当前位置:首页>文档>2024年高考数学模拟考试卷(一)一轮复习讲义2024年高考数学高频考点题型归纳与方法总结(新高考通用)参考答案_2.2025数学总复习_2024年新高考资料_1.2024一轮复习_阶段模拟考试

2024年高考数学模拟考试卷(一)一轮复习讲义2024年高考数学高频考点题型归纳与方法总结(新高考通用)参考答案_2.2025数学总复习_2024年新高考资料_1.2024一轮复习_阶段模拟考试

  • 2026-04-06 19:07:01 2026-03-10 05:34:07

文档预览

2024年高考数学模拟考试卷(一)一轮复习讲义2024年高考数学高频考点题型归纳与方法总结(新高考通用)参考答案_2.2025数学总复习_2024年新高考资料_1.2024一轮复习_阶段模拟考试
2024年高考数学模拟考试卷(一)一轮复习讲义2024年高考数学高频考点题型归纳与方法总结(新高考通用)参考答案_2.2025数学总复习_2024年新高考资料_1.2024一轮复习_阶段模拟考试
2024年高考数学模拟考试卷(一)一轮复习讲义2024年高考数学高频考点题型归纳与方法总结(新高考通用)参考答案_2.2025数学总复习_2024年新高考资料_1.2024一轮复习_阶段模拟考试
2024年高考数学模拟考试卷(一)一轮复习讲义2024年高考数学高频考点题型归纳与方法总结(新高考通用)参考答案_2.2025数学总复习_2024年新高考资料_1.2024一轮复习_阶段模拟考试
2024年高考数学模拟考试卷(一)一轮复习讲义2024年高考数学高频考点题型归纳与方法总结(新高考通用)参考答案_2.2025数学总复习_2024年新高考资料_1.2024一轮复习_阶段模拟考试
2024年高考数学模拟考试卷(一)一轮复习讲义2024年高考数学高频考点题型归纳与方法总结(新高考通用)参考答案_2.2025数学总复习_2024年新高考资料_1.2024一轮复习_阶段模拟考试
2024年高考数学模拟考试卷(一)一轮复习讲义2024年高考数学高频考点题型归纳与方法总结(新高考通用)参考答案_2.2025数学总复习_2024年新高考资料_1.2024一轮复习_阶段模拟考试
2024年高考数学模拟考试卷(一)一轮复习讲义2024年高考数学高频考点题型归纳与方法总结(新高考通用)参考答案_2.2025数学总复习_2024年新高考资料_1.2024一轮复习_阶段模拟考试

文档信息

文档格式
docx
文档大小
0.443 MB
文档页数
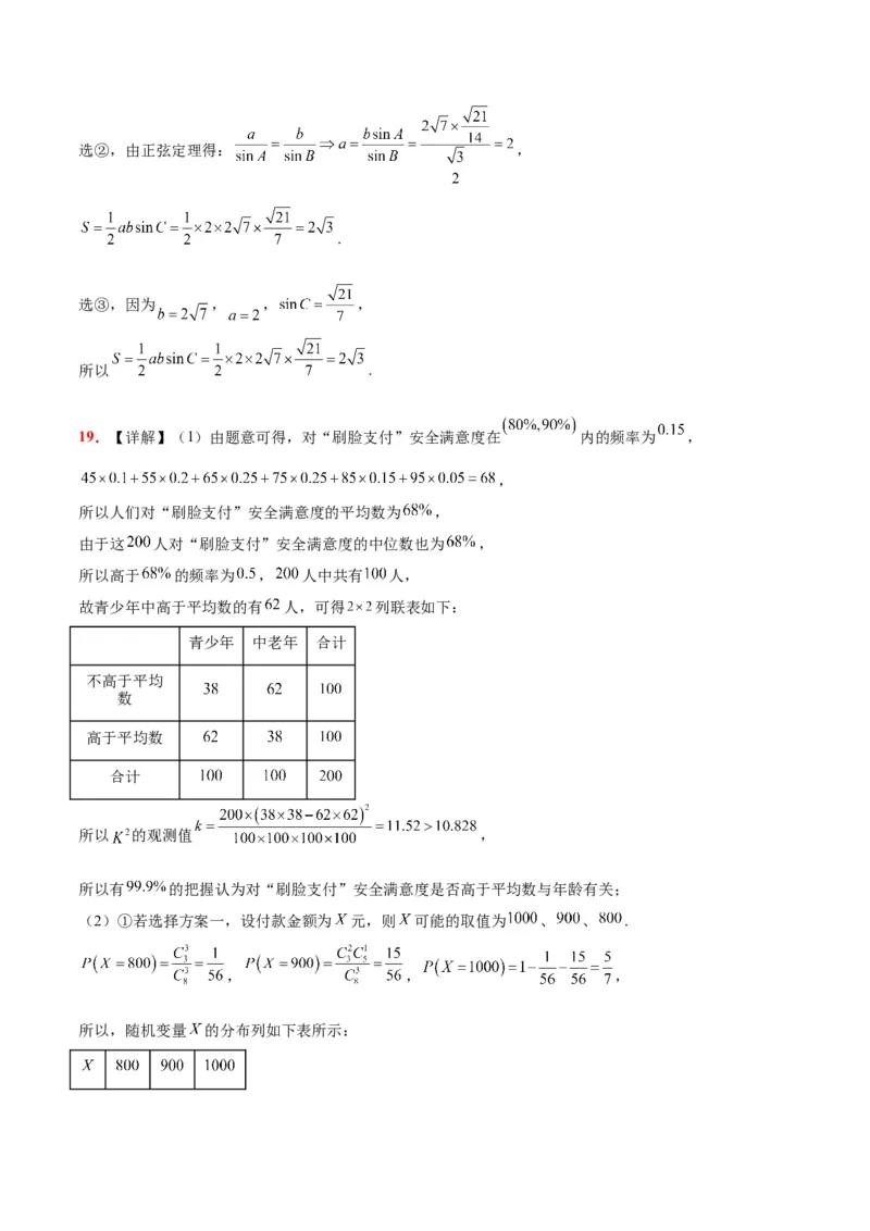
8 页
上传时间
2026-03-10 05:34:07

文档内容

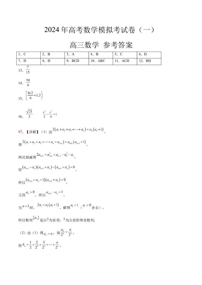
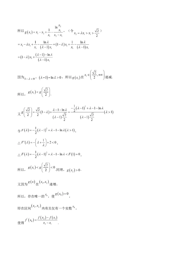
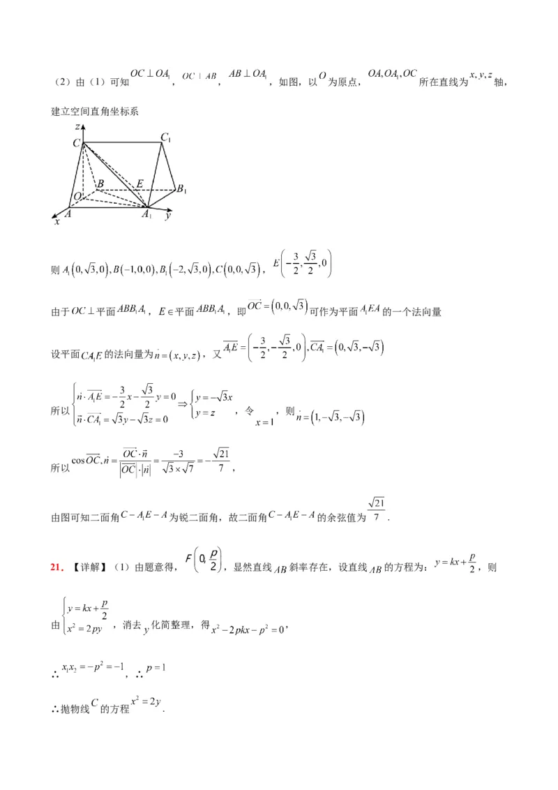
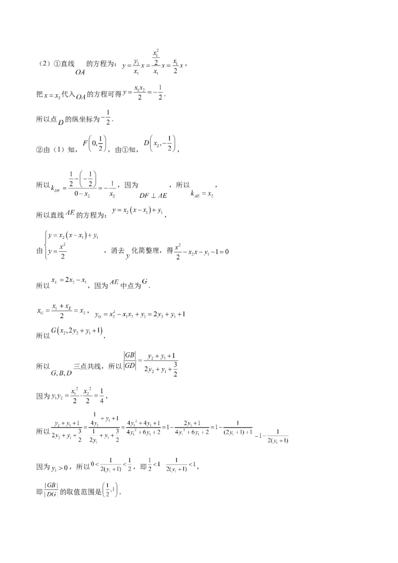
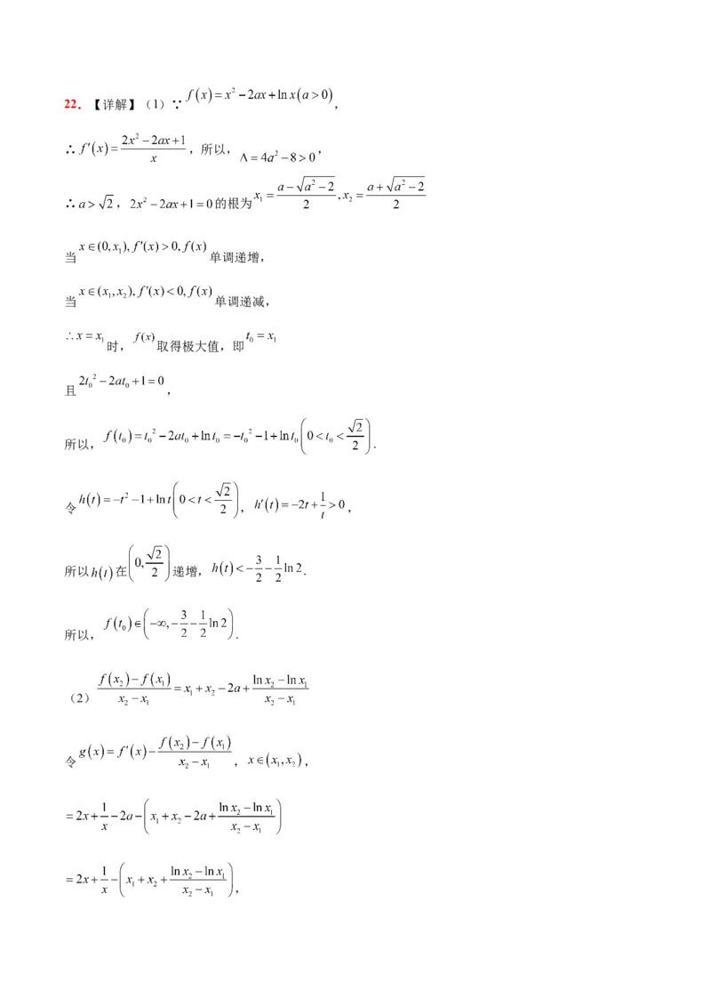
2024 年高考数学模拟考试卷(一) 高三数学 参考答案 1.C 2.B 3.A 4.B 5.C 6.D 7.D 8.D 9.BCD 10.ABC 11.ACD 12.BD 13. 14. 15. 16. 17.【详解】(1)由 , 得 , 两式相减得 , 即 , 所以 , 又因 ,所以 , 当 时, ,解得 ( 舍去), 所以数列 是以 为首项, 为公差的等差数列; (2)由(1)得 ,则 , 则 ,, 两式相减得 ,所以 . 18.【详解】(1)由题知,三角形为钝角三角形 选①,由余弦定理得: ,解得: , 所以由正弦定理得: . 选②,因为 ,所以 ,所以 选③,由正弦定理得: , 所以 ,所以 . (2)选①,因为 , ,所以 的面积为:选②,由正弦定理得: , . 选③,因为 , , , 所以 . 19.【详解】(1)由题意可得,对“刷脸支付”安全满意度在 内的频率为 , , 所以人们对“刷脸支付”安全满意度的平均数为 , 由于这 人对“刷脸支付”安全满意度的中位数也为 , 所以高于 的频率为 , 人中共有 人, 故青少年中高于平均数的有 人,可得 列联表如下: 青少年 中老年 合计 不高于平均 数 高于平均数 合计 所以 的观测值 , 所以有 的把握认为对“刷脸支付”安全满意度是否高于平均数与年龄有关; (2)①若选择方案一,设付款金额为 元,则 可能的取值为 、 、 . , , , 所以,随机变量 的分布列如下表所示:所以 . 若选择方案二,记需支付的金额为 元,则 的可能取值为 、 、 , 由题意可知,随机变量 的分布列如下表所示: , 由①知 ,故从概率角度看,选择方案二付款更划算. 20.【详解】(1)取 中点 ,连接 三棱柱 的所有棱长都为2 则 ,又 为 中点,所以 ,且 又 , 平面 所以 平面 ,因为 平面 ,所以 因为 为 中点,所以 ,三角形 为等边三角形,所以 由 ,可得 ,所以 又 平面 ,所以 平面 因为 平面 ,平面 平面 ;(2)由(1)可知 , , ,如图,以 为原点, 所在直线为 轴, 建立空间直角坐标系 则 , 由于 平面 , 平面 ,即 可作为平面 的一个法向量 设平面 的法向量为 ,又 所以 ,令 ,则 所以 , 由图可知二面角 为锐二面角,故二面角 的余弦值为 . 21.【详解】(1)由题意得, ,显然直线 斜率存在,设直线 的方程为: ,则 由 ,消去 化简整理,得 , ∴ ,∴ ∴抛物线 的方程 .(2)①直线 的方程为: , 把 代入 的方程可得 . 所以点 的纵坐标为 . ②由(1)知, ,由①知, , 所以 ,因为 ,所以 , 所以直线 的方程为: , 由 ,消去 化简整理,得 所以 ,因为 中点为 . , 所以 , 所以 三点共线,所以 因为 , 所以 因为 ,所以 ,即 , 即 的取值范围是 .22.【详解】(1)∵ , ∴ ,所以, , ∴ , 的根为 当 单调递增, 当 单调递减, 时, 取得极大值,即 且 , 所以, . 令 , , 所以 在 递增, . 所以, . (2) 令 , , ,所以 ,(令 ) 因为 , ,所以 在 递减. 所以, . 又 令 , ∴ , ∴ , 所以, .同理, . 又因为 在 递增, 所以,存在唯一的 ,使 , 即在区间 内有且仅有一个实数 , 使得 .