当前位置:首页>文档>重难点突破10圆锥曲线中的向量与共线问题(五大题型)(解析版)_2025年新高考资料_一轮复习_2025年高考数学一轮复习讲练测(新教材新高考,含2024高考真题)_第八章平面解析几何

重难点突破10圆锥曲线中的向量与共线问题(五大题型)(解析版)_2025年新高考资料_一轮复习_2025年高考数学一轮复习讲练测(新教材新高考,含2024高考真题)_第八章平面解析几何

  • 2026-04-21 08:02:15 2026-04-21 08:02:15

文档预览

重难点突破10圆锥曲线中的向量与共线问题(五大题型)(解析版)_2025年新高考资料_一轮复习_2025年高考数学一轮复习讲练测(新教材新高考,含2024高考真题)_第八章平面解析几何
重难点突破10圆锥曲线中的向量与共线问题(五大题型)(解析版)_2025年新高考资料_一轮复习_2025年高考数学一轮复习讲练测(新教材新高考,含2024高考真题)_第八章平面解析几何
重难点突破10圆锥曲线中的向量与共线问题(五大题型)(解析版)_2025年新高考资料_一轮复习_2025年高考数学一轮复习讲练测(新教材新高考,含2024高考真题)_第八章平面解析几何
重难点突破10圆锥曲线中的向量与共线问题(五大题型)(解析版)_2025年新高考资料_一轮复习_2025年高考数学一轮复习讲练测(新教材新高考,含2024高考真题)_第八章平面解析几何
重难点突破10圆锥曲线中的向量与共线问题(五大题型)(解析版)_2025年新高考资料_一轮复习_2025年高考数学一轮复习讲练测(新教材新高考,含2024高考真题)_第八章平面解析几何
重难点突破10圆锥曲线中的向量与共线问题(五大题型)(解析版)_2025年新高考资料_一轮复习_2025年高考数学一轮复习讲练测(新教材新高考,含2024高考真题)_第八章平面解析几何
重难点突破10圆锥曲线中的向量与共线问题(五大题型)(解析版)_2025年新高考资料_一轮复习_2025年高考数学一轮复习讲练测(新教材新高考,含2024高考真题)_第八章平面解析几何
重难点突破10圆锥曲线中的向量与共线问题(五大题型)(解析版)_2025年新高考资料_一轮复习_2025年高考数学一轮复习讲练测(新教材新高考,含2024高考真题)_第八章平面解析几何
重难点突破10圆锥曲线中的向量与共线问题(五大题型)(解析版)_2025年新高考资料_一轮复习_2025年高考数学一轮复习讲练测(新教材新高考,含2024高考真题)_第八章平面解析几何
重难点突破10圆锥曲线中的向量与共线问题(五大题型)(解析版)_2025年新高考资料_一轮复习_2025年高考数学一轮复习讲练测(新教材新高考,含2024高考真题)_第八章平面解析几何
重难点突破10圆锥曲线中的向量与共线问题(五大题型)(解析版)_2025年新高考资料_一轮复习_2025年高考数学一轮复习讲练测(新教材新高考,含2024高考真题)_第八章平面解析几何
重难点突破10圆锥曲线中的向量与共线问题(五大题型)(解析版)_2025年新高考资料_一轮复习_2025年高考数学一轮复习讲练测(新教材新高考,含2024高考真题)_第八章平面解析几何
重难点突破10圆锥曲线中的向量与共线问题(五大题型)(解析版)_2025年新高考资料_一轮复习_2025年高考数学一轮复习讲练测(新教材新高考,含2024高考真题)_第八章平面解析几何
重难点突破10圆锥曲线中的向量与共线问题(五大题型)(解析版)_2025年新高考资料_一轮复习_2025年高考数学一轮复习讲练测(新教材新高考,含2024高考真题)_第八章平面解析几何
重难点突破10圆锥曲线中的向量与共线问题(五大题型)(解析版)_2025年新高考资料_一轮复习_2025年高考数学一轮复习讲练测(新教材新高考,含2024高考真题)_第八章平面解析几何
重难点突破10圆锥曲线中的向量与共线问题(五大题型)(解析版)_2025年新高考资料_一轮复习_2025年高考数学一轮复习讲练测(新教材新高考,含2024高考真题)_第八章平面解析几何
重难点突破10圆锥曲线中的向量与共线问题(五大题型)(解析版)_2025年新高考资料_一轮复习_2025年高考数学一轮复习讲练测(新教材新高考,含2024高考真题)_第八章平面解析几何
重难点突破10圆锥曲线中的向量与共线问题(五大题型)(解析版)_2025年新高考资料_一轮复习_2025年高考数学一轮复习讲练测(新教材新高考,含2024高考真题)_第八章平面解析几何
重难点突破10圆锥曲线中的向量与共线问题(五大题型)(解析版)_2025年新高考资料_一轮复习_2025年高考数学一轮复习讲练测(新教材新高考,含2024高考真题)_第八章平面解析几何
重难点突破10圆锥曲线中的向量与共线问题(五大题型)(解析版)_2025年新高考资料_一轮复习_2025年高考数学一轮复习讲练测(新教材新高考,含2024高考真题)_第八章平面解析几何
重难点突破10圆锥曲线中的向量与共线问题(五大题型)(解析版)_2025年新高考资料_一轮复习_2025年高考数学一轮复习讲练测(新教材新高考,含2024高考真题)_第八章平面解析几何
重难点突破10圆锥曲线中的向量与共线问题(五大题型)(解析版)_2025年新高考资料_一轮复习_2025年高考数学一轮复习讲练测(新教材新高考,含2024高考真题)_第八章平面解析几何
重难点突破10圆锥曲线中的向量与共线问题(五大题型)(解析版)_2025年新高考资料_一轮复习_2025年高考数学一轮复习讲练测(新教材新高考,含2024高考真题)_第八章平面解析几何
重难点突破10圆锥曲线中的向量与共线问题(五大题型)(解析版)_2025年新高考资料_一轮复习_2025年高考数学一轮复习讲练测(新教材新高考,含2024高考真题)_第八章平面解析几何
重难点突破10圆锥曲线中的向量与共线问题(五大题型)(解析版)_2025年新高考资料_一轮复习_2025年高考数学一轮复习讲练测(新教材新高考,含2024高考真题)_第八章平面解析几何
重难点突破10圆锥曲线中的向量与共线问题(五大题型)(解析版)_2025年新高考资料_一轮复习_2025年高考数学一轮复习讲练测(新教材新高考,含2024高考真题)_第八章平面解析几何
重难点突破10圆锥曲线中的向量与共线问题(五大题型)(解析版)_2025年新高考资料_一轮复习_2025年高考数学一轮复习讲练测(新教材新高考,含2024高考真题)_第八章平面解析几何
重难点突破10圆锥曲线中的向量与共线问题(五大题型)(解析版)_2025年新高考资料_一轮复习_2025年高考数学一轮复习讲练测(新教材新高考,含2024高考真题)_第八章平面解析几何
重难点突破10圆锥曲线中的向量与共线问题(五大题型)(解析版)_2025年新高考资料_一轮复习_2025年高考数学一轮复习讲练测(新教材新高考,含2024高考真题)_第八章平面解析几何
重难点突破10圆锥曲线中的向量与共线问题(五大题型)(解析版)_2025年新高考资料_一轮复习_2025年高考数学一轮复习讲练测(新教材新高考,含2024高考真题)_第八章平面解析几何
重难点突破10圆锥曲线中的向量与共线问题(五大题型)(解析版)_2025年新高考资料_一轮复习_2025年高考数学一轮复习讲练测(新教材新高考,含2024高考真题)_第八章平面解析几何
重难点突破10圆锥曲线中的向量与共线问题(五大题型)(解析版)_2025年新高考资料_一轮复习_2025年高考数学一轮复习讲练测(新教材新高考,含2024高考真题)_第八章平面解析几何
重难点突破10圆锥曲线中的向量与共线问题(五大题型)(解析版)_2025年新高考资料_一轮复习_2025年高考数学一轮复习讲练测(新教材新高考,含2024高考真题)_第八章平面解析几何
重难点突破10圆锥曲线中的向量与共线问题(五大题型)(解析版)_2025年新高考资料_一轮复习_2025年高考数学一轮复习讲练测(新教材新高考,含2024高考真题)_第八章平面解析几何
重难点突破10圆锥曲线中的向量与共线问题(五大题型)(解析版)_2025年新高考资料_一轮复习_2025年高考数学一轮复习讲练测(新教材新高考,含2024高考真题)_第八章平面解析几何
重难点突破10圆锥曲线中的向量与共线问题(五大题型)(解析版)_2025年新高考资料_一轮复习_2025年高考数学一轮复习讲练测(新教材新高考,含2024高考真题)_第八章平面解析几何
重难点突破10圆锥曲线中的向量与共线问题(五大题型)(解析版)_2025年新高考资料_一轮复习_2025年高考数学一轮复习讲练测(新教材新高考,含2024高考真题)_第八章平面解析几何
重难点突破10圆锥曲线中的向量与共线问题(五大题型)(解析版)_2025年新高考资料_一轮复习_2025年高考数学一轮复习讲练测(新教材新高考,含2024高考真题)_第八章平面解析几何
重难点突破10圆锥曲线中的向量与共线问题(五大题型)(解析版)_2025年新高考资料_一轮复习_2025年高考数学一轮复习讲练测(新教材新高考,含2024高考真题)_第八章平面解析几何
重难点突破10圆锥曲线中的向量与共线问题(五大题型)(解析版)_2025年新高考资料_一轮复习_2025年高考数学一轮复习讲练测(新教材新高考,含2024高考真题)_第八章平面解析几何
重难点突破10圆锥曲线中的向量与共线问题(五大题型)(解析版)_2025年新高考资料_一轮复习_2025年高考数学一轮复习讲练测(新教材新高考,含2024高考真题)_第八章平面解析几何
重难点突破10圆锥曲线中的向量与共线问题(五大题型)(解析版)_2025年新高考资料_一轮复习_2025年高考数学一轮复习讲练测(新教材新高考,含2024高考真题)_第八章平面解析几何
重难点突破10圆锥曲线中的向量与共线问题(五大题型)(解析版)_2025年新高考资料_一轮复习_2025年高考数学一轮复习讲练测(新教材新高考,含2024高考真题)_第八章平面解析几何
重难点突破10圆锥曲线中的向量与共线问题(五大题型)(解析版)_2025年新高考资料_一轮复习_2025年高考数学一轮复习讲练测(新教材新高考,含2024高考真题)_第八章平面解析几何
重难点突破10圆锥曲线中的向量与共线问题(五大题型)(解析版)_2025年新高考资料_一轮复习_2025年高考数学一轮复习讲练测(新教材新高考,含2024高考真题)_第八章平面解析几何
重难点突破10圆锥曲线中的向量与共线问题(五大题型)(解析版)_2025年新高考资料_一轮复习_2025年高考数学一轮复习讲练测(新教材新高考,含2024高考真题)_第八章平面解析几何
重难点突破10圆锥曲线中的向量与共线问题(五大题型)(解析版)_2025年新高考资料_一轮复习_2025年高考数学一轮复习讲练测(新教材新高考,含2024高考真题)_第八章平面解析几何
重难点突破10圆锥曲线中的向量与共线问题(五大题型)(解析版)_2025年新高考资料_一轮复习_2025年高考数学一轮复习讲练测(新教材新高考,含2024高考真题)_第八章平面解析几何
重难点突破10圆锥曲线中的向量与共线问题(五大题型)(解析版)_2025年新高考资料_一轮复习_2025年高考数学一轮复习讲练测(新教材新高考,含2024高考真题)_第八章平面解析几何
重难点突破10圆锥曲线中的向量与共线问题(五大题型)(解析版)_2025年新高考资料_一轮复习_2025年高考数学一轮复习讲练测(新教材新高考,含2024高考真题)_第八章平面解析几何
重难点突破10圆锥曲线中的向量与共线问题(五大题型)(解析版)_2025年新高考资料_一轮复习_2025年高考数学一轮复习讲练测(新教材新高考,含2024高考真题)_第八章平面解析几何
重难点突破10圆锥曲线中的向量与共线问题(五大题型)(解析版)_2025年新高考资料_一轮复习_2025年高考数学一轮复习讲练测(新教材新高考,含2024高考真题)_第八章平面解析几何
重难点突破10圆锥曲线中的向量与共线问题(五大题型)(解析版)_2025年新高考资料_一轮复习_2025年高考数学一轮复习讲练测(新教材新高考,含2024高考真题)_第八章平面解析几何
重难点突破10圆锥曲线中的向量与共线问题(五大题型)(解析版)_2025年新高考资料_一轮复习_2025年高考数学一轮复习讲练测(新教材新高考,含2024高考真题)_第八章平面解析几何
重难点突破10圆锥曲线中的向量与共线问题(五大题型)(解析版)_2025年新高考资料_一轮复习_2025年高考数学一轮复习讲练测(新教材新高考,含2024高考真题)_第八章平面解析几何
重难点突破10圆锥曲线中的向量与共线问题(五大题型)(解析版)_2025年新高考资料_一轮复习_2025年高考数学一轮复习讲练测(新教材新高考,含2024高考真题)_第八章平面解析几何
重难点突破10圆锥曲线中的向量与共线问题(五大题型)(解析版)_2025年新高考资料_一轮复习_2025年高考数学一轮复习讲练测(新教材新高考,含2024高考真题)_第八章平面解析几何
重难点突破10圆锥曲线中的向量与共线问题(五大题型)(解析版)_2025年新高考资料_一轮复习_2025年高考数学一轮复习讲练测(新教材新高考,含2024高考真题)_第八章平面解析几何
重难点突破10圆锥曲线中的向量与共线问题(五大题型)(解析版)_2025年新高考资料_一轮复习_2025年高考数学一轮复习讲练测(新教材新高考,含2024高考真题)_第八章平面解析几何
重难点突破10圆锥曲线中的向量与共线问题(五大题型)(解析版)_2025年新高考资料_一轮复习_2025年高考数学一轮复习讲练测(新教材新高考,含2024高考真题)_第八章平面解析几何
重难点突破10圆锥曲线中的向量与共线问题(五大题型)(解析版)_2025年新高考资料_一轮复习_2025年高考数学一轮复习讲练测(新教材新高考,含2024高考真题)_第八章平面解析几何
重难点突破10圆锥曲线中的向量与共线问题(五大题型)(解析版)_2025年新高考资料_一轮复习_2025年高考数学一轮复习讲练测(新教材新高考,含2024高考真题)_第八章平面解析几何
重难点突破10圆锥曲线中的向量与共线问题(五大题型)(解析版)_2025年新高考资料_一轮复习_2025年高考数学一轮复习讲练测(新教材新高考,含2024高考真题)_第八章平面解析几何
重难点突破10圆锥曲线中的向量与共线问题(五大题型)(解析版)_2025年新高考资料_一轮复习_2025年高考数学一轮复习讲练测(新教材新高考,含2024高考真题)_第八章平面解析几何
重难点突破10圆锥曲线中的向量与共线问题(五大题型)(解析版)_2025年新高考资料_一轮复习_2025年高考数学一轮复习讲练测(新教材新高考,含2024高考真题)_第八章平面解析几何
重难点突破10圆锥曲线中的向量与共线问题(五大题型)(解析版)_2025年新高考资料_一轮复习_2025年高考数学一轮复习讲练测(新教材新高考,含2024高考真题)_第八章平面解析几何
重难点突破10圆锥曲线中的向量与共线问题(五大题型)(解析版)_2025年新高考资料_一轮复习_2025年高考数学一轮复习讲练测(新教材新高考,含2024高考真题)_第八章平面解析几何
重难点突破10圆锥曲线中的向量与共线问题(五大题型)(解析版)_2025年新高考资料_一轮复习_2025年高考数学一轮复习讲练测(新教材新高考,含2024高考真题)_第八章平面解析几何
重难点突破10圆锥曲线中的向量与共线问题(五大题型)(解析版)_2025年新高考资料_一轮复习_2025年高考数学一轮复习讲练测(新教材新高考,含2024高考真题)_第八章平面解析几何
重难点突破10圆锥曲线中的向量与共线问题(五大题型)(解析版)_2025年新高考资料_一轮复习_2025年高考数学一轮复习讲练测(新教材新高考,含2024高考真题)_第八章平面解析几何
重难点突破10圆锥曲线中的向量与共线问题(五大题型)(解析版)_2025年新高考资料_一轮复习_2025年高考数学一轮复习讲练测(新教材新高考,含2024高考真题)_第八章平面解析几何
重难点突破10圆锥曲线中的向量与共线问题(五大题型)(解析版)_2025年新高考资料_一轮复习_2025年高考数学一轮复习讲练测(新教材新高考,含2024高考真题)_第八章平面解析几何
重难点突破10圆锥曲线中的向量与共线问题(五大题型)(解析版)_2025年新高考资料_一轮复习_2025年高考数学一轮复习讲练测(新教材新高考,含2024高考真题)_第八章平面解析几何
重难点突破10圆锥曲线中的向量与共线问题(五大题型)(解析版)_2025年新高考资料_一轮复习_2025年高考数学一轮复习讲练测(新教材新高考,含2024高考真题)_第八章平面解析几何

文档信息

文档格式
docx
文档大小
5.420 MB
文档页数
70 页
上传时间
2026-04-21 08:02:15

文档内容

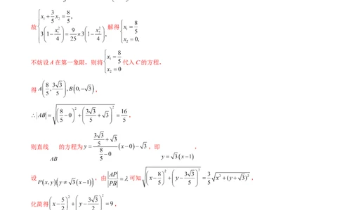
重难点突破 10 圆锥曲线中的向量与共线问题 目录 01 方法技巧与总结...............................................................................................................................2 02 题型归纳与总结...............................................................................................................................2 题型一:向量的单共线........................................................................................................................2 题型二:向量的双共线......................................................................................................................12 题型三:三点共线问题......................................................................................................................22 题型四:向量中的数量积问题..........................................................................................................30 题型五:将几何关系中的线段长度乘积转换为向量......................................................................39 03 过关测试.........................................................................................................................................44首先,明确向量的定义和性质,理解共线向量的概念,即方向相同或相反的向量。其次,利用向量的 坐标表示法,通过比较两向量的对应坐标分量是否成比例,来判断它们是否共线。若成比例,则两向量共 线。另外,也可以利用向量的几何意义,结合圆锥曲线的特性,通过观察或计算向量的方向来判断其共线 性。综上所述,结合向量的代数和几何性质,可以有效解决圆锥曲线中的向量与共线问题。 题型一:向量的单共线 【典例1-1】已知椭圆 的右焦点为F,点A,B在C上,且 .当 时, . (1)求C的方程; (2)已知异于F的动点P,使得 . (i)若A,B,P三点共线,证明:点P在定直线上: (ii)若A,B,P三点不共线,且 ,求 面积的最大值. 【解析】(1)当 时,由对称性可知 轴, , 的标准方程为 . (2)(i)(方法一) 点 异于点 , 设A(x ,y ),B(x ,y ),直线 的方程为 , 1 1 2 2 联立方程 ,得 , ,由 可知 三点共线,且 且 , 点 在线段 的延长线或反向延长线上, 则 ,设P(x,y),则 , 由 ,则 ,代入上式得 , , 把 ,代入上式得 ,命题得证. (方法二) 点 异于点 , 设A(x ,y ),B(x ,y ),由 可知 1 1 2 2 三点共线,且 且 , 点 在线段AB的延长线或反向延长线上, ,设P(x,y),则 , , , 将①式减去②式,得 , 即 , 则 , 点 在定直线 上,命题得证.(ii)当 时,由(i)可知 故 解得 不妨设A在第一象限,则将 代入C的方程, 得 , , 则直线 的方程为 ,即 , 设 ,由 可知 , 化简得 , 点 在以 为圆心,3为半径的圆上,且不在直线 上, 在直线 上, 面积的最大值为 .【典例1-2】(2024·安徽淮北·二模)如图,已知椭圆 的左右焦点为 ,短轴长 为 为 上一点, 为 的重心. (1)求椭圆 的方程; (2)椭圆 上不同三点 ,满足 ,且 成等差数列,线段 中垂线交 轴于 点,求点 纵坐标的取值范围; (3)直线 与 交于 点,交 轴于 点,若 ,求实数 的取值范围. 【解析】(1)不妨设 , 因 为 的重心,所以 , 所以 , 又短轴长为6,所以 ,代入解得 , 所以椭圆方程为: ; (2)由上可知 ,设 中点 , 则 , 又 ,消去 并整理得 ,同理 , 又 , 由题意得 , 即 , 因B,D在 上,易得 ,化简得 , 所以线段 中垂线的斜率 , 线段 中垂线方程: , 令 得 , 又线段 中点在椭圆内所以 , 所以 ; (3)设 ,由 得 , 联立 消 整理得 , 得 , 所以 , 当 时, , 当 时, , 解不等式得 .【变式1-1】(2024·高三·浙江宁波·期末)已知点 和直线 : ,动点 与定点 的距离和 到定直线 的距离的比是常数 . (1)求动点 的轨迹 的方程; (2)已知 ,过点 作直线 交 于 , 两点,若 ,求 的斜率 的值. 【解析】(1)设P(x,y),由题意得 , 化简得 : . (2)设 : , 与 联立得, ,因为 ,则定点 在椭圆内,则该直线 与椭圆必有两交点, 所以 因为 ,所以 ,即 , 所以 ③, 由①③得 , 将④⑤代入②,得 , 化简得 ,,解得 .【变式1-2】设直线l: 与椭圆 相交于A、B两个不同的点,与x轴相交于点 F. (1)证明: ; (2)若F是椭圆的一个焦点,且 ,求椭圆的方程. 【解析】(1)将直线 和椭圆 联立,得到 , 化简即为 ,即 ,即 . 因为直线与椭圆有两个交点,故该方程有两个不同的解,从而判别式 , 直接计算知: , 所以 ,故 ,从而 . (2) 由于直线 和 轴的交点为 ,故 ,半焦距 . 由于点 在直线 上,故可设 ,而 ,故 ,从 而 . 将 和 的坐标代入椭圆方程,知:故关于 的方程 有两个不同的解 , . 该方程可化为 ,即 , 即 ,即 . 显然 , 所以 , . 由于 ,故 ,从而 ,这意味着 ,故 . 而我们有 , 这就得到 ,所以 , 所以 . 而 ,故 ,所以 . 从而 ,故 . 于是 , . 所以椭圆的方程是 . 【变式1-3】已知点 ,椭圆 上的两点 .满足 ,则当 为何值时, 点 横坐标的绝对值最大? 【解析】设 , ,由 可知: , 因为 ,则 ,整理得 , 因为A,B在椭圆上,所以 , 则 ,即 , 与 相减得: , 所以, , 即当 时, 的最大值为4,即 的最大值为2. 所以当 时,点 横坐标的绝对值最大. 【变式1-4】在直角坐标系 中,已知 . (1)求点P的轨迹C的方程; (2)设直线l不过坐标原点且不垂直于坐标轴,l与C交于A、B两点,点 为弦AB的中 点.过点M作l的垂线交C于D、E,N为弦DE的中点. ①证明:l与ON相交; ②已知l与直线ON交于T,若 ,求 的最大值. 【解析】(1)因为 , 所以 , 所以 ,化简得 , 所以P的轨迹C的标准方程为 . (2)①因为直线l不过坐标原点且不垂直于坐标轴, 所以 . 设点 ,所以 , 由题意得, , 相减得 , 所以 , 所以 , 所以 , 所以 , 同理得, ,又 , 相乘得, , 因为 ,所以 , 因为 ,所以 ,所以 , 所以l与ON相交. l的方程为 ,直线DE的方程为 , ② 直线ON的方程为 , 联立得, , 故 , 又, 当且仅当 即 时取等号, 又 ,即当且仅当 时取等号, 所以 ,故 的最大值为 . 题型二:向量的双共线 【典例2-1】如图,已知圆 ,圆心是点T,点G是圆T上的动点,点H的坐标为 ,线段CH的垂直平分线交线段TC于点R,记动点R的轨迹为曲线E. (1)求曲线E的方程; (2)过点H作一条直线与曲线E相交于A,B两点,与y轴相交于点C,若 , ,试探究 是否为定值?若是,求出该定值;若不是,请说明理由; (3)过点 作两条直线MP,MQ,分别交曲线E于P,Q两点,使得 .且 ,点D为垂足,证明:存在定点F,使得 为定值. 【解析】(1)因为 , 所以 , 所以 ,半径 , 因为线段 的中垂线交线段 于点 , 所以 , 所以 , 所以动点 的轨迹是以 , 为焦点,长轴长为 的椭圆, 所以 , , , 故曲线E的方程为 . (2)当直线 的斜率不存在时,其方程为 , 与y轴不相交,不合题意,舍去, 当直线 的斜率存在时,设 所在直线方程为 , 设 , , 由 消去y整理得 , 恒成立,所以 , 又因为直线 与y轴的交点为C,所以 , 所以 , , , , 又因为 ,所以 ,同理 , 所以 ,且 , 所以 , 整理后得 , 所以 为定值 ,原题得证. (3)设 ,显然 的斜率存在, , , 设 的方程是 , 由 消去y得 , 则 ,即 , 由韦达定理得 , 根据已知 ,可得 , 即 ,又 , , 代入上式整理得 , 则 或 , 当 时,直线 的方程为 , 所以直线 经过定点 , 当 时,直线 的方程为 , 所以直线 经过定点(2,1)与M重合,舍去, 故直线 经过定点 , 又因为 , 所以D在以线段MK为直径的圆上. 所以F为线段MK的中点,即 , 所以 为定值. 【典例2-2】已知椭圆 的方程为 , 分别是 的左、右焦点,A是 的上顶点. (1)设直线 与椭圆 的另一个交点为 ,求 的周长; (2)给定点 ,直线 分别与椭圆 交于另一点 ,求 的面积; (3)设 是椭圆 上的一点, 是 轴上一点,若点 满足 , ,且点 在椭 圆 上,求 的最大值,并求出此时点 的坐标. 【解析】(1)由题意可知: , 所以 的周长为 . (2) 由题意可知: ,且 在椭圆上, 因为 ,可知 ,则直线 的方程为 , 联立方程 ,解得 或 , 即 , 所以 的面积为 . (3)设 , 则 , 因为 ,则 , 解得 ,即 , 且 ,则 , 又因为 ,则 , 解得 ,即 , 因为点 在椭圆 上,则 , 整理得 , 其中 ,可知 ,解得 , 即 的最大值为 , 代入 可得 , 即 , 联立 ,解得 ,即 , 综上所述: 的最大值为 ,此时 . 【变式2-1】已知椭圆 的左右焦点分别为 ,点 是椭圆 上三个不同的动 点(点 不在 轴上),满足 ,且 与 的周长的比值为 . (1)求椭圆 的离心率; (2)判断 是否为定值?若是,请求出定值;若不是,请说明理由. 【解析】(1)依题意点 、 、 三点共线,点 、 、 三点共线, 则 的周长为 , 则 的周长为 , 所以 ,即 , 椭圆 的离心率为 .(2)解法一:设 且 ,则有 ,即 , 由题 由 , 可得 ,则 , 由题设直线 ,联立 , 化简整理可得 显然 成立,故 , , 同理可得 , (定值). 解法二:设 且 ,则由 ,即有 ①, 由题 ,由 ,可得 , 则 , , 点 在椭圆上,则 ,则将上式代入整理得 ②, - 整理化简得 ,同理可得 , ② ①(定值). 【变式2-2】(2024·高三·上海杨浦·期中)已知椭圆 经过 , 两点. 为 坐标原点,且 的面积为 ,过点 且斜率为 的直线 与椭圆 有两个不同的交点 , .且直线 , 分别与 轴交于点 , . (1)求椭圆 的方程; (2)若以 为直径的圆经过坐标原点,求直线 的方程; (3)设 , ,求 的取值范围. 【解析】(1)因为椭圆 经过点 , 所以 解得 (负值舍去). 由 的面积为 可知 ,解得 , 所以椭圆 的方程为 . (2)设直线 的方程为 , , . 联立 ,消 整理可得 . 因为直线与椭圆有两个不同的交点, 所以 ,解得 , 因为 ,所以 的取值范围是 , 所以 , , 则, 因为以 为直径的圆经过坐标原点,所以 , 则 ,即 ,解得 (负值舍去), 所以直线 的方程为 . (3)因为 , , , , 所以直线 的方程是: , 令 ,解得 ,所以点 的坐标为 . 同理可得点 的坐标为 . 所以 , , . 由 , , 可得 , , 所以 , 同理 , 由(2)得 , 所以, 因为 ,所以 ,所以 , 则 ,所以 , 所以 的范围是 . 【变式2-3】(2024·辽宁·三模)已知椭圆 的左右焦点分别为 ,椭圆 的短轴 长为 ,离心率为 . 点 为椭圆 上的一个动点,直线 与椭圆 的另一个交点为 ,直线 与椭圆 的另一个交点为 ,设 , . (1)求椭圆 的方程; (2)证明: 为定值; 【解析】(1)由题知 ,得到 ,又 ,解得 , 所以椭圆 的方程为 . (2)由(1)知 , ,设 , , 则 , , , , 由 ,得到 ,所以 ,又 在椭圆上,所以 ,即 . 又 ,故 ,即 . 将其展开,得到 ,即 . 从而 ,即 , 易知 ,所以 ,得到 , 同理,由 ,得到 ,所以 , 又 在椭圆上,所以 ,即 . 又 ,故 ,即 . 将其展开,得到 ,即 . 从而 ,即 , 易知 ,所以 ,得到 ,所以 , 即 为定值. 题型三:三点共线问题 【典例3-1】(2024·高三·山东威海·期末)已知椭圆 的左、右顶点分别为 , , 右焦点 的坐标为 ,过点 作直线交 于 , 两点(异于 , ),当 垂直于 轴时, . (1)求 的标准方程; (2)直线 交直线 于点 ,证明: , , 三点共线. 【解析】(1)如图所示,由 ,可得 , 所以 , 即 ,因为 , 所以 ,解得 , , 所以 的标准方程为 . (2)由题意知,直线 斜率不为 ,如图所示, 设 , ,而 , 由 ,整理得 , 显然 ,则 , 因为 , 所以 ,即 . 则 ,所以 ,又因为有公共点 , 所以 , , 三点共线. 【典例3-2】(2024·高三·江苏连云港·期中)在平面直角坐标系 中,点 在椭圆 上,过点 的直线 的方程为 . (1)求椭圆 的离心率; (2)设椭圆 的左、右焦点分别为 , ,点 与点 关于直线 对称,求证:点 三点共线. 【解析】(1)依题意, , 所以离心率 . (2)直线 的斜率为 , 由(1)得 , 设 关于 的对称点为 , 线段 的中点为 , 所以 , 整理得 , 解得 , 则 在椭圆上,所以 , , 则, 所以 ,所以 三点共线. 【变式3-1】(2024·山西太原·三模)已知双曲线 的左、右顶点分别为 与 , 点 在 上,且直线 与 的斜率之和为 . (1)求双曲线 的方程; (2)过点 的直线与 交于 两点(均异于点 ),直线 与直线 交于点 ,求证: 三点共线. 【解析】(1)由题意得 ,且 (2)由 (1) 得 , 设直线 的方程为 ,则 , 由 得 ,直线 的方程为 ,令 ,则 , , 所以 三点共线. 【变式3-2】已知双曲线 的右焦点为 ,一条渐近线方程为 . (1)求双曲线 的方程; (2)记 的左、右顶点分别为 ,过 的直线 交 的右支于 两点,连结 交直线 于点 , 求证: 三点共线. 【解析】解:(1)依题意可得 , , 解得 , 故 的方程为 . (2)易得 , 显然,直线 的斜率不为0,设其方程为 , , 联立方程 ,消去 整理得 , 所以 , .直线 ,令 得 ,故 , , ,(*) 又 ,即 的值为0. 所以 故A、Q、N三点共线.﹒ 【变式3-3】(2024·陕西西安·一模)已知椭圆C: 的离心率为 ,右焦点 与抛物线 的焦点重合. (1)求椭圆C的方程; (2)设椭圆C的左焦点为 ,过点 的直线l与椭圆C交于 两点,A关于x轴对称的点为M,证 明: 三点共线. 【解析】(1)∵椭圆C的右焦点 与抛物线 的焦点重合,抛物线 的焦点为 , , ∴ 又 ,∴ , , ∴ ∴椭圆C的方程为 . (2)证明:由(1)知椭圆C的左焦点为 , 当直线l的斜率不存在时,其方程为: ,此时直线l与椭圆C没有交点,不符合题意; 当直线l的斜率存在时,设直线l的方程为 , , , 则 . 联立 ,消去y得 ,∴ ,解得 , ∴ , , ∵ , , 又 , , ∴ , ∵ 与 共线,而 与 有公共点 ,即 、 、 三点共线. 【变式3-4】(2024·上海松江·一模)已知椭圆 : 的长轴长为 ,离心率为 , 斜率为 的直线 与椭圆 有两个不同的交点A, (1)求椭圆 的方程; (2)若直线 的方程为: ,椭圆上点 关于直线 的对称点 (与 不重合)在椭圆 上,求 的值; (3)设 ,直线 与椭圆 的另一个交点为 ,直线 与椭圆 的另一个交点为 ,若点 , 和 点 三点共线,求 的值; 【解析】(1)椭圆 : 的长轴长为 ,离心率为 , 则 , ,则 ,则 则椭圆 的方程为 ; (2)设椭圆上点 关于直线 的对称点 则 ,解之得 ,则由 在椭圆 上,可得 , 整理得 ,解之得 或 当 时 与点M重合,舍去.则 (3)设 ,则 又 ,则 ,直线 的方程为 由 ,整理得 则 ,则 又 ,则 , 则 ,则 令则 ,直线 的方程为 由 ,整理得 则 ,则 又 ,则 , 则 ,则 则由点 , 和点 三点共线,可得 则 整理得 ,则 题型四:向量中的数量积问题 【典例4-1】已知椭圆 的左、右焦点分别为 ,左顶点为 ,离心率为 . (1)求 的方程; (2)若直线 与 交于 两点,线段 的中点分别为 , .设过点 且垂直于 轴的直线为 ,若直线 与直线 交于点 ,直线 与直线 交于点 ,求 . 【解析】(1) 椭圆 左顶点为 , , 又因为离心率 , , , 的方程为: . (2)如图所示: 设 , ,则 , 由 得: , 则 , , ; 直线 方程为: , , ; 同理可得: ,又 , , , , 为定值 . 【典例4-2】(2024·高三·浙江·开学考试)已知椭圆 的离心率为 ,左、右 顶点分别为 为坐标原点, 为线段 的中点, 为椭圆上动点,且 面积的最大值为 . (1)求椭圆 的方程; (2)延长 交椭圆于 ,若 ,求直线 的方程. 【解析】(1)由条件得 ,即 ,则 , 则 , ,解得 , 所以椭圆 的方程为 . (2)由题意可知: ,则 ,且直线 与椭圆必相交, 若直线 的斜率不存在,可知 , 联立方程 ,解得 , 不妨取 ,则 , 可得 ,不合题意; 若直线 的斜率存在,设直线 , 则 , , 与椭圆联列方程得 ,消去y得 , 可得 , 则 , 可得 ,解得 所以直线 的方程为 ; 综上所述:直线 的方程为 .【变式4-1】(2024·上海长宁·二模)已知椭圆 为坐标原点; (1)求 的离心率 ; (2)设点 ,点 在 上,求 的最大值和最小值; (3)点 ,点 在直线 上,过点 且与 平行的直线 与 交于 两点;试探究:是否存在 常数 ,使得 恒成立;若存在,求出该常数的值;若不存在,说明理由; 【解析】(1)设 的半长轴长为 ,半短轴长为 ,半焦距为 , 则 ,则 ,所以 . (2)依题意,设 ,则 , ,故 , 则 , 所以由二次函数的性质可知,当 时, 取得最小值为 , 当 时, 取得最大值为 . (3)设 ,又 , 易得 ,则直线 为 ,即 , 而 , , , 联立 ,消去 ,得则 ,得 , 所以 , 故 , 所以 , 故存在 ,使得 恒成立. 【变式4-2】(2024·福建厦门·二模)已知 , , 为平面上的一个动点.设直线 的斜 率分别为 , ,且满足 .记 的轨迹为曲线 . (1)求 的轨迹方程; (2)直线 , 分别交动直线 于点 ,过点 作 的垂线交 轴于点 . 是否存在最大值? 若存在,求出最大值;若不存在,说明理由. 【解析】(1)由题意设点 ,由于 , 故 ,整理得 , 即 的轨迹方程为 ; (2)由题意知直线 的斜率分别为 , ,且满足 , 设直线 的方程为 ,令 ,则可得 ,即 , 直线 ,同理求得 , 又直线 的方程为 ,令 ,得 ,即 , 故 , 当 时, 取到最大值12, 即 存在最大值,最大值为12. 【变式4-3】(2024·高三·天津河北·期末)设椭圆 的左右焦点分别为 ,短轴的 两个端点为 ,且四边形 是边长为2的正方形. 分别是椭圆的左右顶点,动点 满足 ,连接 ,交椭圆 于点 . (1)求椭圆 的方程; (2)求证: 为定值. 【解析】(1)由题设 , ,得 , 椭圆的方程为 . (2) 由(1)知 ,由题意知,直线 的斜率存在且不为0, 设直线 的方程为 ,联立 , 消去 得 ,其中 是直线与椭圆一个交点, 所以 ,则 ,代入直线得 ,故 . 又 ,将 代入 ,得 ,则 .所以 ,为定值. 【变式4-4】已知椭圆 的左、右顶点分别为 ,右焦点为 ,过点 且斜率为 的直 线 交椭圆 于点 . (1)若 ,求 的值; (2)若圆 是以 为圆心,1为半径的圆,连接 ,线段 交圆 于点 ,射线 上存在一点 ,使得 为定值,证明:点 在定直线上. 【解析】(1)依题意可得 ,可设 , , 由 ,消去 整理得 , , , , , , 所以 ,解得 或 (舍去), 所以 . (2)由(1)知 , , 若直线 斜率存在,则 , 直线 , 由 得 ,又点 在线段 上, 所以 ,即 ,又 , ,设 ,则 , ; 当 时, 为定值,此时 ,则 ,此时 在定直线 上; 当 时, 不为定值,不合题意; 若直线 斜率不存在,由椭圆和圆的对称性,不妨设 ,从而有 , , 此时 ,则直线 , 设 ,则 , , , 则 时, ,满足题意; 综上所述:当 为定值,点 在定直线 上. 【变式4-5】(2024·高三·山东·开学考试)已知椭圆 ,且其右焦点为 ,过 点且与坐标轴 不垂直的直线与椭圆交于 、 两点. (1)设 为坐标原点,线段 上是否存在点 ,使得 ?若存在,求出 的取值范围; 若不存在,说明理由; (2)过点 且不垂直于 轴的直线与椭圆交于 、 两点,点 关于 轴的对称点为 ,试证明:直线 过定点. 【解析】(1)由题意,设直线 的方程为 , , 联立 ,得 ,恒成立. 设 、 ,线段 的中点为 , 则 , , 由 ,得: ,故 , 又因为 为 的中点,则直线 为直线 的垂直平分线, 所以,直线 的方程为 ,即 , 令 得点 的横坐标 , 因为 ,则 ,所以, , 所以,线段 上存在点 ,使得 ,其中 . (2)当直线 的斜率不为零时,设直线 的方程为 , , 联立 得 , 因为过点 且不垂直于 轴的直线与椭圆交于 、 两点, 由 ,得 , 设 、 ,则 ,则 , , 则直线 的方程为 , 令 得. 易知,当直线 斜率为 时,直线 与 轴重合, 此时,点 与点 重合,则直线 过点 . 综上所述,直线 过定点 . 题型五:将几何关系中的线段长度乘积转换为向量 【典例5-1】如图,已知椭圆 ,过椭圆 上第一象限的点 作椭圆的切线与 轴相交于 点, 是坐标原点,作 于 ,证明: 为定值. 【解析】证明:不妨设切线 方程为 , , 联立切线方程和椭圆方程 , 消去 得 , 所以 ,得 , 解方程可得 ,所以 , 又点 坐标为 ,故 为定值. 【典例5-2】如图,已知抛物线 ,过点 且斜率为 的直线 交抛物线于 , 两点,抛物线上 的点 ,设直线 , 的斜率分别为 , .(1)求 的取值范围; (2)过点 作直线 的垂线,垂足为 .求 的最大值. 【解析】(1)直线 的方程为 ,代入抛物线 得: ,解得 或 ,所以 , 因为 , 所以 , , 则有 , 又 ,则有 ,故 的取值范围是 . (2)由(1)知 , , 所以 , , , 令 , , 则 , 由于当 时, ,当 时, , 故 ,即 的最大值为 .【变式5-1】(2024·高三·北京·开学考试)已知椭圆 的长轴长为4,离心率为 . (1)求椭圆 的方程; (2)设 为椭圆的左顶点,过点 不与 轴重合的直线 交椭圆 于两点 ,直线 分别交直 线 于点 和点 .求证:以 为直径的圆经过 轴上的两个定点. 【解析】(1)设椭圆 的方程为 . 由题意得 ,解得 ,所以 . 所以椭圆 的方程为 . (2)当直线 垂直于 轴,由直线 过 , 在椭圆方程 中,令 ,解得 , 不妨设 ,椭圆左顶点 , 直线 分别交直线 于点 和点 ,则 分别与 重合. 即 ,则以 为直径的圆以 为圆心, 为半径, 该圆与 轴交点为 . 即以 为直径的圆经过 两点; 当直线 的斜率存在时,设其方程为 . 设 , , 由 得 . 所以 , .y 则直线 的方程为y= 1 (x+2). x +2 1 令 ,得点 .同理,点 . 设以 为直径的圆与 轴交点为 , , 则 . 解得 或 . 故不论 取何值,以 为直径的圆经过 轴上的两个定点 ; 综上所述,以 为直径的圆经过 轴上的定点 . 【变式5-2】(2024·全国·模拟预测)已知椭圆 的中心在坐标原点,焦点 在 轴上,点 在 上,长轴长与短轴长之比为 . (1)求椭圆 的方程. (2)设 为 的下顶点,过点 且斜率为 的直线与 相交于 两点,且点 在线段 上.若点 在线段 上, ,证明: . 【解析】(1)设椭圆 的方程为 . 由题意可知 ,解得 ,故椭圆 的方程为 . (2)由(1)可知 . 设 ,直线 的方程为 . 由 ,得 , 则 ,所以 . 由 ,得 , 所以 ,则 , 所以点 在线段 的垂直平分线 上,即 .易知 . 设 ,则 , 则 .① 又点 在直线 上,所以 , 则 , 所以 ,则 . 整理,得 .②由①②,得 . 所以 ,则 ,所以 ,故 .(1)求椭圆 的标准方程; (2)证明:线段 的中点 在直线 上; (3)过点 作 轴的平行线,与直线 的交点为 ,证明:点 在以线段 为直径的圆上. 【解析】(1) ,又 , , 又 , 椭圆方程为 ; (2)联立直线与椭圆方程 , 又因为有两个交点,所以 , 解得 ,设 , 故 , 又 , , 线段 的中点 的坐标为 , , 线段 的中点C在直线 上; (3)由已知得: ,, , , 点 在以线段 为直径的圆上. 2.(2024·全国·模拟预测)已知椭圆 的长轴长为4,左、右顶点分别为 ,上、 下顶点分别为 ,四边形 的内切圆 的半径为 ,过椭圆 上一点T引圆 的两条切线 (切线斜率存在且不为0),分别交椭圆 于点P,Q. (1)求椭圆 的方程; (2)试探究直线 与 的斜率之积是否为定值,并说明理由; (3)记点O为坐标原点,求证:P,O,Q三点共线. 【解析】(1)由题意得 ,则直线 的方程为 . 由 可得 , 所以椭圆 的方程为 . (2)由题意得 , 切线的斜率存在且不为0,并设为 ,取 ,则 , 此时切线方程为 ,则 . 整理得 . 设过点 引圆 的两条切线斜率分别为 ,则 ①. 由 得 ,将其代入①式得 , 故直线 与 的斜率之积为 . (3)设直线 ,则 ,解得 . 将直线 与椭圆 联立,则 . 因为直线 与椭圆有两个不同的交点,所以 . 设 ,则 , 将 代入可得 . 设直线 ,则 ,整理得 . 同理,将直线 与椭圆 联立,则 . 设 ,则 , 将 代入可得 , 显然 . 设直线 ,则 ,解得 , 将直线 与椭圆 联立,则 , 设 ,则 , 将 代入得 .设直线 ,则 ,解得 . 将直线 与椭圆 联立,则 . 设Q(x ,y ),则 . 2 2 将 代入得 , 故 . 所以 , , ,且 , 所以P,O,Q三点共线. 3.已知椭圆 的上、下顶点分别为 ,已知点 在直线 : 上,且椭圆的离心 率 . (1)求椭圆的标准方程; (2)设 是椭圆上异于 的任意一点, 轴, 为垂足, 为线段 的中点,直线 交直线 于 点 , 为线段 的中点,求 的值. 【解析】(1)且点 在直线 : 上, , 又 , , , 椭圆的标准方程为 . (2) 设 , ,则 ,且 , 为线段 的中点, , , 直线 的方程为: , 令 ,得 , , 为线段 的中点, , , , 4.(2024·陕西咸阳·模拟预测)已知椭圆 的离心率是双曲线 的离心率的 倒数,椭圆 的左、右焦点分别为 ,上顶点为 ,且 . (1)求椭圆 的方程; (2)当过点 的动直线 与椭圆 相交于两个不同点 时,设 ,求 的取值范围.【解析】(1)设点 的坐标分别为 , 又点 的坐标为 ,且 , 所以 ,解得 , 所以椭圆 的方程为 . (2)设 ,则依据 得 , 整理得 , 又 ,故 , 得 , 即 , 当 时,此时 ,即 重合,显然不成立,所以 , 所以 ,即 , 又 ,得 , 又 ,故 ,且 , 故实数 的取值范围为 . 5.已知椭圆 ,设过点 的直线 与椭圆 交于 , ,点 是线段 上的点,且,求点 的轨迹方程. 【解析】设 , , , 由 ,记 , 即 , . ,由定比分点得: , ,由定比分点得 , 又 ,配比 , 由(1)-(3)得: ,即 . 所以点Q的轨迹方程为 (在椭圆内部), 由 可得 ,故 , 故点 的轨迹方程为 .6.(2024·吉林长春·一模)椭圆 的离心率为 ,过椭圆焦点并且垂直于长轴的弦 长度为1. (1)求椭圆 的标准方程; (2)若直线 与椭圆 相交于 , 两点,与 轴相交于 点,若存在实数 ,使得 , 求 的取值范围. 【解析】(1)因为该椭圆的离心率为 ,所以有 , 在方程 中,令 ,解得 , 因为过椭圆焦点并且垂直于长轴的弦长度为1, 所以有 ,由 可得: , 所以椭圆的方程为 ; (2)当直线 不存在斜率时,由题意可知直线与椭圆有两个交点,与纵轴也有两个交点不符合题意; 当直线 存在斜率时,设为 ,所以直线 的方程设为 , 于是有 , 因为该直线与椭圆有两个交点,所以一定有 , 化简,得 , 设 ,于是有 , 因为 , 所以 , 代入 中,得 , 于是有 ,化简,得 ,代入 中,得 . 7.(2024·广东广州·模拟预测)在平面直角坐标系 中,点 到点 的距离与到直线 的距离之 比为 ,记 的轨迹为曲线 ,直线 交 右支于 , 两点,直线 交 右支于 , 两点, . (1)求 的标准方程; (2)证明: ; (3)若直线 过点 ,直线 过点 ,记 , 的中点分别为 , ,过点 作 两条渐近线的垂线, 垂足分别为 , ,求四边形 面积的取值范围. 【解析】(1)设点 ,因为点 到点 的距离与到直线 的距离之比为 , 所以 ,整理得 , 所以 的标准方程为 . (2)由题意可知直线 和直线 斜率若存在则均不为0且不为 , ①直线 的斜率不存在时,则可设直线 方程为 , ,则 且由点A和点B在曲线E上,故 , 所以 , 同理可得 ,所以 ; ②直线 斜率存在时,则可设方程为 ,A(x ,y )、B(x ,y ), 1 1 2 2 联立 , 则 即 , 且 , 且 , 所以 , 同理 ,所以 , 综上, . (3)由题意可知直线 和直线 斜率若存在则斜率大于1或小于 , 且曲线E的渐近线方程为 , 故可分别设直线 和直线 的方程为 和 ,且 ,联立 得 ,设A(x ,y )、B(x ,y ), 1 1 2 2 则 , , , 故 , 因为P是 中点,所以 即 , 同理可得 , 所以P到两渐近线的距离分别为 , , Q到两渐近线的距离分别为 , , 由上知两渐近线垂直,故四边形 是矩形,连接 , 则四边形 面积为, 因为 ,所以 , 所以 , 所以四边形 面积的取值范围为 . 8.(2024·河南驻马店·二模)已知双曲线 的左顶点为 ,直线 与 的一条渐近线平行,且与 交于点 ,直线 的斜率为 . (1)求 的方程; (2)已知直线 与 交于 两点,问:是否存在满足 的点 ?若存在,求 的值;若不存在,请说明理由. 【解析】(1)由题可知, 的一条渐近线方程为 ,则 , 设 ,又 ,直线 的斜率为 , 所以 , 解得 ,则 , 代入 中,解得 , 故 的方程为 . (2)因为 , 所以 ,即 ,所以 , 同理可得 , 设 , 联立 ,整理得 , 由题意知 ,且 , 解得 或 ,且 ,所以 , 过点 与 垂直的直线的方程为 ,设该直线与 的右支交于另一点 , 联立 ,整理得 , 解得 或 (舍去),所以 , 因为 , 所以 ,同理可证 , 又 ,所以 与 重合, 所以 在 上,则 , 故存在点 满足 ,且 的值为16. 9.如图:双曲线 的左、右焦点分别为 , ,过 作直线 交 轴于点 .(1)当直线 平行于 的斜率大于 的渐近线 时,求直线 与 的距离; (2)当直线 的斜率为 时,在 的右支上是否存在点 ,满足 ?若存在,求出 点的坐标;若不 存在,说明理由; 【解析】(1)双曲线 ,焦点在 轴上, , 则双曲线左、右焦点分别为 , ,渐近线方程为 , 当直线 平行于 的斜率大于 的渐近线 时,则直线 的方程为 ,即 , 又渐近线 为 , 所以直线 与 的距离 . (2)不存在,理由如下: 当直线l的斜率为1时,直线方程为 ,因此 , 又 ,所以 , 设 的右支上的点 ,则 , 由 得 , 又 ,联立消去 得 , 因为 ,但是 , ,所以此方程无正根, 因此,在 的右支上不存在点 ,满足 . 10.(2024·湖北襄阳·模拟预测)设双曲线 的左、右顶点分别为 , ,左、右焦点分别为 , , ,且 的渐近线方程为 ,直线 交双曲线 于 , 两点. (1)求双曲线 的方程; (2)当直线 过点 时,求 的取值范围. 【解析】(1)由题意可得: ,解得: , , . 双曲线的方程为: . (2)当直线 的斜率不存在时, ,A(−2,0), 此时 , ,所以 , 当直线 的斜率存在时,设P(x ,y ),Q(x ,y ),因为直线 过点 , 1 1 2 2 设直线 的方程为: , 联立 可得: , 当 时, , , , , 令 ,则 ,令 , 在 , 上单调递减, 又 ,所以 , 所以 的取值范围为 .11.已知双曲线 左右顶点分别为 ,过点 的直线 交双曲线 于 两点. (1)若离心率 时,求 的值. (2)若 为等腰三角形时,且点 在第一象限,求点 的坐标. (3)连接 并延长,交双曲线 于点 ,若 ,求 的取值范围. 【解析】(1)由题意得 ,则 , . (2)当 时,双曲线 ,其中 , , 因为 为等腰三角形,则 ①当以 为底时,显然点 在直线 上,这与点 在第一象限矛盾,故舍去; ②当以 为底时, , 设 ,则 , 联立解得 或 或 , 因为点 在第一象限,显然以上均不合题意,舍去; (或者由双曲线性质知 ,矛盾,舍去); ③当以 为底时, ,设 ,其中 , 则有 ,解得 ,即 . 综上所述: . (3)由题知 , 当直线 的斜率为0时,此时 ,不合题意,则 ,则设直线 , 设点 ,根据 延长线交双曲线 于点 , 根据双曲线对称性知 , 联立有 , 显然二次项系数 , 其中 , ①, ②, , 则 ,因为 在直线 上, 则 , , 即 ,即 , 将①②代入有 , 即 化简得 , 所以 , 代入到 , 得 , 所以 , 且 ,解得 ,又因为 ,则 , 综上知, , . 12.(2024·河北衡水·模拟预测)已知圆 ,过 的直线与圆 交于 两点, 过 作 的平行线交直线 于 点. (1)求点 的轨迹 的方程;(2)过 作两条互相垂直的直线 交曲线 于 交曲线 于 ,连接弦 的中点和 的中 点交曲线 于 ,若 ,求 的斜率. 【解析】(1)根据题意,因为 , , 所以 ,所以 , 所以 , 当 位置互换时, ,当过 的直线与 轴重合时无法作出 , 所以点 的轨迹为以 为焦点,即 ,且 的双曲线, 所以 , 的轨迹方程为 . (2)根据题意可知 的斜率存在且不为 , 设 的斜率为 , , , , ,其中 , 则 , , 联立 ,消去 得 , , 所以 , ,所以 中点坐标为 ,同理可得 中点坐标为 , 当 ,即 时,两中点坐标分别为 , ,此时直线 为 , 联立 ,解得 , , 所以 , , 不满足条件, 当 时, , 则直线 方程 ,整理得 , 令 ,联立 得 , , 所以 , , , 所以由 解得 , 当 时,代入 解得 或 , 当 时,代入 解得 或 , 综上 的斜率为 或 13.(2024·山东泰安·模拟预测)已知直线l: 分别与x轴,直线 交于点A,B,点P 是线段AB的垂直平分线上的一点(P不在x轴负半轴上)且 . (1)求点P的轨迹C的方程; (2)设l与C交于E,F两点,点M在C上且满足 ,延长MA交C于点N,求 的最小值. 【解析】(1)由题意 , 如图, ∵ ,∴ , 又∵ 不在 轴负半轴上, ∴ 与直线 垂直, 又∵ , ∴点 的轨迹是以(1,0)为焦点, 为准线的抛物线, ∴点 的轨迹方程为 . (2) 由 得 , ∵ 与 交于两点, ∴ , 设 , ,则 , 又∵ , ∴ , ∵ 的斜率为 , ∴直线 的方程为 , 设 , ,同理得 , ,∴ , 当且仅当 即 时取到“=”, ∴ 的最小值为16. 14.(2024·全国·模拟预测)在平面直角坐标系 中,双曲线 , , 分别为 曲线 的左焦点和右焦点, 在双曲线的右支上运动, 的最小值为1,且双曲线 的离心率为2. (1)求双曲线 的方程; (2)当过 的动直线 与双曲线 相交于不同的点 , 时,在线段 上取一点 ,满足 .证明:点 总在某定直线上. 【解析】(1)设双曲线 的半焦距为 ,点 的坐标为 , 因为点 在双曲线 的右支上, 所以 , , 所以 , 所以 , 所以当 时, 取最小值, 由题意可知, , 双曲线 的离心率 , 所以 , , 所以 ,所以双曲线 的方程为 . (2) , 若点 都在右支上,则 方向相反,有 共线, 则 方向相反,即 方向相同, 与点 在线段 上矛盾, 所以直线 与曲线 交在两支上, 如图, 设 , 由 ,可得 , 又 共线,所以 共线, 所以 . 设A(x ,y ),B(x ,y ), , 1 1 2 2 , , , , 则 , , , , 整理可得 ,① ,② ,③ ,④ 将① ③,② ④分别得到 ,⑤ ,⑥将⑤ ⑥可得 , 点 在定直线 上. 15.(2024·高三·山东临沂·期末)已知圆 : 的圆心为 ,圆 : 的 圆心为 ,一动圆与圆 内切,与圆 外切,动圆的圆心 的轨迹为曲线 . (1)求曲线 的方程: (2)已知点 ,直线 不过 点并与曲线 交于 两点,且 ,直线 是否过定点?若过定点, 求出定点坐标:若不过定点,请说明理由, 【解析】(1)如图,设圆 的圆心为 ,半径为 , 由题可得圆 半径为3,圆 半径为1,则 , , 所以 , 由双曲线定义可知, 的轨迹是以 , 为焦点、实轴长为4的双曲线的右支, 又 , , , , 所以动圆的圆心 的轨迹方程为 , , 即曲线 的方程为 , . (2)设直线 的方程为 , 联立 ,消去 得 , 由题意直线与曲线有两个交点,则 , 设 , , , ,其中 , , 由韦达定理得: , , 又点 ,所以 , , , , 因为 ,所以 , 则, 即 , 解得 舍去), 当 ,直线 的方程为 , , 故直线 恒过点 , . 16.在直角坐标平面中, 的两个顶点A,B的坐标分别为 , ,两动点M,N满 足 , ,向量 与 共线. (1)求 的顶点C的轨迹方程; (2)若过点 的直线与(1)轨迹相交于E,F两点,求 的取值范围. 【解析】(1)设顶点C的坐标为 ,因为 , . 又 且向量 与 共线, N在边 的中垂线上, . ∴ 而 ,即 , 化简并整理得顶点C的轨迹方程为 . (2) 设 , 过点 的直线方程为 ,代入 , 得 , ,得 , 而 是方程的两根, , . , 即 , 故 的取值范围为 . 17.(2024·贵州贵阳·三模)已知 为双曲线 的右顶点,过点 的直线 交 于D、E两 点. (1)若 ,试求直线 的斜率; (2)记双曲线 的两条渐近线分别为 ,过曲线 的右支上一点 作直线与 , 分别交于M、N两点,且 M、N位于 轴右侧,若满足 ,求 的取值范围( 为坐标原点). 【解析】(1)由题意知直线 的斜率一定存在. 设直线 的方程为 . 联立 ,化简得: ,其中 所以 , 因为 ,所以 . 即: ,换元后有: . 所以 ,化简得: . 解得: 或 . 当 时,直线过点 ,不符合题意. 当 时,代入得 ,满足题意. 所以 . (2)设 ,则 . 由 可知: , 因为 ,所以 ,且有 , 化简得: . 又 , 设 ,则 . 当 时, 在定义域上单减; 当 时, 在定义域上单增. 所以 . 所以 的取值范围是: . 18.(2024·湖南衡阳·模拟预测)已知双曲线 的右顶点为 ,双曲线 的左、右 焦点分别为 ,且 ,双曲线 的一条渐近线方程为 . (1)求双曲线 的标准方程; (2)已知过点 的直线与双曲线 右支交于 两点,点 在线段 上,若存在实数 且 , 使得 ,证明:直线 的斜率为定值. 【解析】(1)设双曲线 的半焦距为 ,由 ,得 ,即 ,所以 , 又双曲线 的一条渐近线方程为 ,所以 , 解得 , 故双曲线 的方程为 . (2)设直线与双曲线 交于A(x ,y ),B(x ,y ),点 , 1 1 2 2 因为存在实数 且 ,使得 , 所以 , , 整理得: ①, ②, 得 ③, 同理 ④, ⑤, 得 ⑥, 由于双曲线 上的点的坐标满足 , - 得 , ③ ⑥ 即 ,又 ,所以 , 表示点 在直线 上,又 也在直线 上, 所以直线 的斜率为 (定值).