25, ∴小正方形的边长为1,大正方形的边长为5, 设直角三角形短的直角边为 ,则较长的直角边为 ,其中 , ∴ ,其中 , 解得: , , ∴ , 故选:D. 【点睛】本题主要考查了勾股定理与一元二次方程及三角函数的综合运用,熟练掌握相关概念是解题关键. 5.(2023·吉林长春·中考真题)学校开放日即将来临,负责布置的林老师打算从学校图书馆的顶楼拉出一 条彩旗绳 到地面,如图所示.已彩旗绳与地面形成 角(即 )、彩旗绳固定在地面的位 置与图书馆相距32米(即 米),则彩旗绳 的长度为( ) A. 米 B. 米 C. 米 D. 米 【答案】D 【分析】根据余弦值的概念即邻边与斜边之比,即可求出答案. 5关注公众号:陆陆高分冲刺 ~领取:最新版“小中高考-总复习”、最新试卷下载 【详解】解: 表示的是地面, 表示是图书馆, , 为直角三角形, (米). 故选:D. 【点睛】本题考查的是解直角三角形的应用,涉及到余弦值,解题的关键在于熟练掌握余弦值的概念. 6.(2023·江苏·中考真题)如图,在 中, ,点D在边AB上,连接CD.若 , ,则 . 【答案】 / 【分析】由题意可设 ,则 , ,在 中求得 ,在 中求出 答案即可. 【详解】解: , , 设 ,则 , , 在 中,由勾股定理得: , 在 中, . 【点睛】本题考查的是求锐角三角函数,解题关键是根据比值设未知数,表示出边长从而求出锐角三角函 数值. 7.(2023·江苏连云港·中考真题)如图,菱形 的对角线 相交于点 为 的中点, 6关注公众号:陆陆高分冲刺 ~领取:最新版“小中高考-总复习”、最新试卷下载 , .求 的长及 的值. 【答案】 , 【分析】根据菱形的性质得出 , 中,勾股定理求得 的长,根据正切的定 义即可求解. 【详解】在菱形 中, . ∵ ,∴ . 在 中,∵ 为 中点, ∴ . ∵ . ∴ . ∴ . ∴ . 【点睛】本题考查了菱形的性质,勾股定理,求正切,熟练掌握以上知识是解题的关键. 8.(2024·山东淄博·中考真题)如图,在综合与实践活动课上,小强先测得教学楼在水平地面上的影长 为 .又在点 处测得该楼的顶端 的仰角是 .则用科学计算器计算教学楼高度的按键顺序正 确的是( ) 7关注公众号:陆陆高分冲刺 ~领取:最新版“小中高考-总复习”、最新试卷下载 A. B. C. D. 【答案】A 【分析】本题考查解直角三角形的应用,用计算器计算三角函数值,根据题意,得到 ,进 行判断即可. 【详解】解:由题意,得:在 中, , , ∴ ; 计算器的按键为 ; 故选A. 考点 02 解直角三角形的实际应用——俯仰角 1.(2025·四川达州·中考真题)为了让莲花湖湿地公园的天更蓝,水更清,莲花湖管委会定期利用无人机 指引工作人员清理湖中垃圾.已知无人机悬停在湖面上的 处,工作人员所乘小船在 处测得无人机的仰 角为 ,当工作人员沿正前方向划行 米到达 处,测得无人机的仰角为 ,求无人机离湖面的高度 (结果不取近似值) 【答案】无人机离湖面的高度为 米 【分析】本题考查了解直角三角形的应用,构造直角三角形是解题的关键;过点 作 于点 ,设 ,根据题意得出 , ,在 中,根据 ,列出方程,解方程, 即可求解. 【详解】解:如图,过点 作 于点 , 8关注公众号:陆陆高分冲刺 ~领取:最新版“小中高考-总复习”、最新试卷下载 依题意 设 , 在 中, ∴ , ∵ ∴ , 在 中, ∴ 解得: 答:无人机离湖面的高度为 米 2.(2025·吉林长春·中考真题)如图,已知某山峰的海拔高度为 米,一位登山者到达海拔高度为 米的 点 处.测得山峰顶端 的仰角为 .则 、 两点之间的距离为( ) A. 米 B. 米 C. 米 D. 米 【答案】B 9关注公众号:陆陆高分冲刺 ~领取:最新版“小中高考-总复习”、最新试卷下载 【分析】本题主要考查了解直角三角形的实际应用,掌握三角函数的定义是解题的关键. 由题意得四边形 是矩形,则 ,那么 ,再解 即可. 【详解】解:由题意得,四边形 是矩形, ∴ , ∴ , 由题意得, , ∴ , ∴ , 故选:B. 3.(2025·辽宁·中考真题)如图,为了测量树 的高度,在水平地面上取一点 ,在 处测得 , ,则树 的高约为 (结果精确到 .参考数据: , ). 【答案】 【分析】本题考查了解直角三角形的实际应用,正确使用三角函数是解题的关键. 在 中,由 即可求解. 【详解】解:由题意得 , ∴在 中, , 故答案为: . 4.(2025·吉林·中考真题)综合与实践:确定建筑物的 打印模型的高度项目提出:图是某城市规划展 览馆.树人中学的 打印社团为展示城市文化,准备制作该城市规划展览馆的 打印模型,需要测量并 计算展览馆高度,为制作 打印模型提供数据. 10关注公众号:陆陆高分冲刺 ~领取:最新版“小中高考-总复习”、最新试卷下载 项目报告表 时间:2025年5月29日 活动目 测量该城市规划展览馆的实际高度并换算其 打印模型的高度 项 标 目 分 测量工 析 测角仪、皮尺 具 以下是测得的相关数据,并画出了如图所示的测量草图. 1.测出测角仪的高 . 2.利用测角仪测出展览馆顶端A的仰角 . 3.测出测角仪 底端D处到展览馆 底端B处之间的距离 . 任务一 测量数 据 项 目 实 施 任务二 根据上述测得的数据,计算该城市规划展览馆 的高度.(结果精确到 计算实 1m)(参考数据: , , ) 际高度 任务三 将该城市规划展览馆 的高度按 等比例缩小,得到其 打印模 换算模 型的高度约为________ .(结果精确到 ) 型高度 项目结果 为社团制作城市规划展览馆的 打印模型提供数据 请结合上表中的测量草图和相关数据,帮助该社团完成任务二和任务三. 【答案】该城市规划展览馆 的高度为 ; 打印模型的高度约为 11关注公众号:陆陆高分冲刺 ~领取:最新版“小中高考-总复习”、最新试卷下载 【分析】本题考查了解直角三角形的实际应用,比例的基本性质,正确理解题意是解题的关键. 任务二:先由矩形 得到 , ,然后解 即可; 任务三:由比例尺等于图上距离比上实际距离求解即可. 【详解】解:任务二:由题意得 为矩形, ∴ , , ∵在 中, ∴ , ∴ , 答:该城市规划展览馆 的高度为 ; 任务三:设 打印模型的高度约为 , 则由题意得: , 解得: , 答: 打印模型的高度约为 . 5.(2025·陕西·中考真题)小涵和小宇想测量公园山坡上一个信号杆的高度.在征得家长同意后,他们带 着工具前往测量.测量示意图如图所示,他们在坡面 上的点 处安装测角仪 ,测得信号杆顶端 的仰角 为 , 与坡面的夹角 为 ,又测得点 与信号杆底端 之间的距离 为 .已知 ,点 , , 在同一条直线上, , 均与水平线 垂直.求信号杆的高 .(参考数 据: , , ) 【答案】信号杆的高 为 【分析】本题考查了解直角三角形的应用,三角形内角和性质,矩形的判定与性质,等角对等边,正确掌 握相关性质内容是解题的关键.先理解题意,得出 ,再在 中,运用 , ,代入数值进行计算,得出 的值,然后证明四边形 12关注公众号:陆陆高分冲刺 ~领取:最新版“小中高考-总复习”、最新试卷下载 是矩形,故 ,根据 , ,得 , , 把数值代入 进行计算,即可作答. 【详解】解:过点E作 于点 ,过点D作 于点 ,如图所示: ∵ , 均与水平线 垂直. ∴ ∴ , ∵ ∴ 在 中, , 则 , 在 中, , 则 , ∵过点E作 于点 ,过点D作 于点 , ∴ , ∴四边形 是矩形 ∴ , ∵ , , ∴ , ∴ , ∴ , 13关注公众号:陆陆高分冲刺 ~领取:最新版“小中高考-总复习”、最新试卷下载 信号杆的高 为 . 6.(2025·安徽·中考真题)某公司为庆祝新产品上市,在甲楼与乙楼的楼顶之间悬挂彩带营造喜庆气氛. 如图所示,甲楼和乙楼分别用与水平地面垂直的线段 和 表示,彩带用线段 表示.工作人员在点 A处测得点C的俯角为 ,测得点D的仰角为 .已知 ,求 的长(精确到 ). 参考数据: , , , , , . 【答案】 【分析】本题主要考查了解直角三角形的实际应用,过点A作 ,垂足为点E,则四边形 为 矩形,可得 ,解 求出 的长,再解 求出 的长即可得到答案. 【详解】解:过点A作 ,垂足为点E. ∵线段 和 都与地面垂直, ∴四边形 为矩形, ∴ . 在 中, , ∴ . 在 中, , . 14关注公众号:陆陆高分冲刺 ~领取:最新版“小中高考-总复习”、最新试卷下载 答: 的长为 . 7.(2024·四川雅安·中考真题)在数学课外实践活动中,某小组测量一栋楼房 的高度(如图),他们 在A处仰望楼顶,测得仰角为 ,再往楼的方向前进50米至B处,测得仰角为 ,那么这栋楼的高度 为(人的身高忽略不计)( ) A. 米 B.25米 C. 米 D.50米 【答案】A 【分析】此题考查了解直角三角形的应用-仰角俯角问题,要求学生能借助仰角构造直角三角形并解直角三 角形. 设 米,在 中,利用锐角三角函数定义表示出 ,在 中,利用锐角三角函数定义 表示出 ,再由 列出关于 的方程,求出方程的解得到 的值即可. 【详解】解:设 米, 在 中, , ,即 , 整理得: 米, 在 中, , ,即 , 整理得: 米, ∵ 米, ∴ ,即 , 解得: , 15关注公众号:陆陆高分冲刺 ~领取:最新版“小中高考-总复习”、最新试卷下载 侧这栋楼的高度为 米. 故选:A. 8.(2024·黑龙江牡丹江·中考真题)如图,某数学活动小组用高度为 米的测角仪 ,对垂直于地面 的建筑物 的高度进行测量, 于点C.在B处测得A的仰角 ,然后将测角仪向 建筑物方向水平移动6米至 处, 于点G,测得A的仰角 , 的延长线交 于点 E,求建筑物 的高度(结果保留小数点后一位).(参考数据: ) 【答案】17.5米 【分析】本题主要考查了矩形的性质与判定,解直角三角形的实际应用,由题意可得四边形 是矩形, 则 .解直角三角形得到 ,进而得到 ,据此求出 即可得到答案. 【详解】解:根据题意可知四边形 是矩形, . 如图, . , . , . (米) 答:建筑物 的高度约为 米. 16关注公众号:陆陆高分冲刺 ~领取:最新版“小中高考-总复习”、最新试卷下载 考点 03 解直角三角形的实际应用——坡度、坡角 1.(2025·四川资阳·中考真题)如图,已知水平地面 上方有一个水平的平台 ,该平台上有一个竖 直的建筑物 .在 处测得建筑物顶端 的仰角为 ,在 处测得 的仰角为 ,斜坡 的坡度 米, .(点 在同一竖直平面内). (1)求平台 的高度; (2)求建筑物的高度(即 的长). 【答案】(1)10米 (2) 米 【分析】本题考查解直角三角形的实际应用,矩形的判定及性质. (1)过点B作 于点E,则 ,根据斜坡 的坡度 ,得到 ,从而 在 中,根据勾股定理构造方程,求解即可; (2)延长 交 于点F,得到四边形 是矩形,因此 米, ,设 米,则 (米),通过解直角三角形在 中,求得 (米),在 中,求得∴ (米),进而根据 列出方程,求解即 可. 【详解】(1)解:过点B作 于点E,则 17关注公众号:陆陆高分冲刺 ~领取:最新版“小中高考-总复习”、最新试卷下载 ∵斜坡 的坡度 , ∴ , ∵在 中, , 即 , ∴ 米, ∴平台 的高度是10米. (2)解:延长 交 于点F, ∵ , , ∴ , ∴四边形 是矩形, ∴ 米, , 设 米,则 (米), ∵在 中, , ∴ (米), ∵在 中, , ∴ (米), 18关注公众号:陆陆高分冲刺 ~领取:最新版“小中高考-总复习”、最新试卷下载 ∴ 米, 由(1)有 (米), ∵ , ∴ , 解得 , ∴ (米), 即建筑物的高度(即 的长)为 米. 2.(2024·四川巴中·中考真题)某兴趣小组开展了测量电线塔高度的实践活动.如图所示,斜坡 的坡 度 , ,在 处测得电线塔 顶部 的仰角为 ,在 处测得电线塔 顶部 的仰角 为 . (1)求点 离水平地面的高度 . (2)求电线塔 的高度(结果保留根号). 【答案】(1) ; (2)电线塔 的高度 . 【分析】本题主要考查了解直角三角形的实际应用. (1)由斜坡 的坡度 ,求得 ,利用正切函数的定义得到 ,据此求解 即可; 19关注公众号:陆陆高分冲刺 ~领取:最新版“小中高考-总复习”、最新试卷下载 (2)作 于点 ,设 ,先解 得到 ,解 得到 米,进 而得到方程 ,解方程即可得到答案. 【详解】(1)解:∵斜坡 的坡度 , ∴ , ∵ , ∴ , ∵ , ∴ ; (2)解:作 于点 ,则四边形 是矩形, , , 设 , 在 中, , ∴ , 在 中, , 在 中, , , 20关注公众号:陆陆高分冲刺 ~领取:最新版“小中高考-总复习”、最新试卷下载 ∴ , ∴ , ∴ , ∴ , ∴ 答:电线塔 的高度 . 3.(2024·四川眉山·中考真题)如图,斜坡 的坡度 ,在斜坡上有一棵垂直于水平面的大树 , 当太阳光与水平面的夹角为 时,大树在斜坡上的影子 长为10米,则大树 的高为 米. 【答案】 / 【分析】此题考查了解直角三角形的应用,勾股定理,解题的关键是正确构造直角三角形. 如图,过点 作水平地面的平行线,交 的延长线于点 ,设 米, 米,勾股定理求出 ,解直角三角形求出 ,进而求解即可. 【详解】解:如图,过点 作水平地面的平行线,交 的延长线于点 , 则 , 21关注公众号:陆陆高分冲刺 ~领取:最新版“小中高考-总复习”、最新试卷下载 在 中, , 设 米, 米, , , 米, 米, , (米), (米), 答:大树 的高度为 米. 故答案为: . 4.(2024·四川广安·中考真题)风电项目对于调整能源结构和转变经济发展方式具有重要意义.某电力部 门在某地安装了一批风力发电机,如图(1)某校实践活动小组对其中一架风力发电机的塔杆高度进行了 测量,图(2)为测量示意图(点 , , , 均在同一平面内, ).已知斜坡 长为20米, 斜坡 的坡角为 ,在斜坡顶部 处测得风力发电机塔杆顶端 点的仰角为 ,坡底与塔杆底的距离 米,求该风力发电机塔杆 的高度. (结果精确到个位;参考数据: , , , ) 【答案】32m 【分析】本题考查的是矩形的判定与性质,解直角三角形的实际应用,过点 作 于点 ,作 于点 ,先求解 , ,再证明 22关注公众号:陆陆高分冲刺 ~领取:最新版“小中高考-总复习”、最新试卷下载 ,再利用锐角的正切可得 ,从而可得答案. 【详解】解:过点 作 于点 ,作 于点 由题意得: , 在 中, , , , 四边形 为矩形, , , , 在 中. , 答:该风力发电机塔杆 的高度为 . 5.(2023·江苏泰州·中考真题)如图,堤坝 长为 ,坡度i为 ,底端A在地面上,堤坝与对 面的山之间有一深沟,山顶D处立有高 的铁塔 .小明欲测量山高 ,他在A处看到铁塔顶端C 刚好在视线 上,又在坝顶B处测得塔底D的仰角 为 .求堤坝高及山高 .( , , ,小明身高忽略不计,结果精确到 ) 23关注公众号:陆陆高分冲刺 ~领取:最新版“小中高考-总复习”、最新试卷下载 【答案】堤坝高为8米,山高 为20米. 【分析】过B作 于H,设 , ,根据勾股定理得到 , 求得 ,过B作 于F,则 ,设 ,解直角三角形即可 得到结论. 【详解】解:过B作 于H, ∵坡度i为 , ∴设 , , ∴ , ∴ , ∴ , 过B作 于F, 则 , 设 , ∵ . ∴ , ∴ , 24关注公众号:陆陆高分冲刺 ~领取:最新版“小中高考-总复习”、最新试卷下载 ∵坡度i为 , ∴ , ∴ , ∴ (米), ∴ (米), 答:堤坝高为8米,山高 为20米. 【点睛】本题考查了解直角三角形的应用-俯角仰角,解直角三角形的应用-坡角坡度,正确地作出辅助线 是解题的关键. 6.(2023·湖北·中考真题)为了防洪需要,某地决定新建一座拦水坝,如图,拦水坝的横断面为梯形 ,斜面坡度 是指坡面的铅直高度 与水平宽度 的比.已知斜坡 长度为20米, ,求斜坡 的长.(结果精确到米)(参考数据: ) 【答案】斜坡 的长约为10米 【分析】过点 作 于点 ,在 中,利用正弦函数求得 ,在 中,利用勾 股定理即可求解. 【详解】解:过点 作 于点 ,则四边形 是矩形, 在 中, , . ∴ . ∵ , ∴在 中, (米). 答:斜坡 的长约为10米. 25关注公众号:陆陆高分冲刺 ~领取:最新版“小中高考-总复习”、最新试卷下载 【点睛】此题考查的是解直角三角形的应用-坡度坡角问题,掌握坡度坡角的概念、熟记锐角三角函数的定 义是解题的关键. 7.(2023·四川自贡·中考真题)为测量学校后山高度,数学兴趣小组活动过程如下: (1)测量坡角 如图1,后山一侧有三段相对平直的山坡 ,山的高度即为三段坡面的铅直高度 之和,坡面的长度可以直接测量得到,要求山坡高度还需要知道坡角大小. 如图2,同学们将两根直杆 的一端放在坡面起始端A处,直杆 沿坡面 方向放置,在直杆 另一端N用细线系小重物G,当直杆 与铅垂线 重合时,测得两杆夹角 的度数,由此可得山 坡AB坡角 的度数.请直接写出 之间的数量关系. (2)测量山高 同学们测得山坡 的坡长依次为40米,50米,40米,坡角依次为 ;为求 ,小 熠同学在作业本上画了一个含 角的 (如图3),量得 .求山高 .( ,结果精确到1米) (3)测量改进 由于测量工作量较大,同学们围绕如何优化测量进行了深入探究,有了以下新的测量方法. 如图4,5,在学校操场上,将直杆NP置于 的顶端,当 与铅垂线 重合时,转动直杆 ,使点 26关注公众号:陆陆高分冲刺 ~领取:最新版“小中高考-总复习”、最新试卷下载 N,P,D共线,测得 的度数,从而得到山顶仰角 ,向后山方向前进40米,采用相同方式,测得 山顶仰角 ;画一个含 的直角三角形,量得该角对边和另一直角边分别为 厘米, 厘米,再画一个含 的直角三角形,量得该角对边和另一直角边分别为 厘米, 厘米.已知杆高MN为 米,求山高 .(结果用不含 的字母表示) 【答案】(1) ; (2)山高 为69米; (3)山高 的高为 米.. 【分析】(1)利用互余的性质即可求解; (2)先求得 ,再分别在 、 、 中,解直角三角形即可求解; (3)先求得 , ,在 和 中,分别求得 和 的长,得到方程 ,据此即可求解. 【详解】(1)解:由题意得 , ∴ ; (2)解:在 中, . ∴ , 27关注公众号:陆陆高分冲刺 ~领取:最新版“小中高考-总复习”、最新试卷下载 在 中, , 米, ∴ (米), 在 中, , 米, ∴ (米), 在 中, , 米, ∴ (米), ∴山高 (米), 答:山高 为69米; (3)解:如图,由题意得 , , 设山高 ,则 , 在 中, , , ∴ , ∴ , 28关注公众号:陆陆高分冲刺 ~领取:最新版“小中高考-总复习”、最新试卷下载 在 中, , , ∴ , ∴ , ∵ , ∴ ,即 , 解得 ,山高 答:山高 的高为 米. 【点睛】本题考查了解直角三角形的应用,能够正确地构建出直角三角形,将实际问题化归为解直角三角 形的问题是解答此类题的关键. 考点 0 4 解直角三角形的实际应用——方位角 1.(2025·重庆·中考真题)为加强森林防火,某林场采用人工瞭望与无人机巡视两种方式监测森林情况. 如图,A,B,C,D在同一平面内.A是瞭望台,某一时刻,观测到甲无人机位于A的正东方向10千米的 B处,乙无人机位于A的南偏西 方向20千米的D处.两无人机同时飞往C处巡视,D位于C的正西方 向上,B位于C的北偏西 方向上.(参考数据: , , , ) (1)求 的长度(结果保留小数点后一位); (2)甲、乙两无人机同时分别从B,D出发沿 往C处进行巡视,乙无人机速度为甲无人机速度的2 29关注公众号:陆陆高分冲刺 ~领取:最新版“小中高考-总复习”、最新试卷下载 倍.当两无人机相距20千米时,它们可以开始相互接收到信号.请问甲无人机飞离B处多少千米时,两 无人机可以开始相互接收到信号(结果保留小数点后一位)? 【答案】(1) 千米 (2) 千米 【分析】本题主要考查了解直角三角形的实际应用,矩形的性质与判定, 正确作出辅助线构造直角三角 形是解题的关键。 (1)过点A作 于E,过点B作 于F,由题意得, ,解 得到 千米, 千米,证明四边形 是矩形, 得到 千米, 千米, 得到 千米,再利用勾股定理即可求出 的长; (2)当甲无人机运动到M,乙无人机运动到N时,此时满足 千米.过点M作 于T,由 题意得, ,解 得到 千米, 千米,则 千 米,设 千米,则 千米, 千米,解 得到 千米, 千米,则 千米,由勾股定理得 ,解方 程即可得到答案。 【详解】(1)解:如图所示,过点A作 于E,过点B作 于F, ∴ , 由题意得, , 在 中, 千米, 千米, ∵无人机位于A的正东方向10千米的B处,D位于C的正西方向上, 30关注公众号:陆陆高分冲刺 ~领取:最新版“小中高考-总复习”、最新试卷下载 ∴ , ∴ , ∴四边形 是矩形, ∴ 千米, 千米, ∴ 千米, ∴ 千米, 答: 的长度约为 千米; (2)解:如图所示,当甲无人机运动到M,乙无人机运动到N时,此时满足 千米.过点M作 于T, 由题意得, , 在 中, 千米, 千米, ∴ 千米, 设 千米,则 千米, 千米, 在 中, 千米, 千米, ∴ 千米, 31关注公众号:陆陆高分冲刺 ~领取:最新版“小中高考-总复习”、最新试卷下载 在 中,由勾股定理得 , ∴ , ∴ 或 (此时大于 的长,舍去), ∴ 千米, 答:甲无人机飞离B处 千米时,两无人机可以开始相互接收到信号. 2.(2025·山东烟台·中考真题)【综合与实践】 烟台山灯塔被誉为“黄海夜明珠”,它坐落在烟台山上,为过往船只提供导航服务.为了解渔船海上作业 情况,某日,数学兴趣小组开展了实践探究活动. 如图,一艘渔船自东向西以每小时 海里的速度向码头 航行,小组同学收集到以下信息: 码头A在灯塔B北偏西 方向 位置信 14:30时,渔船航行至灯塔 北偏东 方向的 处 息 15:00时,渔船航行至灯塔 东北方向的 处 天气预 受暖湿气流影响,今天17:30到夜间,码头 附近海域将出现浓雾天气.请 警 注意防范. 请根据以上信息,解答下列问题: (1)求渔船在航行过程中到灯塔 的最短距离; (2)若不改变航行速度,请通过计算说明渔船能否在浓雾到来前到达码头 (参考数据: , , , , , ). 【答案】(1)渔船在航行过程中到灯塔 的最短距离为 海里 (2)不改变航行速度,渔船能在浓雾到来前到达码头 32关注公众号:陆陆高分冲刺 ~领取:最新版“小中高考-总复习”、最新试卷下载 【分析】本题考查了解直角三角形的应用,构造直角三角形是解题的关键; (1)过点 作 于点 ,设 ,根据题意得出 ,解 ,得出 ,建立方程,即可求解; (2)求得 的距离,计算 的距离,根据路程除以速度得到航行时间,结合题意,即可求解. 【详解】(1)解:如图,过点 作 于点 , 设 , 依题意, , , , ∴ , , ∴ , 在 中, , ∴ , 解得: , ∴渔船在航行过程中到灯塔 的最短距离为 海里; (2)解:在 中, , , ∴ , ∴ , 小时 分钟, 从14:30,经过 分钟是 ,在 之前到达, ∴不改变航行速度,渔船能在浓雾到来前到达码头 . 3.(2024·海南·中考真题)木兰灯塔是亚洲最高、世界第二高的航标灯塔,位于海南岛的最北端,是海南 岛东北部最重要的航标.某天,一艘渔船自西向东(沿 方向)以每小时10海里的速度在琼州海峡航行, 如图所示. 33关注公众号:陆陆高分冲刺 ~领取:最新版“小中高考-总复习”、最新试卷下载 航行记录记录一:上午8时,渔船到达木兰灯塔P北偏西 方向上的A处. 记录二:上午8时30分,渔船到达木兰灯塔P北偏西 方向上的B处. 记录三:根据气象观测,当天凌晨4时到上午9时,受天文大潮和天气影响,琼州海峡 C点周围5海里内,会出现异常海况,点C位于木兰灯塔P北偏东 方向. 请你根据以上信息解决下列问题: (1)填空: ________ , ________ , ________海里; (2)若该渔船不改变航线与速度,是否会进入“海况异常”区,请计算说明. (参考数据: ) 【答案】(1)30;75;5 (2)该渔船不改变航线与速度,会进入“海况异常”区 【分析】本题主要考查了方位角的计算,解直角三角形的实际应用,三角形内角和定理: (1)根据方位角的描述和三角形内角和定理可求出两个角的度数,根据路程等于速度乘以时间可以计算 出对应线段的长度; (2)设 海里,先解 得到 ,再解 得到 海里, 海里,据此可得 ,解得 海里;证明 ,则 海里;再求出上午9时时船与C点的距离即可得到结论. 【详解】(1)解:如图所示,过点P作 于D, 由题意得, , ∴ ; ∵一艘渔船自西向东(沿 方向)以每小时10海里的速度在琼州海峡航行,上午8时从A出发到上午8 时30分到达B, 34关注公众号:陆陆高分冲刺 ~领取:最新版“小中高考-总复习”、最新试卷下载 ∴ 海里. (2)解:设 海里, 在 中, 海里, 在 中, 海里, 海里, ∵ , ∴ , 解得 , ∴ 海里, ∵ , ∴ , ∴ 海里; 上午9时时,船距离A的距离为 海里, ∵ , ∴该渔船不改变航线与速度,会进入“海况异常”区. 4.(2024·四川资阳·中考真题)如图,某海域有两灯塔A,B,其中灯塔B在灯塔A的南偏东 方向,且 A,B相距 海里.一渔船在C处捕鱼,测得C处在灯塔A的北偏东 方向、灯塔B的正北方向. 35关注公众号:陆陆高分冲刺 ~领取:最新版“小中高考-总复习”、最新试卷下载 (1)求B,C两处的距离; (2)该渔船从C处沿北偏东 方向航行一段时间后,突发故障滞留于D处,并发出求救信号.此时,在灯 塔B处的渔政船测得D处在北偏东 方向,便立即以18海里/小时的速度沿 方向航行至D处救援,求 渔政船的航行时间. (注:点A,B,C,D在同一水平面内;参考数据: , ) 【答案】(1)B,C两处的距离为16海里 (2)渔政船的航行时间为 小时 【分析】本题考查了解直角三角形的实际应用,解题的关键是正确画出辅助线,构造直角三角形. (1)根据题意易得 ,则 ,再求出 (海里),即可解答; (2)过点D作 于点F,设 海里,则 , ,则 ,求出 ,进而得出 海里, 海里,根据勾股定理可得: (海里),即可解答. 【详解】(1)解:过点A作 于点E, ∵灯塔B在灯塔A的南偏东 方向,C处在灯塔A的北偏东 方向、灯塔B的正北方向. ∴ , ∴ , ∵ , ∴ , 36关注公众号:陆陆高分冲刺 ~领取:最新版“小中高考-总复习”、最新试卷下载 ∵ 海里, ∴ (海里), ∴ (海里), ∴B,C两处的距离为16海里. (2)解:过点D作 于点F, 设 海里, ∵ , ∴ , 由(1)可知, 海里, ∴ 海里, ∵ , ∴ , ∴ , 解得: , ∴ 海里, 海里, 根据勾股定理可得: (海里), ∴渔政船的航行时间为 (小时), 37关注公众号:陆陆高分冲刺 ~领取:最新版“小中高考-总复习”、最新试卷下载 答:渔政船的航行时间为 小时. 5.(2024·江苏连云港·中考真题)图1是古代数学家杨辉在《详解九章算法》中对“邑的计算”的相关研 究.数学兴趣小组也类比进行了如下探究:如图2,正八边形游乐城 的边长为 ,南 门 设立在 边的正中央,游乐城南侧有一条东西走向的道路 , 在 上(门宽及门与道路间 距离忽略不计),东侧有一条南北走向的道路 ,C处有一座雕塑.在 处测得雕塑在北偏东 方向上, 在 处测得雕塑在北偏东 方向上. (1) __________ , __________ ; 38关注公众号:陆陆高分冲刺 ~领取:最新版“小中高考-总复习”、最新试卷下载 (2)求点 到道路 的距离; (3)若该小组成员小李出南门O后沿道路 向东行走,求她离 处不超过多少千米,才能确保观察雕塑不 会受到游乐城的影响?(结果精确到 ,参考数据: , , , , ) 【答案】(1) , (2)2.0千米 (3) 【分析】本题考查正多边形的外角,解直角三角形,相似三角形的判定和性质: (1)求出正八边形的一个外角的度数,再根据角的和差关系进行求解即可; (2)过点 作 ,垂足为 ,解 ,求出 ,解 ,求出 ,即可; (3)连接 并延长交 于点 ,延长 交 于点 ,过点 作 ,垂足为 ,解 ,求出 ,证明 ,列出比例式进行求解即可. 【详解】(1)解:∵正八边形的一个外角的度数为: , ∴ , ; 故答案为: ; (2)过点 作 ,垂足为 . 在 中, , , 39关注公众号:陆陆高分冲刺 ~领取:最新版“小中高考-总复习”、最新试卷下载 . 在 中, , . 答:点 到道路 的距离为2.0千米. (3)连接 并延长交 于点 ,延长 交 于点 ,过点 作 ,垂足为 . 正八边形的外角均为 , 在 中, . . 又 , , . ∵ , ∴ , 40关注公众号:陆陆高分冲刺 ~领取:最新版“小中高考-总复习”、最新试卷下载 ,即 , , . 答:小李离点 不超过2.4km,才能确保观察雕塑不会受到游乐城的影响. 6.(2023·山东临沂·中考真题)如图,灯塔A周围9海里内有暗礁.一渔船由东向西航行至B处,测得灯 塔A在北偏西58°方向上,继续航行6海里后到达C处,测得灯塔A在西北方向上.如果渔船不改变航线 继续向西航行,有没有触礁的危险? (参考数据: ) 【答案】渔船没有触礁的危险 【分析】过点 作 ,分别解 和 ,求出 的长,即可得出结论. 【详解】解:过点 作 ,由题意,得: , , , 设 , 在 中, , ∴ , ∴ , 41关注公众号:陆陆高分冲刺 ~领取:最新版“小中高考-总复习”、最新试卷下载 在 中, , ∴ , ∴ , ∵ , ∴渔船没有触礁的危险. 【点睛】本题考查解直角三角形的应用—方向角问题.解题的关键是添加辅助线,构造直角三角形. 考点 0 5 解直角三角形的实际应用——其他 1.(2025·贵州·中考真题)某小区在设计时,计划在如图①的住宅楼正前方建一栋文体活动中心.设计示 意图如图②所示,已知 ,该地冬至正午太阳高度角 为 .如果你是建筑设计师, 请结合示意图和已知条件完成下列任务. 任务一:计算冬至正午太阳照到住宅楼的位置与地面之间的距离 的长; 任务二:为符合建筑规范对日照的要求,让整栋住宅楼在冬至正午太阳高度角下恰好都能照射到阳光,需 将活动中心沿 方向移动一定的距离(活动中心高度不变),求该活动中心移动了多少米? (参考数据: .结果保留小数点后一位) 【答案】任务一: ,任务二:该活动中心移动了2米; 【分析】本题考查的是矩形的判定与性质,解直角三角形的实际应用; 任务一:如图,过 作 于 ,结合题意可得:四边形 为矩形, ,可得 , ,求解 ,进一步可得答案; 任务二:如图,过 作 的平行线,过 作 的平行线,两线交于点 , 交于点 ,过 作 于 ,可得 ,四边形 为矩形, ,求解 ,进一步可得答案. 42关注公众号:陆陆高分冲刺 ~领取:最新版“小中高考-总复习”、最新试卷下载 【详解】解:任务一:如图,过 作 于 , 结合题意可得:四边形 为矩形, , ∵ , ∴ , , ∵ , ∴ , ∴ ; 任务二:如图,过 作 的平行线,过 作 的平行线,两线交于点 , 交于点 ,过 作 于 , ∴ ,四边形 为矩形, ∴ , ∴ , ∴ ; ∴该活动中心移动了2米. 2.(2025·青海·中考真题)数学实践 【问题背景】 中国传统农业智慧遇上现代数学模型.“豇豆不上架,产量少一半”的农谚流传至今,现代科学揭示了其 秘密:当支架与地面形成 夹角时,既能在早春聚热防冻害,又能在盛夏分散强光,就像给豇豆装了智 能遮阳篷. 43关注公众号:陆陆高分冲刺 ~领取:最新版“小中高考-总复习”、最新试卷下载 【问题呈现】 用两根竹竿交叉,斜插入地面,交叉点在何处会使支架与地面形成 夹角? 【模型建立】 环节一:数据收集 两根竹竿长度均为1.8米,插入地下的部分为0.3米,竹竿与地面接触点间距为0.6米且与地面所形成的夹 角均为 . 环节二:数学抽象 如图:已知线段 与 交于点 , , 与直线 分别交于点 , , , , , ,求 的长度.(结果精确到0.1,参考数据: , , ) 【模型求解】 【问题总结】 交叉点 距顶端 的长度即 为______ 时,支架与地面形成 夹角,这样更贴合作物的生长规律. 【答案】 , 【分析】本题考查的是解直角三角形的应用,如图,过 作 于 ,根据等腰三角形的性质可得 ,结合 可得答案;最后由 即可得到答案. 【详解】解:数学抽象:如图,过 作 于 , ∵ , ∴ , 44关注公众号:陆陆高分冲刺 ~领取:最新版“小中高考-总复习”、最新试卷下载 ∵ , ∴ , ∴ , ∴ , 问题总结:∵ , , ∴ . 3.(2025·湖南·中考真题)如图,某处有一个晾衣装置,固定立柱 和 分别垂直地面水平线 于点 , , 分米, .在点 , 之间的晾衣绳上有固定挂钩 , 分米,一件连衣裙 挂在点 处(点 与点 重合),且直线 . (1)如图1,当该连衣裙下端点 刚好接触到地面水平线 时,点 到直线 的距离 等于12分米,求 该连衣裙 的长度; (2)如图2,为避免该连衣裙接触到地面,在另一端固定挂钩 处再挂一条长裤(点 在点 的右侧),若 ,求此时该连衣裙下端 点到地面水平线 的距离约为多少分米?(结果保留整数,参考数 据: , , ) 【答案】(1)14分米 (2)2分米 【分析】本题主要考查了解直角三角形的实际应用,勾股定理,矩形的性质与判定,正确作出辅助线构造 直角三角形是解题的关键. (1)可证明四边形 是矩形,得到 ;在 中,利用勾股定理求出 的长,进而求 出 的长即可得到答案; (2)过点E作 于H,延长 交 于T,则四边形 是矩形,可得 ;解 求出 的长,进而求出 的长,据此求出 的长即可得到答案. 【详解】(1)解:∵ , ∴四边形 是矩形, 45关注公众号:陆陆高分冲刺 ~领取:最新版“小中高考-总复习”、最新试卷下载 ∴ ; 在 中, 分米, 分米, ∴ 分米, ∴ 分米, ∴ 分米, 答:该连衣裙 的长度为14分米; (2)如图所示,过点E作 于H,延长 交 于T, ∵ , ∴四边形 是矩形, ∴ ; 在 中, 分米, , , ∴ 分米, 分米, ∴ 分米, ∴ 分米, 分米, ∴ 分米; 答:此时该连衣裙下端 点到地面水平线 的距离约为2分米. 4.(2025·四川宜宾·中考真题)如图,扇形 为某运动场内的投掷区, 所在圆的圆心为O、A、B、 N、O在同一直线上.直线 与 所在 相切于点 .此时测得 ;从点 处沿 方向前 进8.0米到达B处.直线 与 所在 相切于点 ,此时测得 .(参考数据: 46关注公众号:陆陆高分冲刺 ~领取:最新版“小中高考-总复习”、最新试卷下载 ) (1)求圆心角 的度数; (2)求 的弧长(结果精确到 米). 【答案】(1) (2) 【分析】本题考查了解直角三角形的应用,圆的切线的性质,弧长公式,熟练掌握各知识点并灵活运用是 解题的关键. (1)由圆的切线的性质得到 ,再由直角三角形锐角互余即可求解; (2)先解 ,设 , ,再解 得到 ,求出 ,求 出半径,再由弧长公式即可求解. 【详解】(1)解:∵直线 与 所在 相切于点 , ∴ , ∵ , ∴ ; (2)解:∵直线 与 所在 相切于点 , ∴ , ∵ , ∴ , 设 , 47关注公众号:陆陆高分冲刺 ~领取:最新版“小中高考-总复习”、最新试卷下载 ∴ , ∵ , ∴ , ∵在 中, , ∴ , ∴ , 解得: , ∴ , ∴ 的弧长为: , 答: 的弧长为 . 5.(2024·内蒙古·中考真题)实验是培养学生创新能力的重要途径.如图是小亮同学安装的化学实验装置, 安装要求为试管口略向下倾斜,铁夹应固定在距试管口的三分之一处.现将左侧的实验装置图抽象成右侧 示意图,已知试管 ,试管倾斜角 为 . (1)求试管口B与铁杆 的水平距离 的长度;(结果用含非特殊角的三角函数表示) (2)实验时,导气管紧靠水槽壁 ,延长 交 的延长线于点F,且 于点N(点C,D,N, F在一条直线上),经测得: ,求线段 的长度.(结果用含非 48关注公众号:陆陆高分冲刺 ~领取:最新版“小中高考-总复习”、最新试卷下载 特殊角的三角函数表示) 【答案】(1) (2) 【分析】本题主要考查了解直角三角形的应用,通过作辅助线构造直角三角形,掌握直角三角形中的边角 关系是解题关键. (1)先求出 ,再在 中,利用余弦的定义求解即可得; (2)过点 作 于点 ,过点 作 于点 ,先解直角三角形可得 的长,从而可得 的长,再判断出 是等腰直角三角形,从而可得 的长,最后根据 求 解即可得. 【详解】(1)解:∵ , ∴ , 由题意可知, , 在 中, , ∴ , 答:试管口 与铁杆 的水平距离 的长度 . (2)解:如图,过点 作 于点 ,过点 作 于点 , 则四边形 和四边形 都是矩形, ∴ , 在 中, , , ∴ , ∵ , 49关注公众号:陆陆高分冲刺 ~领取:最新版“小中高考-总复习”、最新试卷下载 ∴ , ∴ , ∵ , , , ∴ , ∴ 是等腰直角三角形, ∴ , ∴ , 答:线段 的长度为 . 6.(2024·甘肃兰州·中考真题)单摆是一种能够产生往复摆动的装置,某兴趣小组利用摆球和摆线进行与 单摆相关的实验探究,并撰写实验报告如下. 实 验 探究摆球运动过程中高度的变化 主 题 实 验 摆球,摆线,支架,摄像机等 用 具 如图1,在支架的横杆点O处用摆线悬挂一个摆球,将摆球拉高后松手,摆球开 实 始往复运动.(摆线的长度变化忽略不计) 验 如图2,摆球静止时的位置为点A,拉紧摆线将摆球拉至点B处, , 说 明 , ;当摆球运动至点C时, , . (点O,A,B,C,D,E在同一平面内) 实 验 图 示 解决问题:根据以上信息,求 的长.(结果精确到 ) 参考数据: , . 50关注公众号:陆陆高分冲刺 ~领取:最新版“小中高考-总复习”、最新试卷下载 【答案】 的长为 【分析】本题考查的是解直角三角形的实际应用,先求解 ,再求解 ,从而可得答案; 【详解】解:∵ , , ; ∴ , , ∴ , ∵ , , ∴ , ∴ ; ∴ 的长为 ; 7.(2024·四川广元·中考真题)小明从科普读物中了解到,光从真空射入介质发生折射时,入射角 的正 弦值与折射角 的正弦值的比值 叫做介质的“绝对折射率”,简称“折射率”.它表示光在介质中 传播时,介质对光作用的一种特征. (1)若光从真空射入某介质,入射角为 ,折射角为 ,且 , ,求该介质的折射率; (2)现有一块与(1)中折射率相同的长方体介质,如图①所示,点A,B,C,D分别是长方体棱的中点, 若光线经真空从矩形 对角线交点O处射入,其折射光线恰好从点C处射出.如图②,已知 , ,求截面 的面积. 【答案】(1) ; 51关注公众号:陆陆高分冲刺 ~领取:最新版“小中高考-总复习”、最新试卷下载 (2) . 【分析】本题主要考查了解直角三角形的应用,勾股定理等知识, (1)根据 ,设 ,则 ,利用勾股定理求出 ,进而可得 ,问题即可得解; (2)根据折射率与(1)的材料相同,可得折射率为 ,根据 ,可得 ,则有 ,在 中,设 , ,问题随之得解. 【详解】(1)∵ , ∴如图, 设 ,则 ,由勾股定理得, , ∴ , 又∵ , ∴ , ∴折射率为: . (2)根据折射率与(1)的材料相同,可得折射率为 , 52关注公众号:陆陆高分冲刺 ~领取:最新版“小中高考-总复习”、最新试卷下载 ∵ , ∴ , ∴ . ∵四边形 是矩形,点O是 中点, ∴ , , 又∵ , ∴ , 在 中,设 , , 由勾股定理得, , ∴ . 又∵ , ∴ , ∴ , ∴ , ∴截面 的面积为: . 8.(2024·江苏苏州·中考真题)图①是某种可调节支撑架, 为水平固定杆,竖直固定杆 ,活 动杆 可绕点A旋转, 为液压可伸缩支撑杆,已知 , , . 53关注公众号:陆陆高分冲刺 ~领取:最新版“小中高考-总复习”、最新试卷下载 (1)如图②,当活动杆 处于水平状态时,求可伸缩支撑杆 的长度(结果保留根号); (2)如图③,当活动杆 绕点A由水平状态按逆时针方向旋转角度 ,且 ( 为锐角),求此时 可伸缩支撑杆 的长度(结果保留根号). 【答案】(1) (2) 【分析】本题考查了解直角三角形的应用,解题的关键是: (1)过点C作 ,垂足为E,判断四边形 为矩形,可求出 , ,然后在 中, 根据勾股定理求出 即可; (2)过点D作 ,交 的延长线于点F,交 于点G.判断四边形 为矩形,得出 .在 中,利用正切定义求出 .利用勾股定理求出 ,由 ,可求出 , , , .在 中,根据勾股定理求出 即可. 【详解】(1)解:如图,过点C作 ,垂足为E, 由题意可知, , 又 , 四边形 为矩形. , , , . , . 在 中, . 即可伸缩支撑杆 的长度为 ; (2)解:过点D作 ,交 的延长线于点F,交 于点G. 54关注公众号:陆陆高分冲刺 ~领取:最新版“小中高考-总复习”、最新试卷下载 由题意可知,四边形 为矩形, . 在 中, , . , , , . , , , . 在 中, . 即可伸缩支撑杆 的长度为 . 9.(2023·山东济南·中考真题)图1是某越野车的侧面示意图,折线段 表示车后盖,已知 , , ,该车的高度 .如图2,打开后备箱,车后盖 落在 处, 与水平面的夹角 . (1)求打开后备箱后,车后盖最高点 到地面 的距离; (2)若小琳爸爸的身高为 ,他从打开的车后盖 处经过,有没有碰头的危险?请说明理由. 55关注公众号:陆陆高分冲刺 ~领取:最新版“小中高考-总复习”、最新试卷下载 (结果精确到 ,参考数据: , , , ) 【答案】(1)车后盖最高点 到地面的距离为 (2)没有危险,详见解析 【分析】(1)作 ,垂足为点 ,先求出 的长,再求出 的长即可; (2)过 作 ,垂足为点 ,先求得 ,再得到 ,再 求得 ,从而得出 到地面的距离为 ,最后比较即可. 【详解】(1)如图,作 ,垂足为点 在 中 ∵ , ∴ ∴ ∵平行线间的距离处处相等 ∴ 答:车后盖最高点 到地面的距离为 . (2)没有危险,理由如下: 过 作 ,垂足为点 ∵ , ∴ 56关注公众号:陆陆高分冲刺 ~领取:最新版“小中高考-总复习”、最新试卷下载 ∵ ∴ 在 中, ∴ . ∵平行线间的距离处处相等 ∴ 到地面的距离为 . ∵ ∴没有危险. 【点睛】本题主要考查了解直角三角形的应用,掌握直角三角形的边角关系是解题的关键. 考点 0 6 三角函数与四边形的综合 1.(2025·四川资阳·中考真题)在四边形 中, 是边 上的一点, 是对角线 的中点. (1)如图1,四边形 是正方形,连接 ,作 交 于点 ,求证: ; (2)如图2,四边形 是平行四边形, ,连接 ,作 交 于点 ,连接 ,求 的值; (3)如图3,四边形 是菱形, ,连接 交 于点 是边 上的一点, ,若 ,求 的长. 【答案】(1)见解析 (2) (3) 【分析】(1)连接 ,根据正方形的性质,利用 得到 ,即可证明结论; 57关注公众号:陆陆高分冲刺 ~领取:最新版“小中高考-总复习”、最新试卷下载 (2)过点A作 于点G,过点F作 于点 ,根据勾股定理求出 长,然后根据平行四 边形的面积公式求出 长,根据正切得到 长,然后设 ,则 ,求出 长,再根据正 切得到 求出a的值,解答即可; (3)过点D作 于点P,作 于点Q,设 ,求出 , ,然 后表示 , ,在射线 上截取 ,在射线 上截取 ,根据全等得到 , , ,然后根据勾股定理求出x值,再根据相似三角形的对应边成比例 解答即可. 【详解】(1)证明:连接 , ∵ 是正方形, , ∴ , , , ∴ , ∴ , ∴ ; (2)解:过点A作 于点G,过点F作 于点 , (3)∵ , , ∴ , ∴ , ∵ , ∴ , 又∵ , ∴ , 58关注公众号:陆陆高分冲刺 ~领取:最新版“小中高考-总复习”、最新试卷下载 又∵ , ∴ , ∴ , ∴ , ∵ 是平行四边形, ∴ , ∴ , ∴ , ∴ , ∴ ,即 , 设 ,则 , ∴ , 同理可得 ,即 , 解得 , ∴ , 又∵O是 的中点, ∴ , ∴ , ∴ ; 59关注公众号:陆陆高分冲刺 ~领取:最新版“小中高考-总复习”、最新试卷下载 过点D作 于点P,作 于点Q,设 , ∵ 是菱形, ∴ , , ∴ , ∴ , ∴ , , ∵ , ∴ , ∴ , ∴ , , 在射线 上截取 ,在射线 上截取 , ∵ 是菱形, ∴ , , ∴ , , 又∵ , ∴ , ∴ , , 同理: , , ∴ , ∴ , ∴ ,即 , ∴ , 解得 , 60关注公众号:陆陆高分冲刺 ~领取:最新版“小中高考-总复习”、最新试卷下载 又∵ , ∴ , , ∴ , ∴ ,即 , 解得: , 又∵O是 的中点, ∴ , ∴ . 【点睛】本题考查四边形的综合,解直角三角形,相似三角形的判定和性质,勾股定理,全等三角形的判 定和性质,作辅助线构造全等三角形是解题的关键. 2.(2025·北京·中考真题)如图,在 中,D,E分别为 的中点, ,垂足为F,点 G在 的延长线上, . (1)求证:四边形 是矩形; (2)若 , , ,求 和 的长. 【答案】(1)见解析 (2) 61关注公众号:陆陆高分冲刺 ~领取:最新版“小中高考-总复习”、最新试卷下载 【分析】本题主要考查了矩形的判定,三角形中位线定理,勾股定理,解直角三角形,熟知相关知识是解 题的关键. (1)由三角形中位线定理可得 ,即 ,则可证明四边形 是平行四边形,再由 ,即可证明平行四边形 是矩形; (2)求出 ,解 得到 ,则 ;由线段中点的定义可得 ;过点A作 于H,解 得到 ,则 , 再利用勾股定即可求出 的长. 【详解】(1)证明:∵D,E分别为 的中点, ∴ 是 的中位线, ∴ ,即 , ∵ , ∴四边形 是平行四边形, 又∵ , ∴平行四边形 是矩形; (2)解:∵ , ∴ ; ∵ , ∴ , 在 中, , , ∴ , ∴ ; ∵点D为 的中点, ∴ ; 如图所示,过点A作 于H, 62关注公众号:陆陆高分冲刺 ~领取:最新版“小中高考-总复习”、最新试卷下载 在 中, , ∴ , 在 中,由勾股定理得 . 3.(2025·黑龙江·中考真题)如图,在正方形 中,点 在 边上(不与点B、C重合),点E在 的延长线上,且 ,连接 、 、 ,过点 作 于点 ,分别交 、 、 于点 、 、 .则下列结论:① ;② ;③ ;④若 ,则 ;⑤图中共有5个等腰三角形.其中正确的结论是( ) A.①②③⑤ B.①②④⑤ C.①②③④ D.①③④⑤ 【答案】C 【分析】本题考查了正方形性质、等腰三角形的判定和性质、相似三角形的判定和性质、解三角形等,解 题关键是利用垂直证明角的关系,从而证明三角形全等或相似. 容易证明 ,从而可得 ,进而可得 , 从而可得②正确,过点 作 ,交 于点 ,构造 ,结合四边形 是平 行四边形可得 ,可得①正确,再利用角关系证明 , ,可得 ,从而得出结论③正确,过点 作 ,设 ,由 63关注公众号:陆陆高分冲刺 ~领取:最新版“小中高考-总复习”、最新试卷下载 可得 ,解三角形求出 , ,从而求出 ,故结 论④正确,再判定 不一定是等腰三角形,得出等腰三角形有 、 、 、 , 共四个,故结论⑤错误. 【详解】解:如图1,过点 作 ,交 于点 , ∵在正方形 中, ∴ , , , , ∴ 、 是等腰三角形, 又∵ , , ∴ , ∴ , , , ∴ 是等腰三角形, ∵ , ∴ , 又∵ , ∴ , ∵ , ∴ , , ∴ , 设 , ∵ , , ∴ ,故结论②正确; ∴ ,即 是等腰三角形, ∵在 和 中, 64关注公众号:陆陆高分冲刺 ~领取:最新版“小中高考-总复习”、最新试卷下载 , ∴ , ∴ , ∵ , , ∴四边形 是平行四边形, ∴ , ∴ ,故结论①正确, ∵ , , ∴ , ∴ , ∴ , ∵ , , ∴ , ∴ ∴ , ∵ , ∴ , ∴ ,故结论③正确, 过点 作 ,如图2; 设 ,由 可得 , , ∴ , 65关注公众号:陆陆高分冲刺 ~领取:最新版“小中高考-总复习”、最新试卷下载 ∵ , ∴ , ∴ ,故结论④正确, ∵ , , ∴ 不一定等于 , , ∴ 不一定是等腰三角形, 故等腰三角形有 、 、 、 ,共四个,故结论⑤错误, 综上所述:正确结论有①②③④. 故选C. 4.(2025·甘肃兰州·中考真题)如图,在菱形 中, ,垂足为E,交 于点F, . 若 ,则 . 【答案】4 【分析】根据菱形的性质,得 ,又结合 , ,得出 是等边三角形,就可以 得知 和 都是含 的直角三角形,解出三角形,即可求出 的长. 【详解】解:连接 , , , , 垂直平分 , , 菱形 , 66关注公众号:陆陆高分冲刺 ~领取:最新版“小中高考-总复习”、最新试卷下载 , 是等边三角形, , , , , , . 故答案为:4. 【点睛】本题考查了菱形的性质、垂直平分线的性质、等边三角形的判定与性质以及解直角三角形,熟练 掌握这些性质定理是关键. 5.(2025·贵州·中考真题)如图,在矩形 中,点E,F,M分别在 , , 边上, 分别交对角线 、线段 于点G,H,且 是 的中点.若 ,则 的长为 . 【答案】 【分析】如图,连接 ,交 于 ,过 作 于 ,求解 ,证明 是 的中位线, 可得 , , ,证明四边形 是平行四边形,可得 ,而 , ,求解 ,再进一步求解即可. 【详解】解:如图,连接 ,交 于 ,过 作 于 , 67关注公众号:陆陆高分冲刺 ~领取:最新版“小中高考-总复习”、最新试卷下载 ∵ , , ∴ , ∵矩形 , ∴ , , ∴ , , ∵ 是 的中点, ∴ 是 的中位线, ∴ , , ∴ , ∴ , ∵ , , ∴ , ∵ , ∴四边形 是平行四边形, ∴ ,而 , , ∴ , ∴ , ∴ , ∴ ; 故答案为: 68关注公众号:陆陆高分冲刺 ~领取:最新版“小中高考-总复习”、最新试卷下载 【点睛】本题考查的是平行四边形的判定与性质,矩形的性质,三角形的中位线的性质,锐角三角函数的 应用,作出合适的辅助线是解本题的关键. 6.(2024·江苏南通·中考真题)若菱形的周长为 ,且有一个内角为 ,则该菱形的高为 . 【答案】 【分析】本题考查的是菱形的性质,锐角的正弦的含义,先画图,求解 ,过 作 于 ,结合 可得答案. 【详解】解:如图,菱形 的周长为 , ∴ , 过 作 于 ,而 , ∴ , 故答案为: 7.(2024·四川巴中·中考真题)如图,矩形 的对角线 与 交于点 , 于点 ,延长 与 交于点 .若 , ,则点 到 的距离为 . 【答案】 【分析】本题考查了矩形的性质,勾股定理,解直角三角形的相关知识,过点F作 ,垂足为H, 利用勾股定理求出 的长,利用角的余弦值求出 的长,再利用勾股定理求出 ,从而得出 ,利 用三角形面积求出 即可. 【详解】解:如图,过点F作 ,垂足为H, 69关注公众号:陆陆高分冲刺 ~领取:最新版“小中高考-总复习”、最新试卷下载 四边形 为矩形, , , , , , ,即 , 解得: , ,即 , 解得: , , , ,即 , 解得: , 故答案为: . 8.(2023·辽宁丹东·中考真题)如图,在矩形 中,对角线 与 相交于点O, , ,垂足为点E,F是 的中点,连接 ,若 ,则矩形 的周长是( ) 70关注公众号:陆陆高分冲刺 ~领取:最新版“小中高考-总复习”、最新试卷下载 A. B. C. D. 【答案】D 【分析】根据矩形的性质得出 ,即可求证 为等边三角形,进而得出点E为 中点,根据 中位线定理得出 ,易得 ,求出 ,即可得出矩形的周长. 【详解】解:∵四边形 是矩形, ∴ , ∵ , ∴ 为等边三角形, ∵ , ∴点E为 中点, ∵F是 的中点,若 , ∴ , ∵ , ∴ , ∴ , ∴矩形 的周长 , 故选:D. 【点睛】矩形主要考查了矩形的性质,等边三角形的判定和性质,中位线定理,解直角三角形,解题的关 键是掌握矩形的对角线相等,等边三角形三线合一,三角形的中位线平行于第三边且等于第三边的一半, 以及解直角三角形的方法和步骤. 考点 0 7 三角函数与圆的综合 71关注公众号:陆陆高分冲刺 ~领取:最新版“小中高考-总复习”、最新试卷下载 1.(2025·广东深圳·中考真题)如图1,在 中, 是 的中点, , . (1)求证:四边形 为菱形; (2)如图2,若点 为 上一点, ,且 , , 三点均在 上,连接 , 与 相切于点 , ①求 __________; ②求 的半径 ; (3)利用圆规和无刻度直尺在图2中作射线 ,交 于点 ,保留作图痕迹,不用写出作法和理由. 【答案】(1)见解析 (2)①30°;② (3)见解析 【分析】(1)先证明四边形 为平行四边形,斜边上的中线得到 ,即可得证; (2)①根据菱形的性质,得到 ,等角对等边得到 ,三角形的外角得到 ,切线得到 ,再根据角的和差关系进行求解即 可;②解直角三角形 ,进行求解即可; (3)利用尺规作图作 ,即可. 【详解】(1)解: , 四边形 为平行四边形, 又 ,且 为 中点 , 平行四边形 为菱形. (2)① 四边形 为菱形. , , 72关注公众号:陆陆高分冲刺 ~领取:最新版“小中高考-总复习”、最新试卷下载 又 , , , 切 于 , , ; ; ②设半径为 , , , , , ; 解得: ; (3)由题意,作图如下: 【点睛】本题考查菱形的判定和性质,斜边上的中线,切线的性质,解直角三角形,尺规作平行线,熟练 掌握相关知识点,是解题的关键. 2.(2025·江苏苏州·中考真题)如图,在四边形 中, .以 为直径的 经过点D,且与边 交于点E,连接 . 73关注公众号:陆陆高分冲刺 ~领取:最新版“小中高考-总复习”、最新试卷下载 (1)求证: 为 的切线; (2)若 ,求 的长. 【答案】(1)详见解析 (2) . 【分析】(1)只要证明 ,即可证明 为 的切线; (2)过点D作 ,垂足为F,在 中, , , ,求得 , ,在 中, , , ,求得 ,再根据圆内 接四边形的性质结合等边对等角求得 ,据此求解即可. 【详解】(1)证明:∵ , ∴ , 又∵ , ∴ , ∵ 为 的直径, ∴ , ∴ , ∴ ,即 , ∴ , ∴ 为 的切线; (2)解:如图,过点D作 ,垂足为F, 74关注公众号:陆陆高分冲刺 ~领取:最新版“小中高考-总复习”、最新试卷下载 ∵ , ∴ , ∴ , ∵ 中, , , , ∴ , ∴ , ∵ , , ∴ , ∴ , ∴ , ∵ 中, , , , ∴ , ∵ , , ∴ , ∵四边形 内接于 , ∴ , ∵ , ∴ , ∴ . 【点睛】本题考查了圆周角定理,圆内接四边形的性质,切线的判定,解直角三角形的应用.正确引出辅 助线解决问题是解题的关键. 3.(2025·陕西·中考真题)如图,点 在 的边 上,以 为半径的⊙ 与 相切于点 ,与 75关注公众号:陆陆高分冲刺 ~领取:最新版“小中高考-总复习”、最新试卷下载 相交于点 , 为⊙ 的直径, 与 相交于点 , . (1)求证: ; (2)若 , ,求 的长. 【答案】(1)证明见解析 (2) 【分析】(1)如图,连接 ,证明 , ,即 ,可得 ,进一 步证明 ,可得 ; (2)求解 ,设 的半径为 ,结合 ,可得 ,可得: , ,求解 ,证明 ,可得 ,进一步可得 答案. 【详解】(1)解:如图,连接 , ∵以 为半径的⊙ 与 相切于点 , ∴ , ∵ , ∴ ,即 , ∴ , ∴ , ∵ , ∴ , 76关注公众号:陆陆高分冲刺 ~领取:最新版“小中高考-总复习”、最新试卷下载 ∴ , ∴ ; (2)解:∵ , , ∴ , 设 的半径为 , ∴ , ,而 , , ∴ , 解得: , ∴ , , , ∵ ,则 , ∴ , ∵ , ∴ , ∴ , ∴ . 【点睛】本题考查的是等腰三角形的判定与性质,平行线的性质,勾股定理的应用,相似三角形的判定与 性质,圆周角定理的应用,切线的性质,锐角三角函数的应用,作出合适的辅助线是解本题的关键. 4.(2025·四川成都·中考真题)如图,点C在以 为直径的半圆O上,连接 ,过点C作半圆O 的切线,交 的延长线于点D,在 上取点E,使 ,连接 ,交 于点F. (1)求证: ; 77关注公众号:陆陆高分冲刺 ~领取:最新版“小中高考-总复习”、最新试卷下载 (2)若 , ,求半圆O的半径及 的长. 【答案】(1)见解析 (2)半圆O的半径为2, 【分析】(1)连接 ,切线得到 ,等边对等角得到 ,圆周角定理得到 ,同角的余角得到 ,等量代换得到 ,即可得证; (2)连接 ,设半圆O的半径为 ,解直角三角形 ,求出半径的长,进行求出 的长,平行得到 ,解直角三角形 ,求出 , 的长,角平分线的性质,以及同高三角形的面积比等于 底边比,得到 ,进行求解即可. 【详解】(1)解:连接 ,则: , ∴ , ∵过点C作半圆O的切线,交 的延长线于点D, ∴ , ∴ , ∵ 为直径, ∴ , ∴ , ∴ , ∴ , ∵ , ∴ , ∵ , ∴ , ∴ ; 78关注公众号:陆陆高分冲刺 ~领取:最新版“小中高考-总复习”、最新试卷下载 (2)设半圆O的半径为 ,则 , ∵ , ∴ , ∵ , ∴ , ∴ ,即:半圆O的半径为2; ∴ , 连接 ,则: , ∵ , ∴ , ∴ , ∴ , ∴ , ∵ , ∴ , ∴ 平分 , ∴ 到 的距离相等,都等于 的长, ∴ , ∴ , 79关注公众号:陆陆高分冲刺 ~领取:最新版“小中高考-总复习”、最新试卷下载 ∴ , ∴ . 【点睛】本题考查切线的性质,圆周角定理,解直角三角形,角平分线的性质等知识点,熟练掌握相关知 识点,是解题的关键. 5.(2025·福建·中考真题)如图,四边形ABCD内接于 ,AD,BC的延长线相交于点E,AC,BD相 交于点F.G是AB上一点,GD交AC于点H,且 . (1)求证: ; (2)求证: ; (3)若 ,求 的周长. 【答案】(1)见解析 (2)见解析 (3) 【分析】(1)利用 得 ,结合同弧 所对圆周角 ,再根据三角 形外角性质 ,完成证明 . (2)先证 得 ,再通过角的等量代换证 ,推出 , 从而得 . (3)利用(2)结论将 周长转化为 ,通过相似三角形 及三角函数、勾股定理求出 的长,即 周长为 . 80关注公众号:陆陆高分冲刺 ~领取:最新版“小中高考-总复习”、最新试卷下载 【详解】(1)证明: , . , , . , . (2)证明: , . , , 又 , , , . 由(1)知, , 又 , , . , . ∵ , , 81关注公众号:陆陆高分冲刺 ~领取:最新版“小中高考-总复习”、最新试卷下载 , , . (3)解:由(2)知, , 的周长为 . 设 ,则 . 由(2)可知, . 又 , , , , . 又 , , . 过点C作 ,垂足为P,则 . 四边形 是圆内接四边形, , 又 , , . 82关注公众号:陆陆高分冲刺 ~领取:最新版“小中高考-总复习”、最新试卷下载 在 中, ,即 . , , , . 在 中, , , 解得 ,或 (舍去). . 的周长为 . 【点睛】本题考查圆的性质、等腰三角形、相似三角形、解直角三角形等知识,通过角与边的转化、相似 三角形判定与性质解题,关键是利用圆的性质和三角形知识进行边角关系推导. 6.(2025·新疆·中考真题)如图, 为 的直径,C为 上一点, 于点F, , 交 于点G,交 于点D. (1)求证: 是 的切线; (2)若 , ,求 的长. 【答案】(1)见解析 (2) 【分析】(1)连接 ,证明 ,得到 ,即可证明结论; 83关注公众号:陆陆高分冲刺 ~领取:最新版“小中高考-总复习”、最新试卷下载 (2)证明 ,求出 ,得到 ,即可求出 的长. 【详解】(1)证明:连接 , ∵ 于点F, ∴ , ∵ ∴ , ∵ ∴ , ∴ , 即 ∵ 是 的半径, ∴ 是 的切线; (2)∵ 为 的直径, ∴ ∵ , ∴ , ∴ ∵ , ∴ ∵ ∴ , ∵ , , ∴ , ∴ , 84关注公众号:陆陆高分冲刺 ~领取:最新版“小中高考-总复习”、最新试卷下载 ∴ , ∵ , ∴ , ∴ , ∴ , 设 ,则 , ∵ , ∴ ∴ , ∵ , ∴ , ∴ 解得 , ∵ ∴ 解得 , ∴ ∴ , ∴ 【点睛】此题考查了解直角三角形、切线的判定、勾股定理、圆周角定理、相似三角形的判定和性质、平 行线分线段成比例定理等知识,熟练掌握切线的判定、相似三角形的判定和性质是关键. 7.(2025·黑龙江齐齐哈尔·中考真题)如图, 内接于 , 为 的直径,点D在 的延长线 上,连接 , ,过点B作 ,交 于点E. 85关注公众号:陆陆高分冲刺 ~领取:最新版“小中高考-总复习”、最新试卷下载 (1)求证: 是 的切线; (2)若点B是 的中点,且 ,求 的半径. 【答案】(1)见解析 (2) 【分析】本题考查圆周角定理,切线的判定,解直角三角形,熟练掌握相关定理和切线的判定方法,是解 题的关键: (1)连接 ,圆周角定理,得到 ,进而得到 ,等边对等角,得到 ,结合 ,推出 ,即可得证; (2)根据线段之间的数量关系求出 ,进而求出 的长,勾股定理求出 的长,即 可得出结果. 【详解】(1)证明:连接 , 是 的直径, , , , ,即 , . 为 的半径, 是 的切线. 86关注公众号:陆陆高分冲刺 ~领取:最新版“小中高考-总复习”、最新试卷下载 (2)解: 点B是 的中点, . , . , . 又 , . . 在 中 . . 即 半径为 . 87