当前位置:首页>文档>第29讲验证机械能守恒定律(讲义)(原卷版)_4.2025物理总复习_2024年新高考资料_1.2024一轮复习_2024年高考物理一轮复习讲练测(新教材新高考)_第29讲验证机械能守恒定律(讲义)

第29讲验证机械能守恒定律(讲义)(原卷版)_4.2025物理总复习_2024年新高考资料_1.2024一轮复习_2024年高考物理一轮复习讲练测(新教材新高考)_第29讲验证机械能守恒定律(讲义)

  • 2026-04-15 00:47:47 2026-03-10 15:19:12

文档预览

第29讲验证机械能守恒定律(讲义)(原卷版)_4.2025物理总复习_2024年新高考资料_1.2024一轮复习_2024年高考物理一轮复习讲练测(新教材新高考)_第29讲验证机械能守恒定律(讲义)
第29讲验证机械能守恒定律(讲义)(原卷版)_4.2025物理总复习_2024年新高考资料_1.2024一轮复习_2024年高考物理一轮复习讲练测(新教材新高考)_第29讲验证机械能守恒定律(讲义)
第29讲验证机械能守恒定律(讲义)(原卷版)_4.2025物理总复习_2024年新高考资料_1.2024一轮复习_2024年高考物理一轮复习讲练测(新教材新高考)_第29讲验证机械能守恒定律(讲义)
第29讲验证机械能守恒定律(讲义)(原卷版)_4.2025物理总复习_2024年新高考资料_1.2024一轮复习_2024年高考物理一轮复习讲练测(新教材新高考)_第29讲验证机械能守恒定律(讲义)
第29讲验证机械能守恒定律(讲义)(原卷版)_4.2025物理总复习_2024年新高考资料_1.2024一轮复习_2024年高考物理一轮复习讲练测(新教材新高考)_第29讲验证机械能守恒定律(讲义)
第29讲验证机械能守恒定律(讲义)(原卷版)_4.2025物理总复习_2024年新高考资料_1.2024一轮复习_2024年高考物理一轮复习讲练测(新教材新高考)_第29讲验证机械能守恒定律(讲义)
第29讲验证机械能守恒定律(讲义)(原卷版)_4.2025物理总复习_2024年新高考资料_1.2024一轮复习_2024年高考物理一轮复习讲练测(新教材新高考)_第29讲验证机械能守恒定律(讲义)
第29讲验证机械能守恒定律(讲义)(原卷版)_4.2025物理总复习_2024年新高考资料_1.2024一轮复习_2024年高考物理一轮复习讲练测(新教材新高考)_第29讲验证机械能守恒定律(讲义)
第29讲验证机械能守恒定律(讲义)(原卷版)_4.2025物理总复习_2024年新高考资料_1.2024一轮复习_2024年高考物理一轮复习讲练测(新教材新高考)_第29讲验证机械能守恒定律(讲义)
第29讲验证机械能守恒定律(讲义)(原卷版)_4.2025物理总复习_2024年新高考资料_1.2024一轮复习_2024年高考物理一轮复习讲练测(新教材新高考)_第29讲验证机械能守恒定律(讲义)

文档信息

文档格式
docx
文档大小
1.188 MB
文档页数
10 页
上传时间
2026-03-10 15:19:12

文档内容

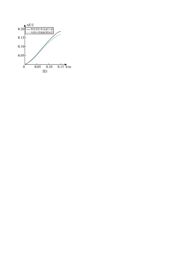
第 29 讲 验证机械能守恒定律 目录 复习目标 网络构建 考点一 教材原型实验 【夯基·必备基础知识梳理】 知识点 实验目的、器材、原理、步骤、注意事项、误差分析 【提升·必考题型归纳】 考向1 实验原理与操作 考向2 数据处理与误差分析 考点二 创新实验方案 【夯基·必备基础知识梳理】 知识点 实验方案的改进 【提升·必考题型归纳】 考向1 实验原理的改进 考向2 实验器材的创新 考向3 实验思路的创新 真题感悟 1、掌握并会利用实验的原理验证机械能守恒定律,并会做出必要的误差分析。 2、能够在原型实验基础上,通过对实验的改进或者创新,做出同类探究。考点要求 考题统计 考情分析 各地高考对验证机械能守恒定律这个 2022年湖北卷第12题 实验的考查频度较高,考查多在原型 2022年河北卷第11题 验证机械能守恒定律 实验的所用原理的基础之上,通过创 2021年海南卷第15题 新实验的方式予以考查。 1.实验原理与操作 教材原型实验 2.数据处理与误差分析 验证机械能守恒定律 1.实验装置的改进 创新实验方案 2.实验器材的创新 3.实验思路的创新 考点一 教材原型实验 知识点 实验目的、器材、原理、步骤、注意事项、误差分析 1.实验目的 验证机械能守恒定律。 2.实验原理通过实验,求出做自由落体运动物体的重力势能的减少量和对应过程动能的增加量,在实验误差允许 范围内,若二者相等,说明机械能守恒,从而验证机械能守恒定律。 3.实验器材 打点计时器、交流电源、纸带、复写纸、重物、刻度尺、铁架台(带铁夹)、导线。 4.实验步骤 (1)安装器材:将打点计时器固定在铁架台上,用导线将打点计时器与电源相连。 (2)打纸带 用手竖直提起纸带,使重物停靠在打点计时器下方附近,先接通电源,再松开纸带,让重物自由下落,打 点计时器就在纸带上打出一系列的点,取下纸带,换上新的纸带重打几条(3~5条)。 (3)选纸带:分两种情况说明 ①若选第1点O到下落到某一点的过程,即用mgh=mv2来验证,应选点迹清晰,且第1、2两点间距离接 近 的纸带(电源频率为50 Hz)。或者测量从第一点到其余各点的下落高度h,并计算各点速度的平方 v2,然后以v2为纵轴,以h为横轴,根据实验数据作出v2-h图像。若在误差允许的范围内图像是一条过原 点且斜率为 的直线,则验证了机械能守恒定律。 ②用mv 2-mv 2=mgh 验证时,由于重力势能的相对性,处理纸带时选择适当的点为基准点即可。 B A AB 5.实验结论 在误差允许的范围内,自由落体运动过程机械能守恒。 6.误差分析 (1)测量误差:减小测量误差的方法,一是测下落距离时都从O点量起,一次将各打点对应下落高度测量完, 二是多测几次取平均值。 (2)系统误差:由于重物和纸带下落过程中要克服阻力做功,故动能的增加量ΔE =mv2必定稍 重力势 k n 能的减少量ΔE=mgh ,改进办法是调整安装的器材,尽可能地减小阻力。 p n 7.注意事项 (1)打点计时器要竖直:安装打点计时器时要竖直架稳,使其两限位孔在同一竖直线上,以减少摩擦阻力。 (2)重物应选用质量大、体积小、密度大的材料。 (3)应先接通电源,让打点计时器正常工作,后松开纸带让重物下落。 (4)测长度,算速度:某时刻的瞬时速度的计算应用v=, 用v=或v=gt来计算。 n n n 考向1 实验原理与操作1.利用如图所示装置做“验证机械能守恒定律”实验。已知打点计时器打点周期 ,重力加速度 为 。 (1)甲同学实验时进行了如下操作,其中正确的是______(选填选项前的字母)。 A.需使用天平测出重物的质量 B.安装打点计时器尽量两个限位孔在同一竖直线上 C.重复操作时尽量让重锤从同一位置开始下落 D.测量纸带上某点 到第一个点间的距离 ,利用 计算 点的速度 (2)甲同学从打出的纸带中选出符合要求的一条纸带,如下图所示(其中一段纸带图中未画出)。图中O 点为打出的起始点,且速度为零。选取在纸带上连续打出的点A、B、C、D、E、F作为计数点。测出C、 D、E点距起始点O的距离分别为 、 、 ,由此可计算出打点计时器打下D点时重物下落的瞬时速度 ______ (结果保留三位有效数字)。用 表示重物的质量,在误差允许的范围内,若满足表达式 ______,则可认为重物下落过程中机械能守恒(用给出的已知物理量的符号表示)。 (3)乙同学想用图像法处理数据。他在纸带上选取多个计数点,测量它们到起始点 的距离 ,计算对应 计数点的重物速度 ,进而描绘出 图像。请你帮他分析确定判断的依据:要想说明机械能是守恒的, 则图线应该是一条过原点的直线,且斜率等于______。 考向2 数据处理与误差分析 2.用如图1所示的实验装置验证机械能守恒定律。重锤从高处由静止开始下落,重锤上拖着的纸带通过打 点计时器,打出一系列的点,对纸带上点迹间的距离进行测量,可验证机械能守恒定律。已知当地重力加 速度为g。(1)为了减小实验误差,对体积和形状相同的重锤,实验时应选择的材质是 ______。 A.木质 B.钢质 C.泡沫 D.塑料 (2)除图1中所示的装置之外,还必须使用的器材是______。 A.直流电源、天平(含砝码) B.直流电源、刻度尺 C.交流电源、天平(含砝码) D.交流电源、刻度尺 (3)如图2所示,根据打出的纸带,选取纸带上的连续的五个点A、B、C、D、E,通过测量并计算出点 B距起始点O的距离为x,B、C两点间的距离为x,C、D两点间的距离为x,若相邻两点的打点时间间 0 1 2 隔为T,重锤质量为m,根据这些条件计算重锤从释放到打下C点时的重力势能减少量ΔE=______,动能 p 增加量ΔE=______。 k (4)某同学利用图2中纸带,先分别测量出从A点到B、C、D、E、F、G点的距离h(其中F、G点为E 点后连续打出的点,图中未画出),再计算打出B、C、D、E、F各点时重锤下落的速度v,绘制v2—h图 像,如图3所示,并求得图线的斜率k。请说明如何根据图像验证重锤下落过程机械能是否守恒?______ (5)在一次测量中,某同学发现ΔE 略大于ΔE,出现这一结果的原因可能是______。 k p A.存在空气阻力和摩擦力 B.接通电源前释放了纸带 考点二 创新实验方案知识点 实验方案的改进 1. 实验装置的改进:通过光电门测速度,进一步验证机械能守恒定律。 2. 实验原理的改进:通过细线拉力最大值和最小值的关系图像验证机械能守恒定律。 考向1 实验原理的改进 1.小明设计了一个用拉力传感器验证机械能守恒定律的实验,如图所示。 (1)现有以下材质的小球:①乒乓球;②橡胶球;③钢球,实验中应选用____________。 (2)固定好拉力传感器后,下列实验操作步骤,正确顺序是____________。 ①改变小球的初始释放位置,重复上述过程 ②记录小球摆动过程中拉力传感器示数的最大值 和最小值 ③将一根轻绳穿过小圆环,一端连接传感器,另一端连接小球 ④拉起小球至某一位置由静止释放,使小球在竖直平面内摆动 ⑤在传感器正下方固定一个小圆环,圆环平面水平 (3)实验测得的数据见下表。0.047 0.080 0.110 0.170 0.200 1.660 1.580 1.522 1.409 1.350 (3)请根据表中的数据,在方格纸上作出 图像。( ) (4)由 图像得图线的斜率为_________(结果保留两位有效数字)。若小球摆动过程中机械能守 恒,图线斜率的理论值为____________。 (5)该实验系统误差的主要来源是___________。 A.小球摆动角度偏大 B.小球初始释放位置不同 C.小球摆动过程中有空气阻力 考向2 实验器材的创新 2.某物理兴趣小组在实验室中找到如下实验器材: A.光电计时器(配两个光电门) B.铁架台 C.小钢球 D.游标卡尺 E.电磁铁 F.铅垂线 G.电源及导线若干 利用这些器材设计如图甲所示的装置来验证机械能守恒定律。(1)利用铅垂线调整铁架台、光电门等,使电磁铁、光电门1、光电门2的中心在同一竖直线上。用游标 卡尺测量小球的直径,如图乙所示,则小球的直径d=______cm。 (2)切断电磁铁的电源,小球由静止自由下落,计时器记录小球通过两个光电门的挡光时间分别为 和 ,同时记录小球从光电门1到光电门2的时间t。则小球通过光电门1时的速度为______(用题中给出 的物理量符号表示)。 (3)当地重力加速度大小为g,若满足关系式____________(用题中给出的物理量符号表示),则表明该 过程中小球的机械能守恒。 考向3 实验思路的创新 3.某实验小组设计了如图甲所示的实验装置来验证机械能守恒定律。 (1)实验时,该同学进行了如下操作: ①用天平分别测出物块A、B的质量 和 ( 的质量含遮光片); ②用20分度游标卡尺测量遮光片的挡光宽度d,示数如图乙所示,游标卡尺的示数为___________cm; ③将重物A、B用轻绳按图甲所示连接,跨放在轻质定滑轮上,一个同学用手托住重物B,另一个同学测 量出挡光片中心到光电门中心的竖直距离 ,之后释放重物B使其由静止开始下落。测得遮光片经过光电 门的时间为 ,则重物B速度的大小为___________。(用题目给定的或测得的物理量符号表示) (2)要验证系统(重物A、B)的机械能守恒,应满足的关系式为___________(用质量 、 ,重力加速度为g,遮光片经过光电门的时间为 ,遮光片的宽度d和距离h表示)。 (3)为提高实验结果的准确程度,请写出一条减少误差的建议___________。 (2022年河北高考真题)某实验小组利用铁架台、弹簧、钩码、打点计时器、刻度尺等器材验证系统机械 能守恒定律,实验装置如图1所示。弹簧的劲度系数为k,原长为L,钩码的质量为m。已知弹簧的弹性 0 势能表达式为 ,其中k为弹簧的劲度系数,x为弹簧的形变量,当地的重力加速度大小为g。 (1)在弹性限度内将钩码缓慢下拉至某一位置,测得此时弹簧的长度为L。接通打点计时器电源。从静止 释放钩码,弹簧收缩,得到了一条点迹清晰的纸带。钩码加速上升阶段的部分纸带如图2所示,纸带上相 邻两点之间的时间间隔均为T(在误差允许范围内,认为释放钩码的同时打出A点)。从打出A点到打出 F点时间内,弹簧的弹性势能减少量为______,钩码的动能增加量为______,钩码的重力势能增加量为 ______。 (2)利用计算机软件对实验数据进行处理,得到弹簧弹性势能减少量、钩码的机械能增加量分别与钩码 上升高度h的关系,如图3所示。由图3可知,随着h增加,两条曲线在纵向的间隔逐渐变大,主要原因 是______。