当前位置:首页>文档>素养拓展36圆锥曲线与向量交汇问题(解析版)_02高考数学_新高考复习资料_2024年新高考资料_一轮复习资料_一轮复习讲义—素养拓展(精讲+精练)(新高考通用)

素养拓展36圆锥曲线与向量交汇问题(解析版)_02高考数学_新高考复习资料_2024年新高考资料_一轮复习资料_一轮复习讲义—素养拓展(精讲+精练)(新高考通用)

  • 2026-04-20 00:32:57 2026-04-20 00:32:57

文档预览

素养拓展36圆锥曲线与向量交汇问题(解析版)_02高考数学_新高考复习资料_2024年新高考资料_一轮复习资料_一轮复习讲义—素养拓展(精讲+精练)(新高考通用)
素养拓展36圆锥曲线与向量交汇问题(解析版)_02高考数学_新高考复习资料_2024年新高考资料_一轮复习资料_一轮复习讲义—素养拓展(精讲+精练)(新高考通用)
素养拓展36圆锥曲线与向量交汇问题(解析版)_02高考数学_新高考复习资料_2024年新高考资料_一轮复习资料_一轮复习讲义—素养拓展(精讲+精练)(新高考通用)
素养拓展36圆锥曲线与向量交汇问题(解析版)_02高考数学_新高考复习资料_2024年新高考资料_一轮复习资料_一轮复习讲义—素养拓展(精讲+精练)(新高考通用)
素养拓展36圆锥曲线与向量交汇问题(解析版)_02高考数学_新高考复习资料_2024年新高考资料_一轮复习资料_一轮复习讲义—素养拓展(精讲+精练)(新高考通用)
素养拓展36圆锥曲线与向量交汇问题(解析版)_02高考数学_新高考复习资料_2024年新高考资料_一轮复习资料_一轮复习讲义—素养拓展(精讲+精练)(新高考通用)
素养拓展36圆锥曲线与向量交汇问题(解析版)_02高考数学_新高考复习资料_2024年新高考资料_一轮复习资料_一轮复习讲义—素养拓展(精讲+精练)(新高考通用)
素养拓展36圆锥曲线与向量交汇问题(解析版)_02高考数学_新高考复习资料_2024年新高考资料_一轮复习资料_一轮复习讲义—素养拓展(精讲+精练)(新高考通用)
素养拓展36圆锥曲线与向量交汇问题(解析版)_02高考数学_新高考复习资料_2024年新高考资料_一轮复习资料_一轮复习讲义—素养拓展(精讲+精练)(新高考通用)
素养拓展36圆锥曲线与向量交汇问题(解析版)_02高考数学_新高考复习资料_2024年新高考资料_一轮复习资料_一轮复习讲义—素养拓展(精讲+精练)(新高考通用)
素养拓展36圆锥曲线与向量交汇问题(解析版)_02高考数学_新高考复习资料_2024年新高考资料_一轮复习资料_一轮复习讲义—素养拓展(精讲+精练)(新高考通用)
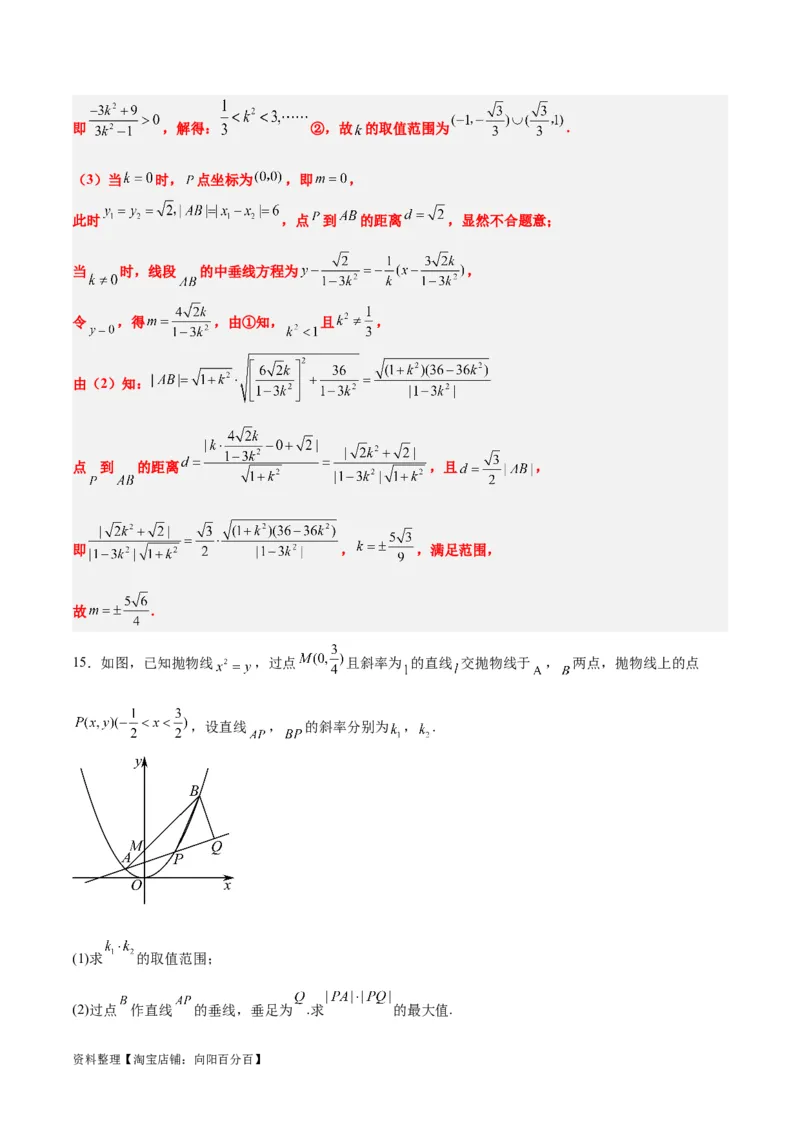
素养拓展36圆锥曲线与向量交汇问题(解析版)_02高考数学_新高考复习资料_2024年新高考资料_一轮复习资料_一轮复习讲义—素养拓展(精讲+精练)(新高考通用)
素养拓展36圆锥曲线与向量交汇问题(解析版)_02高考数学_新高考复习资料_2024年新高考资料_一轮复习资料_一轮复习讲义—素养拓展(精讲+精练)(新高考通用)
素养拓展36圆锥曲线与向量交汇问题(解析版)_02高考数学_新高考复习资料_2024年新高考资料_一轮复习资料_一轮复习讲义—素养拓展(精讲+精练)(新高考通用)
素养拓展36圆锥曲线与向量交汇问题(解析版)_02高考数学_新高考复习资料_2024年新高考资料_一轮复习资料_一轮复习讲义—素养拓展(精讲+精练)(新高考通用)
素养拓展36圆锥曲线与向量交汇问题(解析版)_02高考数学_新高考复习资料_2024年新高考资料_一轮复习资料_一轮复习讲义—素养拓展(精讲+精练)(新高考通用)
素养拓展36圆锥曲线与向量交汇问题(解析版)_02高考数学_新高考复习资料_2024年新高考资料_一轮复习资料_一轮复习讲义—素养拓展(精讲+精练)(新高考通用)
素养拓展36圆锥曲线与向量交汇问题(解析版)_02高考数学_新高考复习资料_2024年新高考资料_一轮复习资料_一轮复习讲义—素养拓展(精讲+精练)(新高考通用)
素养拓展36圆锥曲线与向量交汇问题(解析版)_02高考数学_新高考复习资料_2024年新高考资料_一轮复习资料_一轮复习讲义—素养拓展(精讲+精练)(新高考通用)
素养拓展36圆锥曲线与向量交汇问题(解析版)_02高考数学_新高考复习资料_2024年新高考资料_一轮复习资料_一轮复习讲义—素养拓展(精讲+精练)(新高考通用)
素养拓展36圆锥曲线与向量交汇问题(解析版)_02高考数学_新高考复习资料_2024年新高考资料_一轮复习资料_一轮复习讲义—素养拓展(精讲+精练)(新高考通用)
素养拓展36圆锥曲线与向量交汇问题(解析版)_02高考数学_新高考复习资料_2024年新高考资料_一轮复习资料_一轮复习讲义—素养拓展(精讲+精练)(新高考通用)
素养拓展36圆锥曲线与向量交汇问题(解析版)_02高考数学_新高考复习资料_2024年新高考资料_一轮复习资料_一轮复习讲义—素养拓展(精讲+精练)(新高考通用)
素养拓展36圆锥曲线与向量交汇问题(解析版)_02高考数学_新高考复习资料_2024年新高考资料_一轮复习资料_一轮复习讲义—素养拓展(精讲+精练)(新高考通用)
素养拓展36圆锥曲线与向量交汇问题(解析版)_02高考数学_新高考复习资料_2024年新高考资料_一轮复习资料_一轮复习讲义—素养拓展(精讲+精练)(新高考通用)
素养拓展36圆锥曲线与向量交汇问题(解析版)_02高考数学_新高考复习资料_2024年新高考资料_一轮复习资料_一轮复习讲义—素养拓展(精讲+精练)(新高考通用)
素养拓展36圆锥曲线与向量交汇问题(解析版)_02高考数学_新高考复习资料_2024年新高考资料_一轮复习资料_一轮复习讲义—素养拓展(精讲+精练)(新高考通用)
素养拓展36圆锥曲线与向量交汇问题(解析版)_02高考数学_新高考复习资料_2024年新高考资料_一轮复习资料_一轮复习讲义—素养拓展(精讲+精练)(新高考通用)
素养拓展36圆锥曲线与向量交汇问题(解析版)_02高考数学_新高考复习资料_2024年新高考资料_一轮复习资料_一轮复习讲义—素养拓展(精讲+精练)(新高考通用)
素养拓展36圆锥曲线与向量交汇问题(解析版)_02高考数学_新高考复习资料_2024年新高考资料_一轮复习资料_一轮复习讲义—素养拓展(精讲+精练)(新高考通用)
素养拓展36圆锥曲线与向量交汇问题(解析版)_02高考数学_新高考复习资料_2024年新高考资料_一轮复习资料_一轮复习讲义—素养拓展(精讲+精练)(新高考通用)
素养拓展36圆锥曲线与向量交汇问题(解析版)_02高考数学_新高考复习资料_2024年新高考资料_一轮复习资料_一轮复习讲义—素养拓展(精讲+精练)(新高考通用)
素养拓展36圆锥曲线与向量交汇问题(解析版)_02高考数学_新高考复习资料_2024年新高考资料_一轮复习资料_一轮复习讲义—素养拓展(精讲+精练)(新高考通用)
素养拓展36圆锥曲线与向量交汇问题(解析版)_02高考数学_新高考复习资料_2024年新高考资料_一轮复习资料_一轮复习讲义—素养拓展(精讲+精练)(新高考通用)
素养拓展36圆锥曲线与向量交汇问题(解析版)_02高考数学_新高考复习资料_2024年新高考资料_一轮复习资料_一轮复习讲义—素养拓展(精讲+精练)(新高考通用)
素养拓展36圆锥曲线与向量交汇问题(解析版)_02高考数学_新高考复习资料_2024年新高考资料_一轮复习资料_一轮复习讲义—素养拓展(精讲+精练)(新高考通用)
素养拓展36圆锥曲线与向量交汇问题(解析版)_02高考数学_新高考复习资料_2024年新高考资料_一轮复习资料_一轮复习讲义—素养拓展(精讲+精练)(新高考通用)
素养拓展36圆锥曲线与向量交汇问题(解析版)_02高考数学_新高考复习资料_2024年新高考资料_一轮复习资料_一轮复习讲义—素养拓展(精讲+精练)(新高考通用)
素养拓展36圆锥曲线与向量交汇问题(解析版)_02高考数学_新高考复习资料_2024年新高考资料_一轮复习资料_一轮复习讲义—素养拓展(精讲+精练)(新高考通用)
素养拓展36圆锥曲线与向量交汇问题(解析版)_02高考数学_新高考复习资料_2024年新高考资料_一轮复习资料_一轮复习讲义—素养拓展(精讲+精练)(新高考通用)
素养拓展36圆锥曲线与向量交汇问题(解析版)_02高考数学_新高考复习资料_2024年新高考资料_一轮复习资料_一轮复习讲义—素养拓展(精讲+精练)(新高考通用)
素养拓展36圆锥曲线与向量交汇问题(解析版)_02高考数学_新高考复习资料_2024年新高考资料_一轮复习资料_一轮复习讲义—素养拓展(精讲+精练)(新高考通用)
素养拓展36圆锥曲线与向量交汇问题(解析版)_02高考数学_新高考复习资料_2024年新高考资料_一轮复习资料_一轮复习讲义—素养拓展(精讲+精练)(新高考通用)
素养拓展36圆锥曲线与向量交汇问题(解析版)_02高考数学_新高考复习资料_2024年新高考资料_一轮复习资料_一轮复习讲义—素养拓展(精讲+精练)(新高考通用)
素养拓展36圆锥曲线与向量交汇问题(解析版)_02高考数学_新高考复习资料_2024年新高考资料_一轮复习资料_一轮复习讲义—素养拓展(精讲+精练)(新高考通用)
素养拓展36圆锥曲线与向量交汇问题(解析版)_02高考数学_新高考复习资料_2024年新高考资料_一轮复习资料_一轮复习讲义—素养拓展(精讲+精练)(新高考通用)
素养拓展36圆锥曲线与向量交汇问题(解析版)_02高考数学_新高考复习资料_2024年新高考资料_一轮复习资料_一轮复习讲义—素养拓展(精讲+精练)(新高考通用)
素养拓展36圆锥曲线与向量交汇问题(解析版)_02高考数学_新高考复习资料_2024年新高考资料_一轮复习资料_一轮复习讲义—素养拓展(精讲+精练)(新高考通用)
素养拓展36圆锥曲线与向量交汇问题(解析版)_02高考数学_新高考复习资料_2024年新高考资料_一轮复习资料_一轮复习讲义—素养拓展(精讲+精练)(新高考通用)
素养拓展36圆锥曲线与向量交汇问题(解析版)_02高考数学_新高考复习资料_2024年新高考资料_一轮复习资料_一轮复习讲义—素养拓展(精讲+精练)(新高考通用)
素养拓展36圆锥曲线与向量交汇问题(解析版)_02高考数学_新高考复习资料_2024年新高考资料_一轮复习资料_一轮复习讲义—素养拓展(精讲+精练)(新高考通用)
素养拓展36圆锥曲线与向量交汇问题(解析版)_02高考数学_新高考复习资料_2024年新高考资料_一轮复习资料_一轮复习讲义—素养拓展(精讲+精练)(新高考通用)
素养拓展36圆锥曲线与向量交汇问题(解析版)_02高考数学_新高考复习资料_2024年新高考资料_一轮复习资料_一轮复习讲义—素养拓展(精讲+精练)(新高考通用)
素养拓展36圆锥曲线与向量交汇问题(解析版)_02高考数学_新高考复习资料_2024年新高考资料_一轮复习资料_一轮复习讲义—素养拓展(精讲+精练)(新高考通用)
素养拓展36圆锥曲线与向量交汇问题(解析版)_02高考数学_新高考复习资料_2024年新高考资料_一轮复习资料_一轮复习讲义—素养拓展(精讲+精练)(新高考通用)
素养拓展36圆锥曲线与向量交汇问题(解析版)_02高考数学_新高考复习资料_2024年新高考资料_一轮复习资料_一轮复习讲义—素养拓展(精讲+精练)(新高考通用)
素养拓展36圆锥曲线与向量交汇问题(解析版)_02高考数学_新高考复习资料_2024年新高考资料_一轮复习资料_一轮复习讲义—素养拓展(精讲+精练)(新高考通用)
素养拓展36圆锥曲线与向量交汇问题(解析版)_02高考数学_新高考复习资料_2024年新高考资料_一轮复习资料_一轮复习讲义—素养拓展(精讲+精练)(新高考通用)
素养拓展36圆锥曲线与向量交汇问题(解析版)_02高考数学_新高考复习资料_2024年新高考资料_一轮复习资料_一轮复习讲义—素养拓展(精讲+精练)(新高考通用)
素养拓展36圆锥曲线与向量交汇问题(解析版)_02高考数学_新高考复习资料_2024年新高考资料_一轮复习资料_一轮复习讲义—素养拓展(精讲+精练)(新高考通用)
素养拓展36圆锥曲线与向量交汇问题(解析版)_02高考数学_新高考复习资料_2024年新高考资料_一轮复习资料_一轮复习讲义—素养拓展(精讲+精练)(新高考通用)
素养拓展36圆锥曲线与向量交汇问题(解析版)_02高考数学_新高考复习资料_2024年新高考资料_一轮复习资料_一轮复习讲义—素养拓展(精讲+精练)(新高考通用)
素养拓展36圆锥曲线与向量交汇问题(解析版)_02高考数学_新高考复习资料_2024年新高考资料_一轮复习资料_一轮复习讲义—素养拓展(精讲+精练)(新高考通用)
素养拓展36圆锥曲线与向量交汇问题(解析版)_02高考数学_新高考复习资料_2024年新高考资料_一轮复习资料_一轮复习讲义—素养拓展(精讲+精练)(新高考通用)
素养拓展36圆锥曲线与向量交汇问题(解析版)_02高考数学_新高考复习资料_2024年新高考资料_一轮复习资料_一轮复习讲义—素养拓展(精讲+精练)(新高考通用)
素养拓展36圆锥曲线与向量交汇问题(解析版)_02高考数学_新高考复习资料_2024年新高考资料_一轮复习资料_一轮复习讲义—素养拓展(精讲+精练)(新高考通用)
素养拓展36圆锥曲线与向量交汇问题(解析版)_02高考数学_新高考复习资料_2024年新高考资料_一轮复习资料_一轮复习讲义—素养拓展(精讲+精练)(新高考通用)
素养拓展36圆锥曲线与向量交汇问题(解析版)_02高考数学_新高考复习资料_2024年新高考资料_一轮复习资料_一轮复习讲义—素养拓展(精讲+精练)(新高考通用)
素养拓展36圆锥曲线与向量交汇问题(解析版)_02高考数学_新高考复习资料_2024年新高考资料_一轮复习资料_一轮复习讲义—素养拓展(精讲+精练)(新高考通用)
素养拓展36圆锥曲线与向量交汇问题(解析版)_02高考数学_新高考复习资料_2024年新高考资料_一轮复习资料_一轮复习讲义—素养拓展(精讲+精练)(新高考通用)
素养拓展36圆锥曲线与向量交汇问题(解析版)_02高考数学_新高考复习资料_2024年新高考资料_一轮复习资料_一轮复习讲义—素养拓展(精讲+精练)(新高考通用)
素养拓展36圆锥曲线与向量交汇问题(解析版)_02高考数学_新高考复习资料_2024年新高考资料_一轮复习资料_一轮复习讲义—素养拓展(精讲+精练)(新高考通用)
素养拓展36圆锥曲线与向量交汇问题(解析版)_02高考数学_新高考复习资料_2024年新高考资料_一轮复习资料_一轮复习讲义—素养拓展(精讲+精练)(新高考通用)
素养拓展36圆锥曲线与向量交汇问题(解析版)_02高考数学_新高考复习资料_2024年新高考资料_一轮复习资料_一轮复习讲义—素养拓展(精讲+精练)(新高考通用)
素养拓展36圆锥曲线与向量交汇问题(解析版)_02高考数学_新高考复习资料_2024年新高考资料_一轮复习资料_一轮复习讲义—素养拓展(精讲+精练)(新高考通用)

文档信息

文档格式
docx
文档大小
5.148 MB
文档页数
71 页
上传时间
2026-04-20 00:32:57

文档内容

【一轮复习讲义】2024年高考数学高频考点题型归纳与方法总结(新高考通用) 素养拓展 36 圆锥曲线与向量交汇问题(精讲+精 练) 一、知识点梳理 一、向量共线 运用向量的共线的相关知识,可以较容易地处理涉及三点共线、定比分点、直线等问题。在处理圆锥曲线 中求相关量的取值范围、求直线的方程、求待定字母的值、证明过定点等问题时,如能恰当的运用平面向 量共线的相关知识,常常能使问题较快捷的得到解决. 【一般策略】 通过适当的设点,将向量关系代数化,再根据圆锥曲线的定义以及一些性质、直线与圆锥曲线的位置关系 来解决问题. 二、向量的数量积 向量的数量积将一些几何知识与代数知识充分的联系在一起,它可以处理垂直、长度、三角形面积和三角 函数等问题。所以在解决圆锥曲线中的一些问题时,它通常可以运用在探索点、线的存在性、求参数的取 值范围和求圆锥曲线的方程等方面. 【一般策略】 在圆锥曲线问题中运用向量的数量积,往往题目中出现了向量的数量积或构造向量的数量积,通过向量的 数量积的表达式、意义和运算性质,从而达到将问题简化. 三、相应的知识储备 1.共线向量定理 如果 ,则 ;反之,如果 且 ,则一定存在唯一的实数 ,使 .(口诀: 数乘即得平行,平行必有数乘). 2.数量积的运算 (1)已知非零向量 , , 为向量 、 的夹角. 结论 几何表示 坐标表示 模 数量积 夹角 的充要 资料整理【淘宝店铺:向阳百分百】条件 的充要 条件 与 (当且仅当 的关系 时等号成立) (2)两个向量a,b的夹角为锐角⇔a·b>0且a,b不共线;两个向量a,b的夹角为钝角⇔a·b<0且a,b不 共线 二、题型精讲精练 【典例1】已知点 ,椭圆 的离心率为 , 是椭圆 的右焦点,直线 的斜率为 , 为坐标原点. (1)求 的方程; (2)设过点 的直线 与 相交于 , 两点,且 ,求 的面积及直线 的方程. 【解析】(1)设 ,因为直线 的斜率为 , ,所以 ,解得 . 又 ,解得 ,所以椭圆 的方程为 . (2)设 、 ,由题意可设直线 的方程为: , 联立 ,消去 得 , 当 ,所以 ,即 或 时, , , 由 ,得 ,代入上解得 ,即 , 资料整理【淘宝店铺:向阳百分百】又 点 到直线 的距离 ,所以 , 此时直线 的方程为: 或 . 【典例2】已知双曲线C的渐近线为 ,右焦点为 ,右顶点为A. (1)求双曲线C的标准方程; (2)若斜率为1的直线l与双曲线C交于M,N两点(与点A不重合),当 时,求直线l的方程. 【解析】(1)双曲线 的渐近线 化为 ,设双曲线 的方程为 , 即 ,又双曲线 的右焦点 ,则 ,解得 , 所以双曲线 的标准方程为 . (2)由(1)知, ,设直线 的方程为 ,显然 , 由 消去 整理得 ,显然 , , 而 ,则 , 化简得 ,即 ,而 ,解得 , 所以直线 的方程为 ,即 . 资料整理【淘宝店铺:向阳百分百】【题型训练-刷模拟】 1 . 向量共线 一、解答题 1.已知平面内动点 与定点 的距离和 到定直线 的距离的比是常数 . (1)求动点 的轨迹方程; (2)设动点 的轨迹为曲线 ,过定点 的直线 和曲线 交于不同两点 、 满足 ,求线 段 的长. 【答案】(1) (2) 【分析】(1)根据距离公式可得出关于 、 所满足的等式,化简可得点 的轨迹方程; (2)分析可知直线直线 不与 轴重合,设直线 的方程为 ,设点 、 ,由 可得出 ,将直线 的方程与椭圆 的方程联立,由 结合韦达定理可求得 的 值,然后利用弦长公式可求得 的值. 【详解】(1)解:因为面内动点 与定点 的距离和 到定直线 的距离的比是常数 , 则 ,整理可得 , 资料整理【淘宝店铺:向阳百分百】因此,点 的轨迹方程为 . (2)解:若直线 与 轴重合,则 、 为椭圆 长轴的顶点, 若点 、 ,则 , ,此时 ,不合乎题意, 若点 、 ,同理可得 ,不合乎题意, 所以,直线 不与 轴重合,设直线 的方程为 ,设点 、 , 联立 可得 , , 因为 ,即 ,所以, ,即 , 由韦达定理可得 ,所以, , ,解得 , 因此, . 2.已知椭圆C: 的离心率 ,点 , 为椭圆C的左、右焦点且经过点 的最短弦长为3. (1)求椭圆C的方程; 资料整理【淘宝店铺:向阳百分百】(2)过点 分别作两条互相垂直的直线 , ,且 与椭圆交于不同两点A,B, 与直线 交于点P,若 ,且点Q满足 ,求 的最小值. 【答案】(1) (2)5 【分析】(1)由通径性质、离心率和椭圆参数关系列方程求参数,即可得椭圆方程; (2)讨论直线斜率,设 , , , 为 ,注意 情况,联立椭圆方程 应用韦达定理求 , ,结合 、 坐标表示得到 ,进而有 求 ,再求 坐标,应用两点距离公式得到 关于 的表达式求最值,注意取值条件. 【详解】(1)由题意, ,解得 , ,所以椭圆的方程为 . (2)由(1)得 ,若直线 的斜率为0,则 为 与直线 无交点,不满足条件. 设直线 : ,若 ,则 则不满足 ,所以 . 设 , , , 资料整理【淘宝店铺:向阳百分百】由 得: , , . 因为 ,即 ,则 , , 所以 ,解得 ,则 ,即 , 直线 : ,联立 ,解得 , ∴ ,当且仅当 或 时等号成立 ∴ 的最小值为5. 3.经过点 且倾斜角为 的直线与抛物线 交于 , 两点,且 , , .求 和 . 【答案】 , 【分析】设 , , , ,写出直线 方程与抛物线方程联立方程组,消元应用韦达定理得 ,由向量共线的坐标表示得出 的关系,消去 ,代入韦达定理的结论求得 值,从而可 得 的(纵)坐标,由此求得 . 【详解】根据题意可得 直线方程为 ,即 , 联立 ,可得 , , △ , 设 , , , ,又 , , 资料整理【淘宝店铺:向阳百分百】, , , 又 , , , , , , ,又 , , , ,又 , , , . 故 , . 4.已知双曲线C: 的渐近线方程为 ,且过点 . (1)求双曲线C的方程; (2)若F是双曲线的右焦点,Q是双曲线上的一点,过点F,Q的直线l与y轴交于点M,且 , 求直线l的斜率. 【答案】(1) 资料整理【淘宝店铺:向阳百分百】(2) 【分析】(1)根据双曲线的渐近线方程为 和双曲线过点 ,联立求解; (2)由题意设直线方程为 ,令 ,得到M的坐标,设 ,根据 ,用k 表示点Q的坐标,再根据点Q在双曲线上,代入双曲线方程求解. 【详解】(1)解:因为双曲线C: 的渐近线方程为 , 所以 , 又因为双曲线C: 过点 , 所以 ,解得 , 所以双曲线的方程为 ; (2)由(1)知: ,则 , 由题意设直线方程为 ,令 ,得 ,则 , 设 ,则 , 因为 , 所以 ,则 , 解得 ,因为点Q在双曲线上, 所以 ,解得 , 资料整理【淘宝店铺:向阳百分百】所以直线l的斜率为 . 5.已知双曲线的中心在原点,离心率为2,一个焦点 (1)求双曲线方程; (2)设Q是双曲线上一点,且过点F、Q的直线l与y轴交于点M,若 ,求直线l的方程. 【答案】(1) (2) 或 【分析】(1)依题意设所求的双曲线方程为 ,则 ,再根据离心率求出 ,即可求出 ,从 而得到双曲线方程; (2)依题意可得直线 的斜率存在,设 ,即可得到 的坐标,依题意可得 或 ,分两种情况分别求出 的坐标,再根据 的双曲线上,代入曲线方程,即可求出 ,即可得 解; 【详解】(1)解:设所求的双曲线方程为 ( , ),则 , , ∴ ,又 则 ,∴所求的双曲线方程为 . (2)解:∵直线l与y轴相交于M且过焦点 , ∴l的斜率一定存在,则设 .令 得 , ∵ 且M、Q、F共线于l,∴ 或 当 时, , ,∴ , ∵Q在双曲线 上,∴ ,∴ , 资料整理【淘宝店铺:向阳百分百】当 时, ,代入双曲线可得: ,∴ . 综上所求直线l的方程为: 或 . 6.已知双曲线 的两条渐近线分别为 , . (1)求双曲线 的离心率; (2) 为坐标原点,过双曲线上一点 作直线 分别交直线 , 于 , 两点( , 分别在第一、 第四象限),且 ,求 的面积. 【答案】(1) (2) 【分析】(1)根据渐近线方程可得 ,再通过离心率公式求得离心率; (2)根据双曲线过点 可得双曲线方程,由已知可设点 , ,再由 , 可得 , ,进而可得 , 设直线 的倾斜角为 ,则 ,即可得 ,即可得 的面积. 【详解】(1)因为双曲线 的渐近线分别为 , , 所以 , , 所以双曲线 的离心率为 ; (2)由(1)得 , 资料整理【淘宝店铺:向阳百分百】则可设双曲线 , 因为 在双曲线上, 所以 ,则双曲线 的方程为 , 又点 , 分别在 与 上, 设 , , 因为 , 所以 , 则 , , 又 ,同理得 , 设 的倾斜角为 ,且 ,则 , 所以 . 【点睛】求双曲线的标准方程的基本方法是待定系数法.具体过程是先定形,再定量,即先确定双曲线标 准方程的形式,然后再根据a,b,c,e及渐近线之间的关系,求出a,b的值.如果已知双曲线的渐近线 方程,求双曲线的标准方程,可利用有公共渐近线的双曲线方程为 ,再由条件求出λ的 值即可. 7.已知圆 , ,动圆 与圆 , 均外切,记圆心 的轨迹为曲线 . (1)求曲线 的方程; (2)直线 过点 ,且与曲线 交于 两点,满足 ,求直线 的方程. 资料整理【淘宝店铺:向阳百分百】【答案】(1) (2) 【分析】(1)根据两圆的位置关系结合双曲线的定义分析求解; (2)不妨设 , , ,由 可得 ,结合韦达定理 运算求解. 【详解】(1)由题意可知:圆 的圆心 ,半径 ,圆 的圆心 ,半径 , 由条件可得 ,即 , 则根据双曲线的定义可知,点 是以 , 为焦点,以2为实轴长的双曲线的右支, 则 ,可得 , 所以曲线 的方程为 . (2)由(1)可知:双曲线的渐近线方程为 ,即 , 由于 且直线 的斜率不等于0, 不妨设 , , , 则 , , 由 可得 , 资料整理【淘宝店铺:向阳百分百】联立方程 ,消去x得 则 ,由韦达定理可得 , 由 ,解得 , 代入 可得 , 解得 ,即 , 因此直线 ,即 . 8.已知 , 分别为椭圆 的左、右焦点,与椭圆C有相同焦点的双曲线 在第一象限与椭圆C相交于点P,且 . (1)求椭圆C的方程; (2)设直线 与椭圆C相交于A,B两点,O为坐标原点,且 .若椭圆C上存在点 E,使得四边形OAED为平行四边形,求m的取值范围. 【答案】(1) 资料整理【淘宝店铺:向阳百分百】(2) 【分析】(1)结合双曲线方程可得 , ,结合双曲线和椭圆的定义即可得到 , 进而求解; (2)设 , ,则 ,结合平行四边形OAED,可得 ,联立 直线和椭圆方程,利用韦达定理可得 , .进而得到 ,从而求解. 【详解】(1)由题意,双曲线 的焦点为 , , 双曲线 与椭圆C有相同焦点且在第一象限交点为P, 又 , , . , . . 椭圆C的方程为 . (2)设 , ,则 . 四边形OAED为平行四边形, , . 点A,B,E均在椭圆C上, , , . , . . 资料整理【淘宝店铺:向阳百分百】由 消去y,得 . 显然 . , . . , 因为 ,所以 ,即 , 所以 ,即 . . 9.已知椭圆Γ: ,点 分别是椭圆Γ与 轴的交点(点 在点 的上方), 过点 且斜率为 的直线 交椭圆 于 两点. (1)若椭圆 焦点在 轴上,且其离心率是 ,求实数 的值; (2)若 ,求 的面积; (3)设直线 与直线 交于点 ,证明: 三点共线. 【答案】(1) (2) (3)证明见解析 【分析】(1)根据离心率的定义计算即可; 资料整理【淘宝店铺:向阳百分百】(2)联立直线和椭圆方程,根据弦长公式算出 ,用点到直线的距离公式算出三角形的高后即可; (3)联立直线和椭圆方程,先表示出 坐标,将共线问题转化成证明 ,结合韦达定理进行化简 计算. 【详解】(1)依题意, ,解得 (负数舍去). (2) 的直线经过 ,则直线方程为: ; ,则椭圆的方程为: . 设 联立直线和椭圆方程: ,消去 得到 , 解得 ,则 ,故 ,于是 . 依题意知, 为椭圆的下顶点,即 ,由点到直线的距离, 到 的距离为: . 故 (3)设 联立直线和椭圆方程: ,得到 ,由 ,得到直线 方程为: ,令 ,解得 ,即 ,又 , ,为说明 三点共线,只用证 ,即证: 资料整理【淘宝店铺:向阳百分百】,下用作差法说明它们相等: ,而 , , ,于是上 式变为: . 由韦达定理, ,于是 ,故 ,命题得 证. 10.已知抛物线 的焦点为 ,抛物线 的焦点为 ,且 . (1)求 的值; (2)若直线 与 交于 两点,与 交于 两点, 在第一象限, 在第四象限,且 ,求 的值. 【答案】(1) (2) 【分析】(1)根据抛物线焦点坐标公式,结合两点间距离公式进行求解即可; (2)将直线方程与抛物线方程联立,根据一元二次方程根与系数关系,结合平面向量共线性质进行求解 即可. 资料整理【淘宝店铺:向阳百分百】【详解】(1)由抛物线 的方程可知焦点 的坐标为 , 由抛物线 的方程可知焦点 的坐标为 , 因为 , 所以 ; (2)由(1)可知两个抛物线的方程分别为 , 设直线 , , 根据题意结合图形可知: ,且 , 联立 ,则 , 同理联立 ,则 , 由 , 所以 , 即 , 又因为 ,所以 , 由 , 联立 ,所以 , 故 . 资料整理【淘宝店铺:向阳百分百】【点睛】关键点睛:本题的关键是由 . 11.已知双曲线C: ,直线l在x轴上方与x轴平行,交双曲线C于A,B两点,直 线l交y轴于点D.当l经过C的焦点时,点A的坐标为 . (1)求C的方程; (2)设OD的中点为M,是否存在定直线l,使得经过M的直线与C交于P,Q,与线段AB交于点N, , 均成立;若存在,求出l的方程;若不存在,请说明理由. 【答案】(1) (2)存在, 【分析】(1)由点A的坐标求得 ,结合双曲线的定义求得 ,进一步计算得出双曲线的方程即可; (2)设直线PQ的方程为 ,与双曲线联立得出韦达定理,结合两个向量共线的坐标表示 求得 ,得到直线l的方程. 【详解】(1)由已知C: ,点A的坐标为 ,得 , 焦点 , , . 所以 , ,故C: . (2)设l的方程为 ,则 ,故 , 资料整理【淘宝店铺:向阳百分百】由已知直线PQ斜率存在,设直线PQ的方程为 ,故 . 与双曲线方程联立得: , 由已知得 , ,设 , , 则 , ① 由 , 得: , , 消去 得: , 即 ② 由①②得: ,由已知 , 故存在定直线l: 满足条件. 12.椭圆 的离心率为 ,过椭圆焦点并且垂直于长轴的弦长度为1. (1)求椭圆 的标准方程; (2)若直线 与椭圆 相交于 , 两点,与 轴相交于 点,若存在实数 ,使得 , 求 的取值范围. 【答案】(1) 资料整理【淘宝店铺:向阳百分百】(2) 【分析】(1)根据椭圆离心率公式,结合椭圆垂直于长轴的弦长公式进行求解即可; (2)根据直线 是否存在斜率,结合平面向量的坐标运算公式、一元二次方程根与系数关系分类讨论进行 求解即可. 【详解】(1)因为该椭圆的离心率为 ,所以有 , 在方程 中,令 ,解得 , 因为过椭圆焦点并且垂直于长轴的弦长度为1, 所以有 ,由 可得: , 所以椭圆的方程为 ; (2)当直线 不存在斜率时,由题意可知直线与椭圆有两个交点,与纵轴也有两个交点不符合题意; 当直线 存在斜率时,设为 ,所以直线 的方程设为 , 于是有 , 因为该直线与椭圆有两个交点,所以一定有 , 化简,得 , 设 ,于是有 , 因为 , 所以 , 代入 中,得 , 资料整理【淘宝店铺:向阳百分百】于是有 , 化简,得 ,代入 中,得 . 【点睛】关键点睛:本题的关键是由向量等式 得到 . 13.已知椭圆 的离心率为 ,点 , 为 的左、右焦点,经过 且垂直于椭圆 长轴的弦长为3. (1)求椭圆 的方程; (2)过点 分别作两条互相垂直的直线 , ,且 与椭圆交于A,B两点, 与直线 交于点 ,若 资料整理【淘宝店铺:向阳百分百】,且点 满足 ,求线段 的最小值. 【答案】(1) (2)5 【分析】(1)由通径性质、离心率和椭圆参数关系列方程求参数,即可得椭圆方程; (2)讨论直线斜率,设 , , , 为 ,注意 情况,联立椭圆方程 应用韦达定理求 , ,结合 、 坐标表示得到 ,进而有 求 ,再求 坐标,应用两点距离公式得到 关于 的表达式求最值,注意取值条件. 【详解】(1)对于方程 ,令 ,则 ,解得 , 由题意可得 ,解得 , , 所以椭圆的方程为 . (2)由(1)得 ,若直线 的斜率为0,则 为 与直线 无交点,不满足条件. 设直线 : ,若 ,则 ,则不满足 ,所以 . 设 , , , 由 得: , , 所以 , . 资料整理【淘宝店铺:向阳百分百】因为 ,即 ,则 , , 所以 ,解得 ,则 ,即 , 直线 : ,联立 ,解得 ,即 , ∴ , 当且仅当 或 时,等号成立, ∴ 的最小值为 . 14.如图,正六边形 的边长为2.已知双曲线 的焦点为A,D,两条渐近线分别为直线 . (1)建立适当的平面直角坐标系,求 的方程; (2)过A的直线l与 交于M,N两点, ,若点P满足 ,证明:P在一条定直 线上. 【答案】(1) (2)证明见解析 资料整理【淘宝店铺:向阳百分百】【分析】(1)根据题意建立平面直角坐标系,从而得到 与 ,结合 即可求得 , ,从而得解; (2)先考虑直线 为 轴的情况,求得此时 ,再考虑直线 不为 轴的情况,联立直线 与双曲线 的方程得到 ,再结合 求得 ,从而得到 ,由此得证. 【详解】(1)依题意,以直线 为 轴,线段 的中垂线为 轴,建立平面直角坐标系,如图, 因为在正六边形 中, 为正三角形, , , 设双曲线 的方程为 , 由已知得 的渐近线方程为 ,所以 , 又焦距 ,所以 , 又由 ,则 ,从而 , 所以双曲线 的方程为 . (2)依题意,设 , 当直线 为 轴时,不失一般性,则 , 资料整理【淘宝店铺:向阳百分百】又由(1)知 ,故 , 所以 ,从而 , 则 ,即 ,解得 ; 当直线 不为 轴时,设 的方程为 ,由 可知 , 联立 ,消去 ,得 , 则 , , 因为 ,所以 , 消去 ,得 , 所以 , 从而 , 又 也在直线 上, 所以点 在定直线 上. 15.已知抛物线 的焦点 也是椭圆 的一个焦点, 与 的公共弦长为 . (1)求椭圆 的方程; (2)过点 作斜率为 的直线 与 交于 两点,与 交于 两点,且 与 同向. (i)当直线 绕点 旋转时,判断 的形状; 资料整理【淘宝店铺:向阳百分百】(ii)若 ,求直线 的斜率. 【答案】(1) (2)(i) 为钝角三角形. (ii) 【分析】(1)通过 方程可知 ,通过 与 的公共弦的长为 且 与 的图象都关于 轴 对称可得 计算即得; (2)设直线方程为 ,分别联立直线与抛物线、直线与椭圆方程,利用韦达定理计算可得 继而判断三角形形状,再利用 结合韦达定理计算即可可以求参. 【详解】(1) 的焦点为 ,所以 ,① 又 与 的公共弦长为 ,且 与 都关于 轴对称,所以公共点的横坐标为 , 代入 可得纵坐标为 , 所以公共点的坐标为 , 代入 中可得 ,② 联立①②得 ,故 的方程为 . (2) 设 , 资料整理【淘宝店铺:向阳百分百】(i)设直线 的方程为 , 联立 得 , 则 , , 所以 为钝角三角形. (ii)因为 与 同向,且 ,所以 , 从而 ,即 , 所以 , 联立 得 , 则 , 所以 ,即 , 所以直线 的斜率为 . 16.已知椭圆 ,连接E的四个顶点所得四边形的面积为4, 是E上一点. (1)求椭圆E的方程; (2)设斜率为 的直线 与椭圆E交于A,B两点,D为线段 的中点,O为坐标原点,若E上存在点C, 使得 ,求三角形 的面积. 【答案】(1) 资料整理【淘宝店铺:向阳百分百】(2) 【分析】(1)由面积和 的坐标建立方程组待定 即可; (2)设出直线方程,联立直线与椭圆方程,由 D为线段 的中点,利用韦达定理得到 ,即 的坐标,又 ,则 点坐标也可用 表示,根据点 在椭圆上,化简得到 的关系, 由点线距及弦长公式求解 面积,再由比例关系即可得到三角形 的面积. 【详解】(1)由题意知连接E的四个顶点所得四边形的面积为 , 又点 在E上,得 , 解得 , , 故椭圆E的方程为 . (2)设直线 的方程为 , 由 ,消去 得 , 又 , 得 ,设 , , ,则 , . 由 ,可得 为三角形 的重心, 所以 ,且 , 资料整理【淘宝店铺:向阳百分百】, , 故由 在椭圆E上,得 ,得 , , 又原点 到直线 的距离为 , 所以 ,故 . 17.已知双曲线 的离心率为 ,经过坐标原点O的直线l与双曲线Q交于A,B两点,点 位于第一象限, 是双曲线Q右支上一点, ,设 (1)求双曲线Q的标准方程; (2)求证:C,D,B三点共线; (3)若 面积为 ,求直线l的方程. 【答案】(1) (2)证明见解析 资料整理【淘宝店铺:向阳百分百】(3) 【分析】(1)根据离心率即可求解 , (2)利用坐标运算,结合点差法以及向量共线的坐标表示即可求解, (3)根据三角形面积公式,利用联立方程,韦达定理,代入化简即可得到关于 的方程, 【详解】(1)由双曲线 的离心率为 ,所以 ,解得 , 所以双曲线Q的标准方程为 (2)由 得 ,又 ,所以 , , 由 得 ①, 由于 , 在双曲线上,所以 , 相减得 ② 由①②得 ③, 由于 ,所以 , 将③代入得 , 所以 ,因此C,D,B三点共线 资料整理【淘宝店铺:向阳百分百】(3)设直线 的方程为 , 联立直线 与双曲线的方程为: , 故 , 所以 , 直线 的方程为 , 联立 , 所以 由于 轴, ,所以 , 所以 , 由于 , 代入得 ,令 , 则 ,化简得 ,由于 , 资料整理【淘宝店铺:向阳百分百】所以 , 因此 ,解得 或 由于 ,所以 , 故直线 方程为 18.过坐标原点 作圆 的两条切线,设切点为 ,直线 恰为抛物线 的准线. (1)求抛物线 的标准方程; (2)设点 是圆 的动点,抛物线 上四点 满足: , ,设 中点为 . (i)证明: 垂直于 轴; (ii)设 面积为 ,求 的最大值. 【答案】(1) (2)(i)证明见解析;(ii) 【分析】(1)设直线 与 轴交于 ,由三角形相似关系可得 ,由此可构造方程求得 的值,从而得到抛物线方程; (2)(i)根据共线向量可知 为 中点,结合点在抛物线上可确定 为方程 的两根,由此可得韦达定理的结论;根据 点纵坐标可知 斜率为零,由此可得 结论; 资料整理【淘宝店铺:向阳百分百】(ii)由 ,代入韦达定理,结合点 在圆 上,可化简得到 ,根 据二次函数最值的求法可求得结果. 【详解】(1) 设直线 与 轴交于 ,则 , 由圆的方程知:圆心 ,半径 , 为圆 的切线, ,又 , ∽ , ,即 ,解得: , 抛物线 的标准方程为: . (2)设 , , , (i)由 知: 为 中点,且在抛物线 上,即 , 又 , ,整理可得: ; 由 知: 为 中点,且在抛物线 上, 同理可得: ; 是方程 的两根, , , 资料整理【淘宝店铺:向阳百分百】点的纵坐标为 , 直线 的斜率为 ,即 垂直于 轴. (ii) , , , 在圆 上, , , 则当 时, , . 2 . 向量的数量积 一、解答题 1.已知抛物线 : ,斜率为 的直线 过定点 ,直线 交抛物线 于 两点,且 位 于 轴两侧, ( 为坐标原点),求 的值. 【答案】 【分析】设出直线 的方程,与抛物线方程联立,由根与系数的关系及数量积公式建立关于 的方程,即 可求得答案. 【详解】由已知,设直线 的方程为 , 联立直线与抛物线方程可得 ,消 得, . 方程 的判别式 资料整理【淘宝店铺:向阳百分百】, 设 , 则 , , , 由已知 ,故 , 由 ,得 , 故 ,解得 或 (舍去) 所以 . 【点睛】关键点点睛:(1)解答直线与抛物线的题目时,时常把两个曲线的方程联立,消去x(或y)建立 一元二次方程,然后借助根与系数的关系,并结合题设条件建立有关参变量的等量关系. (2)涉及到直线方程的设法时,务必考虑全面,不要忽略直线斜率为0或不存在等特殊情形. 2.在平面直角坐标系中, 为坐标原点.已知抛物线 上任意一点 到焦点的距离比 它到 轴的距离大1. (1)求抛物线 的方程; (2)若过点 的直线 与曲线 相交于不同的 两点,求 的值; 【答案】(1) ; (2) . 【分析】(1)利用抛物线的定义求出p值即得. 资料整理【淘宝店铺:向阳百分百】(2)设出直线 的方程,与抛物线方程联立,利用韦达定理及数量积的坐标表示计算即得. 【详解】(1)依题意, 到抛物线 焦点的距离为 ,则 ,解得 , 所以抛物线 的方程为 . (2)显然直线 不垂直于y轴,设直线 的方程为 , 由 消去x得: ,显然 ,设 , 则 , , 所以 . 3.已知椭圆 的离心率为 ,短轴的一个顶点到椭圆C的一个焦点的距离为2. (1)求椭圆C的标准方程; (2)设直线 交椭圆 于 , 两点,O为坐标原点,若 ,求 直线 的方程. 【答案】(1) (2) 或 . 【分析】(1)由椭圆的性质得出椭圆C的标准方程; (2)联立直线和椭圆方程,由韦达定理结合 得出直线 的方程. 资料整理【淘宝店铺:向阳百分百】【详解】(1)∵短轴的一个顶点到椭圆C的一个焦点的距离为2,∴ , 又椭圆C的离心率为 ,∴ ,故 , ∴ , ∴椭圆C的标准方程为 . (2)联立 ,整理得 , ∴ , , 故 , ∵ ,∴ , 解得 ,满足 , ∴直线 的方程为 或 . 4.已知椭圆 : 的离心率为 ,点 , , 分别是椭圆 的左、右、上顶点, 是 的左焦点,坐标原点 到直线 的距离为 . (1)求 的方程; (2)过 的直线 交椭圆 于 , 两点,求 的取值范围. 资料整理【淘宝店铺:向阳百分百】【答案】(1) (2) 【分析】(1)由离心率、等面积法及椭圆参数关系列方程求椭圆参数,即可得方程; (2)讨论直线 的斜率,设 的方程并联立椭圆方程,应用韦达定理及向量数量积的坐标表示得到 关于所设参数的关系式,进而求范围. 【详解】(1)设椭圆 的半焦距为 , 根据题意 解得 故 的方程为 . (2)由(1)知: . 当直线 的斜率为0时,点 为椭圆的左、右顶点, 不妨取 ,此时 ,则 . 当直线 的斜率不为0或 与 轴垂直时,设其方程为 , 代入椭圆 并消去 得 , 设 ,则 . 而 , 所以 . 资料整理【淘宝店铺:向阳百分百】因为 ,所以 , 所以 . 综上, 的取值范围为 . 5.已知椭圆 的右顶点为 ,上顶点为 ,左、右焦点分别为 为原点, 且 ,过点 作斜率为 的直线 与椭圆 交于另一点 ,交 轴于点 . (1)求椭圆 的方程; (2)设 为 的中点,在 轴上是否存在定点 ,对于任意的 都有 ?若存在,求出 定点 的坐标;若不存在,请说明理由. 【答案】(1) (2)存在定点 满足题意. 【分析】(1) ,结合 ,即可求解; (2)设直线 的方程为: ,联立直线与椭圆方程,结合韦达定理,求得 ,设在x轴上存在定点 ,对于任意的 都有 ,由 求 解. 资料整理【淘宝店铺:向阳百分百】【详解】(1)由题意得 , 又 , . 椭圆 的方程为 . (2)设直线 的方程为: , 令 得 ,即 , 联立 ,得 , 所以 , 则 , , 若在x轴上存在定点 ,对于任意的 都有 , 则 ,即 , 解得 , 所以存在定点 . 6.已知椭圆 的上、下顶点分别为 ,已知点 在直线 : 上,且椭圆的离心 率 . (1)求椭圆的标准方程; (2)设 是椭圆上异于 的任意一点, 轴, 为垂足, 为线段 的中点,直线 交直线 于 资料整理【淘宝店铺:向阳百分百】点 , 为线段 的中点,求 的值. 【答案】(1) (2)0 【分析】(1)根据上下顶点的定义,结合离心率的定义,建立方程,可得答案; (2)设 , ,则点 满足椭圆方程,根据题意,易得 、 ,计算 即可 【详解】(1) 且点 在直线 : 上, , 又 , , , 椭圆的标准方程为 . (2) 设 , ,则 ,且 , 为线段 的中点, , , 直线 的方程为: , 资料整理【淘宝店铺:向阳百分百】令 ,得 , , 为线段 的中点, , , , 7.已知双曲线 ,直线 过双曲线 的右焦点 且交右支于 两点,点 为线段 的中点, 点 在 轴上, . (1)求双曲线 的渐近线方程; (2)若 ,求直线 的方程. 【答案】(1) (2) 或 或 【分析】(1)根据等轴双曲线方程即可求解渐近线方程, (2)联立直线与双曲线方程得韦达定理,即可根据向量数量积的几何意义将其转化为 , 由坐标运算即可求解. 【详解】(1)由题知, ,所以双曲线 的渐近线方程为 . (2)双曲线 的右焦点坐标为 , 由题知,直线AB的斜率不为0,设直线 方程为 ,代入双曲线 中, 资料整理【淘宝店铺:向阳百分百】化简可得: , 设 ,则 . 则 ∴线段 中点 的坐标为 , 直线 方程为 . (i)当 时, 点恰好为焦点 ,此时存在点 或 ,使得 . 此时直线 方程为 . (ii)当 时,令 可得 ,可得点 的坐标为 , 由于 所以 , 由 ,即 ,也即: . 化简可得 ,解出 , 由于直线 要交双曲线右支于两点,所以 ,即 ,故舍去 . 可得直线 的方程为 . 综上:直线 方程为 或 或 . 8.已知双曲线 : 经过点 ,其中一条渐近线为 . 资料整理【淘宝店铺:向阳百分百】(1)求双曲线 的方程; (2)一条过双曲线 的右焦点 且纵截距为 的直线 ,交双曲线 于 , 两点,求 的值. 【答案】(1) (2) 【分析】(1)利用双曲线的渐近线方程和点的坐标列式求解即可; (2)根据双曲线方程求出焦点进而得到直线方程,与双曲线方程联立得到韦达定理的形式,根据 代入韦达定理即可求解. 【详解】(1)因为双曲线 的渐近线方程为 ,所以 ①, 又因为点 在双曲线上,所以 ②, ①②联立解得 , , 所以双曲线 的方程为 . (2)由(1)可知双曲线 中 , 所以右焦点 坐标为 ,即直线 的横截距为 , 又因为直线 的纵截距为 ,所以直线 的方程为 ,即 , 联立 得 , 设 , ,则 , , 资料整理【淘宝店铺:向阳百分百】所以 . 【点睛】本题考查直线与双曲线综合应用问题,涉及双曲线方程的求解、平面向量数量积的求解问题,求 解数量积的关键是能够将所求量转化为符合韦达定理的形式,通过直线与双曲线联立得到韦达定理的结论, 代入可整理出结果. 9.已知双曲线的中心在原点,焦点 , 在坐标轴上,离心率为 ,且过点 . (1)求双曲线方程; (2)若点 在双曲线上,求证: ; (3)在(2)的条件下,求 的面积. 【答案】(1) (2)证明见解析 (3)6 【分析】(1)首先根据离心率设出双曲线方程,再代入点的坐标,即可求解; (2)首先将点代入双曲线方程求 ,再根据斜率公式或是数量积公式,证明垂直; (3)根据(1)(2)的结果,代入面积公式,即可求解. 【详解】(1)因为 , 所以可设双曲线方程为 . 因为过点 ,所以 ,即 . 所以双曲线方程为 ,即 (2)由(1)可知,双曲线中 ,所以 ,不妨设 , 分别为双曲线的左右焦点, 则 , . 方法一: , , 资料整理【淘宝店铺:向阳百分百】因为点 在双曲线上, 所以 , , 所以 , 所以 ,所以 . 方法二:因为 , , 所以 . 因为 点在双曲线上, 所以 ,即 , 所以 . (3) 的底边长 , 的高 , 所以 . 10.已知双曲线C的渐近线为 ,右焦点为 ,右顶点为A. (1)求双曲线C的标准方程; (2)若斜率为1的直线l与双曲线C交于M,N两点(与点A不重合),当 时,求直线l的方程. 【答案】(1) ; 资料整理【淘宝店铺:向阳百分百】(2) . 【分析】(1)利用给定的渐近线方程设出双曲线方程,再利用待定系数法求解作答. (2)设出直线l的方程,与双曲线方程联立,利用韦达定理结合垂直关系的坐标表示,求解作答. 【详解】(1)双曲线 的渐近线 化为 ,设双曲线 的方程为 , 即 ,又双曲线 的右焦点 ,则 ,解得 , 所以双曲线 的标准方程为 . (2)由(1)知, ,设直线 的方程为 ,显然 , 由 消去 整理得 ,显然 , , 而 ,则 , 化简得 ,即 ,而 ,解得 , 所以直线 的方程为 ,即 . 【点睛】思路点睛:如果已知双曲线的渐近线方程,求双曲线的标准方程,可利用有公共渐近线的双曲线 方程为 ,再由条件求出λ的值即可. 资料整理【淘宝店铺:向阳百分百】11.已知双曲线 : ( , )的左顶点为 , 到 的一条渐近线的距离为 . (1)求 的方程; (2)过点 的直线 与 交于 , 两点,求 的值. 【答案】(1) (2)0 【分析】(1)由题意知 ,取双曲线的一条渐近线,再根据点到直线的距离公式即可得到 与 关系式, 从而求得 ,进而可求得 的方程; (2)当直线 的斜率不存在时,直线 的方程为 ,则可得到 , 的坐标,进而可直接求解 的值;当直线 的斜率存在时,设直线 的方程为 , , ,联立直线 的方程和 的方程可得到关于 的一元二次方程,从而可得到 , ,代入即可求解 的值,综上,即 可得到 的值. 【详解】(1)由题意知 , 的一条渐近线方程为 ,即 , 所以 到 的一条渐近线的距离为 ,所以 , 又 ,解得 ,所以 的方程为 . (2)当直线 的斜率不存在时,直线 的方程为 ,易得 , 或 , , 所以 ; 当直线 的斜率存在时,设直线 的方程为 , , , 资料整理【淘宝店铺:向阳百分百】联立 ,得 , 所以 ,解得 , 所以 , , 所以 . 综上, . 12.已知双曲线 的一条渐近线是 ,右顶点是 (1)求双曲线的方程 (2)若直线 : 与双曲线 有两个交点 、 ,且 是原点 ,求 的取值范围 【答案】(1) (2) 【分析】(1)利用双曲线的顶点坐标以及渐近线方程即可求得双曲线方程; (2)设点 , ,由 可知 ,再将直线方程与双曲线方程联立,利 用韦达定理即可得到关于 的不等式,并结合判别式大于零,即可求出 的范围. 【详解】(1)由双曲线的右顶点为 ,则 , 渐近线 即 ,则 , 故双曲线方程为 . (2)将双曲线方程和直线方程联立 得 , 资料整理【淘宝店铺:向阳百分百】则 ,即 ,解得 且 , 设 , 则 , , , 因为 ,所以 ,即 , 解得 或 , 又 ,综合可得, 的取值范围是 . 13.已知O为坐标原点, 位于抛物线C: 上,且到抛物线的准线的距离为2. (1)求抛物线C的方程; (2)已知点 ,过抛物线焦点的直线l交C于M,N两点,求 的最小值以及此时直线l的方程. 【答案】(1) (2)13; . 【分析】(1)根据抛物线的定义计算即可; (2)根据韦达定理及二次函数最值计算即可. 【详解】(1)根据题意可得 , 又 ,解方程组得 , , 故所求抛物线C方程 , 资料整理【淘宝店铺:向阳百分百】(2) 设点 , ,抛物线 的焦点坐标为 . 当直线l的斜率等于0时,不存在两个交点,不符合题意; 当直线l的斜率不等于0时,不妨设过抛物线焦点的直线l的方程为: ; 联立抛物线方程可得 ,消去x得: , ,得 , 由韦达定理得 , , 易知 , 故 . 所以当 时, 取得最小值为13. 此时直线l的方程为 . 14.已知椭圆 的方程为 ,双曲线 的左、右焦点分别是 的左、右顶点,而 的左、右顶 点分别是 的左、右焦点. (1)求双曲线 的方程; 资料整理【淘宝店铺:向阳百分百】(2)若直线 与双曲线 有两个不同的交点 和 ,且 (其中 为原点),求 的范 围; (3)对于(2)中的点 和 ,在 轴上是否存在点 使 为等边三角形,若存在请求出 的值; 不存在则说明理由. 【答案】(1) (2) (3)存在, 【分析】(1)设双曲线的方程,用待定系数法求出 , 的值; (2)将直线方程与双曲线的方程联立,消元得到一个关于 的一元二次方程,求解判别式,利用韦达定理 和已知条件求出参数的取值范围即可; (3)分 和 两种情况讨论,结合(2)的结论和弦长公式求出 ,利用点到直线的距离公式和 题干条件即可求解. 【详解】(1)设双曲线 的方程为 ,则 ,再由 得 , 故 的方程为 . (2)将 代入 得 由直线 与双曲线 交于不同的两点得: , 且 ① , ,则 , , 又 ,得 , , 资料整理【淘宝店铺:向阳百分百】即 ,解得: ②,故 的取值范围为 . (3)当 时, 点坐标为 ,即 , 此时 ,点 到 的距离 ,显然不合题意; 当 时,线段 的中垂线方程为 , 令 ,得 ,由①知, 且 , 由(2)知: 点 到 的距离 ,且 , 即 , ,满足范围, 故 . 15.如图,已知抛物线 ,过点 且斜率为 的直线 交抛物线于 , 两点,抛物线上的点 ,设直线 , 的斜率分别为 , . (1)求 的取值范围; (2)过点 作直线 的垂线,垂足为 .求 的最大值. 资料整理【淘宝店铺:向阳百分百】【答案】(1) (2) 【分析】(1)以点 横坐标为自变量, 用坐标表示,转化为函数值域求解即可; (2)利用数量积的几何意义将 转化为 ,再向量坐标化,转化为函数最值求解即可. 【详解】(1)直线 的方程为 ,代入抛物线 得: ,解得 或 ,所以 , 因为 , 所以 , , 则有 , 又 ,则有 ,故 的取值范围是 . (2)由(1)知 , , 所以 , , , 令 , , 则 , 由于当 时, ,当 时, , 故 ,即 的最大值为 . 资料整理【淘宝店铺:向阳百分百】16.在平面直角坐标系 中,椭圆 的左、右焦点分别为 、 ,椭圆与 轴正 半轴的交点为点 ,且 为等腰直角三角形. (1)求椭圆 的离心率; (2)已知斜率为 的直线 与椭圆 相切于点 ,点 在第二象限,过椭圆的右焦点 作直线 的垂线,垂足 为点 ,若 ,求椭圆 的方程. 【答案】(1) (2) 【分析】(1)根据等腰直角三角形的几何性质可得出 ,根据 、 、 的关系可求得椭圆 的离心率 的值; (2)由题意,设直线 的方程为 ,设切点 ,将直线 的方程与椭圆 的方程联立, 由 可得出 、 的等量关系,求出点 的坐标,写出直线 的方程,求出点 的坐标,根据 求出 的值,即可得出椭圆 的方程. 【详解】(1)解:设椭圆 的半焦距为 ,由已知得点 , 因为 为等腰直角三角形,且 为 的中点,所以 ,即 , 所以 ,有 . (2)解:由(1)知 ,设椭圆 方程为 , 因为切点 在第二象限,且直线 的斜率为 , 设直线 的方程为 ,设点 , 资料整理【淘宝店铺:向阳百分百】因为直线 与椭圆 相切,联立 可得 , 由 ,可得 ,即 , 所以, , ,所以 , 因为直线 与直线 垂直,所以直线 的斜率为 , 则直线 的方程为 , 联立 ,可得 ,即点 , 又因为 、 , 有 , , . 所以 ,所以椭圆 的方程为 . 17.已知圆心为H的圆 和定点 ,B是圆上任意一点,线段AB的中垂线l和直线 BH相交于点M,当点B在圆上运动时,点M的轨迹记为曲线C. 资料整理【淘宝店铺:向阳百分百】(1)求C的方程. (2)如图所示,过点A作两条相互垂直的直线分别与曲线C相交于P,Q和E,F,求 的取值范围 【答案】(1) (2) 【分析】(1)由l是线段AB的中垂线得 ,根据椭圆定义可得答案; (2)由直线EF与直线PQ垂直可得 ,①当直线PQ的斜率不存在时,直线EF 的斜率为零,可取 , , , ,可得 ;②当直线PQ的斜率为零时, 直线EF的斜率不存在,同理可得 ;③当直线PQ的斜率存在且不为零时,直线EF的斜率也存在, 于是可设直线PQ的方程为 ,设直线EF的方程为 ,将直线PQ的方程代入曲线C 的方程,令 ,利用韦达定理代入 ,根据 的范围可得答案. 【详解】(1)由 ,得 ,所以圆心为 ,半径为4, 连接MA,由l是线段AB的中垂线,得 , 所以 ,又 , 根据椭圆的定义可知,点M的轨迹是以A,H为焦点,4为长轴长的椭圆, 资料整理【淘宝店铺:向阳百分百】所以 , , ,所求曲线C的方程为 ; (2)由直线EF与直线PQ垂直,可得 , 于是 , ①当直线PQ的斜率不存在时,直线EF的斜率为零, 此时可不妨取 , , , , 所以 , ②当直线PQ的斜率为零时,直线EF的斜率不存在,同理可得 , ③当直线PQ的斜率存在且不为零时,直线EF的斜率也存在,于是可设直线PQ的方程为 , , , , , 则直线EF的方程为 , 将直线PQ的方程代入曲线C的方程,并整理得, , 所以 , , 于是 , 将上面的k换成 ,可得 , 所以 , 令 ,则 ,于是上式化简整理可得, 资料整理【淘宝店铺:向阳百分百】, 由 ,得 ,所以 , 综合①②③可知, 的取值范围为 . 18.已知对称轴都在坐标轴上的椭圆C过点 与点 ,过点 的直线l与椭圆C交于P, Q两点,直线 , 分别交直线 于E,F两点. (1)求椭圆C的标准方程; (2) 是否存在最小值?若存在,求出最小值;若不存在,请说明理由. 【答案】(1) (2)见解析 【分析】(1)设椭圆C的方程为 ,由 两点得出椭圆C的标准方程; (2)联立直线l与椭圆方程,由直线 的方程得出 坐标,再由韦达定理以及数量积公式,得出 的范围,进而得出 的最值. 【详解】(1)设椭圆C的方程为 且 , 资料整理【淘宝店铺:向阳百分百】因为椭圆C过点 与点 ,所以 ,解得 . 所以椭圆C的标准方程为 . (2)设直线 , 由 ,得 , 即 ,则 . 直线 的方程分别为 . 令 ,则 . 则 , , 所以 . 资料整理【淘宝店铺:向阳百分百】因为 ,所以 . 即 的取值范围为 . 所以 存在最小值,且最小值为 . 【点睛】关键点睛:解决问题(2)时,关键在于利用韦达定理将双变量 变为单变量问题,从而由 的范围,得出 的取值范围. 19.已知椭圆C: 的短轴长为2,离心率为 .点 ,直线 : . (1)证明:直线 与椭圆 相交于两点,且每一点与 的连线都是椭圆的切线; (2)若过点 的直线与椭圆交于 两点,与直线 交于点 ,求证: . 【答案】(1)证明见解析 (2)证明见解析 【分析】(1)由已知求得椭圆方程,联立直线 与椭圆方程,即可证得线 与椭圆 相交于两 点,设交点 ,得直线 的方程为 ,代入椭圆方程,整理成关于 的一 元二次方程,即可证明 的连线都是椭圆的切线; (2)根据 四点共线,要证 即证 ,设 , 不妨设 ,则证明转化为 ,设直线 的方程为 , 联立直线与直线,直线与椭圆,利用坐标关系即可证明结论. 【详解】(1)由题意可知 ,因此 ,则椭圆方程为: 资料整理【淘宝店铺:向阳百分百】因为由 消去 可得 , , 则该方程有两个不相等的实根,所以直线 与椭圆 相交于两点; 设 为直线 与椭圆 的交点,则 , , 直线 的方程为 ,即 ,代入椭圆方程得 , 所以 , 整理得 , 即 ,所以 , 故 是椭圆的切线. (2)因为 四点共线,由(1)可知 在线段 外, 在线段 内,所以 与 的方向相同, 与 的方向相同, 要证 ,只需要 ,即证 , 设 ,不妨设 , 因为 四点共线,所以 等价于 ,即 , 显然 , 设直线 的方程为 ,即 , 资料整理【淘宝店铺:向阳百分百】由 ,可得 ; 由 可得 , 从而可知 , 因此 , 所以结论成立. 20.已知双曲线 的右焦点为 ,渐近线方程为 . (1)求双曲线 的方程; (2)过 的直线 与 交于 两点,过 的左顶点 作 的垂线,垂足为 ,求证: . 【答案】(1) (2)证明见解析 【分析】(1)根据已知条件求得 ,从而求得双曲线的方程. (2)设出直线 的方程并与双曲线方程联立,化简写出根与系数关系,由 得到直线 与直 线 垂直,利用相似三角形证得结论成立. 【详解】(1) 的右焦点为 , 资料整理【淘宝店铺:向阳百分百】渐近线方程为 , , , 的方程为: ; (2)设 方程为 , 联立 得: , , , 设 ,则 , , , , , 直线 与直线 垂直, 在 中 , , , 即 . 资料整理【淘宝店铺:向阳百分百】21.在平面直角坐标系 中,双曲线 的左、右焦点分别为 的离心率为2, 直线 过 与 交于 两点,当 时, 的面积为3. (1)求双曲线 的方程; (2)已知 都在 的右支上,设 的斜率为 . ①求实数 的取值范围; ②是否存在实数 ,使得 为锐角?若存在,请求出 的取值范围;若不存在,请说明理由. 【答案】(1) (2)① ②不存在,理由见解析 【分析】(1)由已知条件可得 ,然后利用勾股定理结合双曲线的定义,及 的面积可 求出 ,再由离心率可求出 ,从而可求得双曲线的方程, (2)①设直线 ,代入双曲线方程化简,利用根与系数的关系结合判别式可求出实数 的 取值范围;②假设存在实数 ,使 为锐角,则 ,所以 ,再结合前面的式 子化简计算即可得结论. 【详解】(1)因为 ,所以 . 则 ,所以 , 资料整理【淘宝店铺:向阳百分百】的面积 . 又 的离心率为 ,所以 . 所以双曲线 的方程为 . (2)①根据题意 ,则直线 , 由 ,得 , 由 ,得 恒成立. 设 ,则 , 因为直线 与双曲线 的右支相交于 不同的两点, 所以 ,即 , 所以 ,解得 . ②假设存在实数 ,使 为锐角,所以 ,即 , 因为 , 所以 , 由①得 , 即 解得 , 与 矛盾,故不存在. 资料整理【淘宝店铺:向阳百分百】22.已知离心率为 的双曲线 ,直线 与C的右支交于 两点, 直线l与C的两条渐近线分别交于 两点,且从上至下依次为 , . (1)求双曲线C的方程; (2)求 的面积. 【答案】(1) (2) 【分析】(1) ,根据双曲线离心率表示出 的关系,可得双曲线 渐近线方程,记 ,进而可求得 的坐标表达式,联立 可得根与系数关系式,从 而推出 与 的中点均为同一个点P,结合 ,推出 是线段 的两个四等分点,即 可求得 ,从而 ,即可求得 ,可得答案; (2)利用(1)的结论,可求得 ,利用三角形面积公式结合数量积的运算,将 面 积化为 ,结合向量的坐标运算,即可求得答案. 【详解】(1)设 ,设 的中点为 , 资料整理【淘宝店铺:向阳百分百】记 ,则直线 即 , 因为双曲线的离心率为 ,所以 ,故 , 于是双曲线的渐近线为 . 联立 ,解得 ,即 , 同理由 ,解得 ,即 ,于是 . 联立 ,消去x,得 . 即 ,需满足 , 由韦达定理,得 , 所以, ,说明 与 的中点均为同一个点P, 所以, 关于点P对称, 关于点P对称,所以 , 因为 ,所以 是线段 的两个四等分点, 故P点纵坐标为 ,所以 , 于是 ,即 ,结合 , 解得 ,满足 ,则 , 故所求双曲线方程为 . 资料整理【淘宝店铺:向阳百分百】(2)由(1)可知, , 于是 . 设 ,则 , 代入 , 得 , 故 的面积为 . 资料整理【淘宝店铺:向阳百分百】