当前位置:首页>文档>专题29椭圆及其性质(教师版)_02高考数学_通用版(老高考)复习资料_2024年复习资料_完备战2024年高考数学一轮复习考点帮(全国通用)_核心考点讲练

专题29椭圆及其性质(教师版)_02高考数学_通用版(老高考)复习资料_2024年复习资料_完备战2024年高考数学一轮复习考点帮(全国通用)_核心考点讲练

  • 2026-04-13 07:22:04 2026-04-13 06:50:46

文档预览

专题29椭圆及其性质(教师版)_02高考数学_通用版(老高考)复习资料_2024年复习资料_完备战2024年高考数学一轮复习考点帮(全国通用)_核心考点讲练
专题29椭圆及其性质(教师版)_02高考数学_通用版(老高考)复习资料_2024年复习资料_完备战2024年高考数学一轮复习考点帮(全国通用)_核心考点讲练
专题29椭圆及其性质(教师版)_02高考数学_通用版(老高考)复习资料_2024年复习资料_完备战2024年高考数学一轮复习考点帮(全国通用)_核心考点讲练
专题29椭圆及其性质(教师版)_02高考数学_通用版(老高考)复习资料_2024年复习资料_完备战2024年高考数学一轮复习考点帮(全国通用)_核心考点讲练
专题29椭圆及其性质(教师版)_02高考数学_通用版(老高考)复习资料_2024年复习资料_完备战2024年高考数学一轮复习考点帮(全国通用)_核心考点讲练
专题29椭圆及其性质(教师版)_02高考数学_通用版(老高考)复习资料_2024年复习资料_完备战2024年高考数学一轮复习考点帮(全国通用)_核心考点讲练
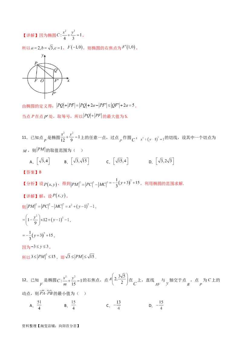
专题29椭圆及其性质(教师版)_02高考数学_通用版(老高考)复习资料_2024年复习资料_完备战2024年高考数学一轮复习考点帮(全国通用)_核心考点讲练
专题29椭圆及其性质(教师版)_02高考数学_通用版(老高考)复习资料_2024年复习资料_完备战2024年高考数学一轮复习考点帮(全国通用)_核心考点讲练
专题29椭圆及其性质(教师版)_02高考数学_通用版(老高考)复习资料_2024年复习资料_完备战2024年高考数学一轮复习考点帮(全国通用)_核心考点讲练
专题29椭圆及其性质(教师版)_02高考数学_通用版(老高考)复习资料_2024年复习资料_完备战2024年高考数学一轮复习考点帮(全国通用)_核心考点讲练
专题29椭圆及其性质(教师版)_02高考数学_通用版(老高考)复习资料_2024年复习资料_完备战2024年高考数学一轮复习考点帮(全国通用)_核心考点讲练
专题29椭圆及其性质(教师版)_02高考数学_通用版(老高考)复习资料_2024年复习资料_完备战2024年高考数学一轮复习考点帮(全国通用)_核心考点讲练
专题29椭圆及其性质(教师版)_02高考数学_通用版(老高考)复习资料_2024年复习资料_完备战2024年高考数学一轮复习考点帮(全国通用)_核心考点讲练
专题29椭圆及其性质(教师版)_02高考数学_通用版(老高考)复习资料_2024年复习资料_完备战2024年高考数学一轮复习考点帮(全国通用)_核心考点讲练
专题29椭圆及其性质(教师版)_02高考数学_通用版(老高考)复习资料_2024年复习资料_完备战2024年高考数学一轮复习考点帮(全国通用)_核心考点讲练
专题29椭圆及其性质(教师版)_02高考数学_通用版(老高考)复习资料_2024年复习资料_完备战2024年高考数学一轮复习考点帮(全国通用)_核心考点讲练
专题29椭圆及其性质(教师版)_02高考数学_通用版(老高考)复习资料_2024年复习资料_完备战2024年高考数学一轮复习考点帮(全国通用)_核心考点讲练
专题29椭圆及其性质(教师版)_02高考数学_通用版(老高考)复习资料_2024年复习资料_完备战2024年高考数学一轮复习考点帮(全国通用)_核心考点讲练
专题29椭圆及其性质(教师版)_02高考数学_通用版(老高考)复习资料_2024年复习资料_完备战2024年高考数学一轮复习考点帮(全国通用)_核心考点讲练
专题29椭圆及其性质(教师版)_02高考数学_通用版(老高考)复习资料_2024年复习资料_完备战2024年高考数学一轮复习考点帮(全国通用)_核心考点讲练
专题29椭圆及其性质(教师版)_02高考数学_通用版(老高考)复习资料_2024年复习资料_完备战2024年高考数学一轮复习考点帮(全国通用)_核心考点讲练
专题29椭圆及其性质(教师版)_02高考数学_通用版(老高考)复习资料_2024年复习资料_完备战2024年高考数学一轮复习考点帮(全国通用)_核心考点讲练
专题29椭圆及其性质(教师版)_02高考数学_通用版(老高考)复习资料_2024年复习资料_完备战2024年高考数学一轮复习考点帮(全国通用)_核心考点讲练
专题29椭圆及其性质(教师版)_02高考数学_通用版(老高考)复习资料_2024年复习资料_完备战2024年高考数学一轮复习考点帮(全国通用)_核心考点讲练
专题29椭圆及其性质(教师版)_02高考数学_通用版(老高考)复习资料_2024年复习资料_完备战2024年高考数学一轮复习考点帮(全国通用)_核心考点讲练
专题29椭圆及其性质(教师版)_02高考数学_通用版(老高考)复习资料_2024年复习资料_完备战2024年高考数学一轮复习考点帮(全国通用)_核心考点讲练
专题29椭圆及其性质(教师版)_02高考数学_通用版(老高考)复习资料_2024年复习资料_完备战2024年高考数学一轮复习考点帮(全国通用)_核心考点讲练
专题29椭圆及其性质(教师版)_02高考数学_通用版(老高考)复习资料_2024年复习资料_完备战2024年高考数学一轮复习考点帮(全国通用)_核心考点讲练
专题29椭圆及其性质(教师版)_02高考数学_通用版(老高考)复习资料_2024年复习资料_完备战2024年高考数学一轮复习考点帮(全国通用)_核心考点讲练
专题29椭圆及其性质(教师版)_02高考数学_通用版(老高考)复习资料_2024年复习资料_完备战2024年高考数学一轮复习考点帮(全国通用)_核心考点讲练
专题29椭圆及其性质(教师版)_02高考数学_通用版(老高考)复习资料_2024年复习资料_完备战2024年高考数学一轮复习考点帮(全国通用)_核心考点讲练
专题29椭圆及其性质(教师版)_02高考数学_通用版(老高考)复习资料_2024年复习资料_完备战2024年高考数学一轮复习考点帮(全国通用)_核心考点讲练
专题29椭圆及其性质(教师版)_02高考数学_通用版(老高考)复习资料_2024年复习资料_完备战2024年高考数学一轮复习考点帮(全国通用)_核心考点讲练
专题29椭圆及其性质(教师版)_02高考数学_通用版(老高考)复习资料_2024年复习资料_完备战2024年高考数学一轮复习考点帮(全国通用)_核心考点讲练
专题29椭圆及其性质(教师版)_02高考数学_通用版(老高考)复习资料_2024年复习资料_完备战2024年高考数学一轮复习考点帮(全国通用)_核心考点讲练
专题29椭圆及其性质(教师版)_02高考数学_通用版(老高考)复习资料_2024年复习资料_完备战2024年高考数学一轮复习考点帮(全国通用)_核心考点讲练
专题29椭圆及其性质(教师版)_02高考数学_通用版(老高考)复习资料_2024年复习资料_完备战2024年高考数学一轮复习考点帮(全国通用)_核心考点讲练
专题29椭圆及其性质(教师版)_02高考数学_通用版(老高考)复习资料_2024年复习资料_完备战2024年高考数学一轮复习考点帮(全国通用)_核心考点讲练
专题29椭圆及其性质(教师版)_02高考数学_通用版(老高考)复习资料_2024年复习资料_完备战2024年高考数学一轮复习考点帮(全国通用)_核心考点讲练
专题29椭圆及其性质(教师版)_02高考数学_通用版(老高考)复习资料_2024年复习资料_完备战2024年高考数学一轮复习考点帮(全国通用)_核心考点讲练
专题29椭圆及其性质(教师版)_02高考数学_通用版(老高考)复习资料_2024年复习资料_完备战2024年高考数学一轮复习考点帮(全国通用)_核心考点讲练
专题29椭圆及其性质(教师版)_02高考数学_通用版(老高考)复习资料_2024年复习资料_完备战2024年高考数学一轮复习考点帮(全国通用)_核心考点讲练
专题29椭圆及其性质(教师版)_02高考数学_通用版(老高考)复习资料_2024年复习资料_完备战2024年高考数学一轮复习考点帮(全国通用)_核心考点讲练
专题29椭圆及其性质(教师版)_02高考数学_通用版(老高考)复习资料_2024年复习资料_完备战2024年高考数学一轮复习考点帮(全国通用)_核心考点讲练
专题29椭圆及其性质(教师版)_02高考数学_通用版(老高考)复习资料_2024年复习资料_完备战2024年高考数学一轮复习考点帮(全国通用)_核心考点讲练
专题29椭圆及其性质(教师版)_02高考数学_通用版(老高考)复习资料_2024年复习资料_完备战2024年高考数学一轮复习考点帮(全国通用)_核心考点讲练
专题29椭圆及其性质(教师版)_02高考数学_通用版(老高考)复习资料_2024年复习资料_完备战2024年高考数学一轮复习考点帮(全国通用)_核心考点讲练
专题29椭圆及其性质(教师版)_02高考数学_通用版(老高考)复习资料_2024年复习资料_完备战2024年高考数学一轮复习考点帮(全国通用)_核心考点讲练
专题29椭圆及其性质(教师版)_02高考数学_通用版(老高考)复习资料_2024年复习资料_完备战2024年高考数学一轮复习考点帮(全国通用)_核心考点讲练
专题29椭圆及其性质(教师版)_02高考数学_通用版(老高考)复习资料_2024年复习资料_完备战2024年高考数学一轮复习考点帮(全国通用)_核心考点讲练
专题29椭圆及其性质(教师版)_02高考数学_通用版(老高考)复习资料_2024年复习资料_完备战2024年高考数学一轮复习考点帮(全国通用)_核心考点讲练
专题29椭圆及其性质(教师版)_02高考数学_通用版(老高考)复习资料_2024年复习资料_完备战2024年高考数学一轮复习考点帮(全国通用)_核心考点讲练
专题29椭圆及其性质(教师版)_02高考数学_通用版(老高考)复习资料_2024年复习资料_完备战2024年高考数学一轮复习考点帮(全国通用)_核心考点讲练
专题29椭圆及其性质(教师版)_02高考数学_通用版(老高考)复习资料_2024年复习资料_完备战2024年高考数学一轮复习考点帮(全国通用)_核心考点讲练
专题29椭圆及其性质(教师版)_02高考数学_通用版(老高考)复习资料_2024年复习资料_完备战2024年高考数学一轮复习考点帮(全国通用)_核心考点讲练
专题29椭圆及其性质(教师版)_02高考数学_通用版(老高考)复习资料_2024年复习资料_完备战2024年高考数学一轮复习考点帮(全国通用)_核心考点讲练
专题29椭圆及其性质(教师版)_02高考数学_通用版(老高考)复习资料_2024年复习资料_完备战2024年高考数学一轮复习考点帮(全国通用)_核心考点讲练
专题29椭圆及其性质(教师版)_02高考数学_通用版(老高考)复习资料_2024年复习资料_完备战2024年高考数学一轮复习考点帮(全国通用)_核心考点讲练
专题29椭圆及其性质(教师版)_02高考数学_通用版(老高考)复习资料_2024年复习资料_完备战2024年高考数学一轮复习考点帮(全国通用)_核心考点讲练
专题29椭圆及其性质(教师版)_02高考数学_通用版(老高考)复习资料_2024年复习资料_完备战2024年高考数学一轮复习考点帮(全国通用)_核心考点讲练
专题29椭圆及其性质(教师版)_02高考数学_通用版(老高考)复习资料_2024年复习资料_完备战2024年高考数学一轮复习考点帮(全国通用)_核心考点讲练
专题29椭圆及其性质(教师版)_02高考数学_通用版(老高考)复习资料_2024年复习资料_完备战2024年高考数学一轮复习考点帮(全国通用)_核心考点讲练
专题29椭圆及其性质(教师版)_02高考数学_通用版(老高考)复习资料_2024年复习资料_完备战2024年高考数学一轮复习考点帮(全国通用)_核心考点讲练
专题29椭圆及其性质(教师版)_02高考数学_通用版(老高考)复习资料_2024年复习资料_完备战2024年高考数学一轮复习考点帮(全国通用)_核心考点讲练
专题29椭圆及其性质(教师版)_02高考数学_通用版(老高考)复习资料_2024年复习资料_完备战2024年高考数学一轮复习考点帮(全国通用)_核心考点讲练
专题29椭圆及其性质(教师版)_02高考数学_通用版(老高考)复习资料_2024年复习资料_完备战2024年高考数学一轮复习考点帮(全国通用)_核心考点讲练
专题29椭圆及其性质(教师版)_02高考数学_通用版(老高考)复习资料_2024年复习资料_完备战2024年高考数学一轮复习考点帮(全国通用)_核心考点讲练
专题29椭圆及其性质(教师版)_02高考数学_通用版(老高考)复习资料_2024年复习资料_完备战2024年高考数学一轮复习考点帮(全国通用)_核心考点讲练
专题29椭圆及其性质(教师版)_02高考数学_通用版(老高考)复习资料_2024年复习资料_完备战2024年高考数学一轮复习考点帮(全国通用)_核心考点讲练
专题29椭圆及其性质(教师版)_02高考数学_通用版(老高考)复习资料_2024年复习资料_完备战2024年高考数学一轮复习考点帮(全国通用)_核心考点讲练
专题29椭圆及其性质(教师版)_02高考数学_通用版(老高考)复习资料_2024年复习资料_完备战2024年高考数学一轮复习考点帮(全国通用)_核心考点讲练
专题29椭圆及其性质(教师版)_02高考数学_通用版(老高考)复习资料_2024年复习资料_完备战2024年高考数学一轮复习考点帮(全国通用)_核心考点讲练
专题29椭圆及其性质(教师版)_02高考数学_通用版(老高考)复习资料_2024年复习资料_完备战2024年高考数学一轮复习考点帮(全国通用)_核心考点讲练
专题29椭圆及其性质(教师版)_02高考数学_通用版(老高考)复习资料_2024年复习资料_完备战2024年高考数学一轮复习考点帮(全国通用)_核心考点讲练
专题29椭圆及其性质(教师版)_02高考数学_通用版(老高考)复习资料_2024年复习资料_完备战2024年高考数学一轮复习考点帮(全国通用)_核心考点讲练
专题29椭圆及其性质(教师版)_02高考数学_通用版(老高考)复习资料_2024年复习资料_完备战2024年高考数学一轮复习考点帮(全国通用)_核心考点讲练
专题29椭圆及其性质(教师版)_02高考数学_通用版(老高考)复习资料_2024年复习资料_完备战2024年高考数学一轮复习考点帮(全国通用)_核心考点讲练
专题29椭圆及其性质(教师版)_02高考数学_通用版(老高考)复习资料_2024年复习资料_完备战2024年高考数学一轮复习考点帮(全国通用)_核心考点讲练
专题29椭圆及其性质(教师版)_02高考数学_通用版(老高考)复习资料_2024年复习资料_完备战2024年高考数学一轮复习考点帮(全国通用)_核心考点讲练
专题29椭圆及其性质(教师版)_02高考数学_通用版(老高考)复习资料_2024年复习资料_完备战2024年高考数学一轮复习考点帮(全国通用)_核心考点讲练
专题29椭圆及其性质(教师版)_02高考数学_通用版(老高考)复习资料_2024年复习资料_完备战2024年高考数学一轮复习考点帮(全国通用)_核心考点讲练
专题29椭圆及其性质(教师版)_02高考数学_通用版(老高考)复习资料_2024年复习资料_完备战2024年高考数学一轮复习考点帮(全国通用)_核心考点讲练

文档信息

文档格式
docx
文档大小
4.667 MB
文档页数
78 页
上传时间
2026-04-13 06:50:46

文档内容

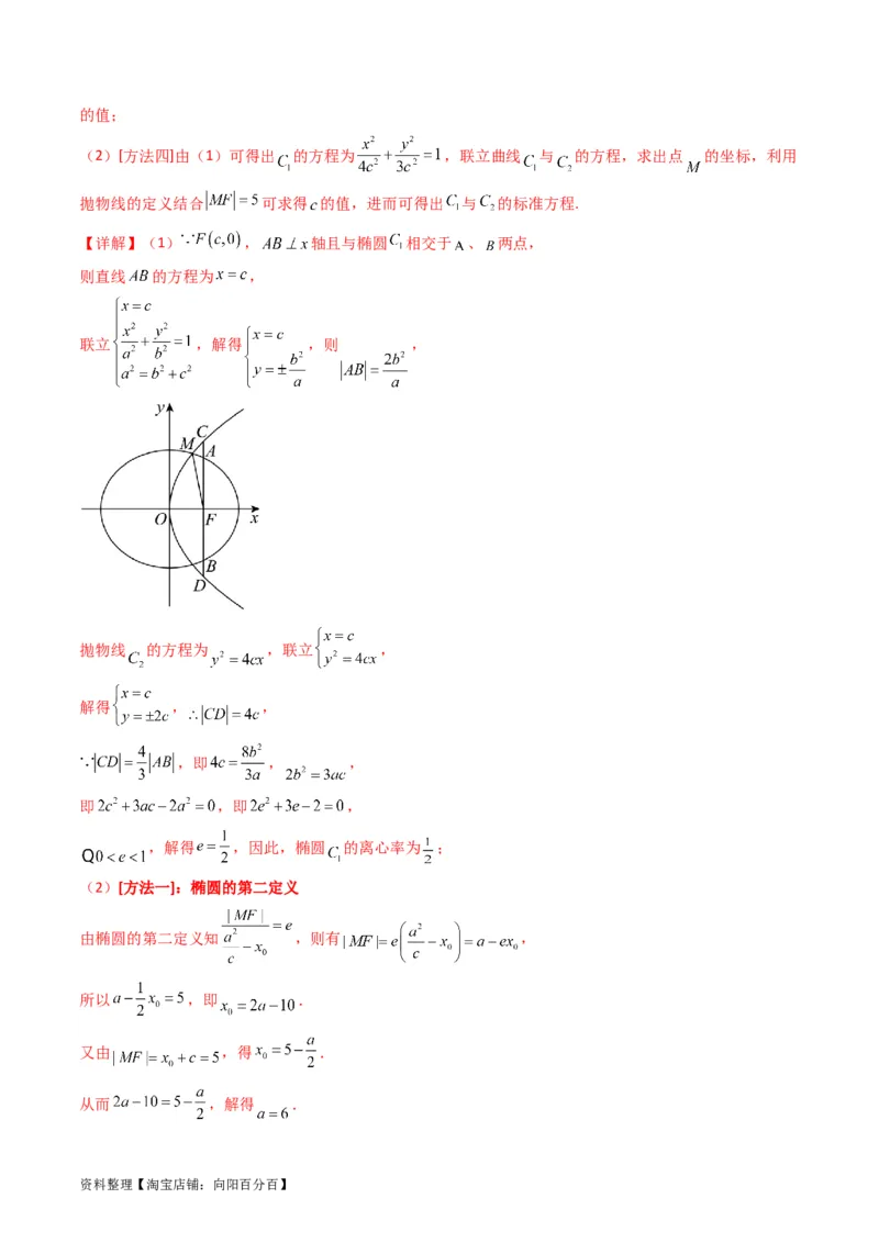
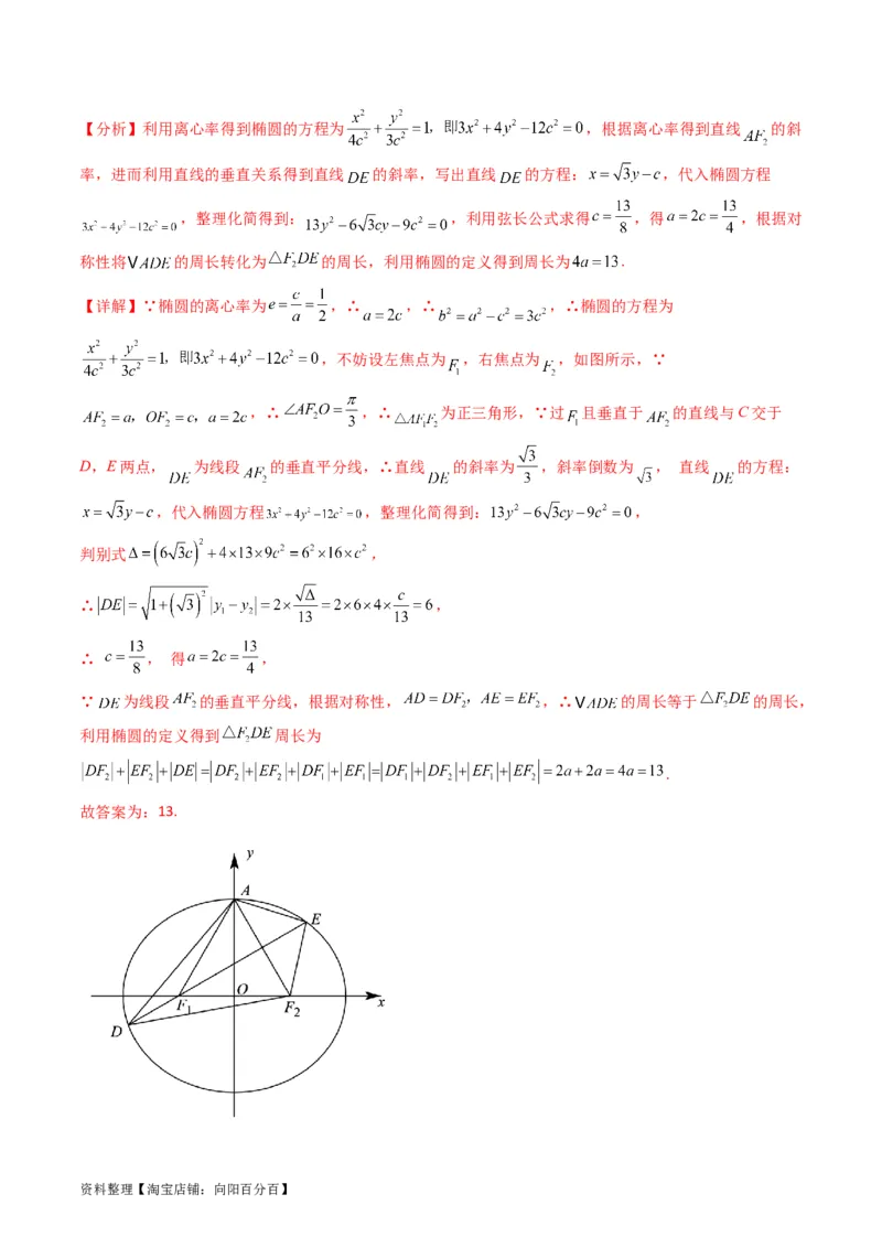
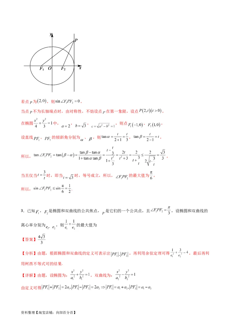
专题 29 椭圆及其性质 (核心考点精讲精练) 1. 近几年真题考点分布 圆锥曲线近几年考情 考题示例 考点分析 关联考点 2023年全国乙(文科),第11题,5分 直线与圆的位置关系, 参数方程 2023年全国乙(文科),第13题,5分 根据抛物线上的点求标准方程,抛物线的定义 2023年全国乙(理科),第3题,5分 通过三视图求几何体的表面积 2023年全国乙(文科),第3题,5分 2023年全国乙(理科),第5题,5分 根据标准方程确定圆的圆心和半径 几何概型 2023年全国乙(文科),第7题,5分 2023年全国乙(理科),第11题,5分 直线与双曲线的位置关系,求线段的中点坐标 2023年全国乙(文科),第12题,5分 2023年全国乙(理科),第12题,5分 直线与圆的位置关系 向量的数量积 2023年全国乙(理科),第20题,12分 1、根据离心率求椭圆方程; 2023年全国乙(文科),第21题,12分 2、椭圆中的定点问题; 2023年全国甲(文科),第7题,5分 椭圆中焦点三角形的面积问题 2023年全国甲(理科),第8题,5分 双曲线的渐近线、离心率、圆的中点弦 2023年全国甲(文科),第9题,5分 2023年全国甲(理科),第12题,5分 椭圆的定义、焦点三角形 1、根据直线与抛物线相交所得弦长求抛物线 2023年全国甲(理科),第20题,12分 方程; 2023年全国甲(文科),第20题,12分 2、抛物线中的三角形面积问题 2. 命题规律及备考策略 资料整理【淘宝店铺:向阳百分百】【命题规律】1.对椭圆定义的考查,多以选择题或填空题的形式出现,主要考查椭圆的标准方程以及简单 几何性质的应用,也有可能与函数的性质综合起来命题. 2.对椭圆几何性质的考查,常常会结合圆锥曲线统一定义,通过给定直线与椭圆的位置关系, 求相关的距离、交点坐标等,还可能考查椭圆的离心率等. 【备考策略】1.了解椭圆产生的实际背景,了解椭圆在刻画现实世界和解决实际问题中的作用. 2.掌握椭圆的定义、几何图形、标准方程及简单几何性质. 3.理解并掌握椭圆的标准方程以及简单几何性质,包括定义、范围、对称性等; 4.掌握圆锥曲线的统一定义,理解离心率等概念,并学会应用; 5.掌握直线与椭圆的位置关系问题的解题的解题方法,理解并掌握常用的解题技巧; 【命题预测】1.基础知识考查:这类题目主要考查学生对椭圆的基本性质和特征的掌握,如椭圆的定义、 长轴和短轴、离心率等; 2.解题方法考查:这类题目主要考查学生解决椭圆问题的解题方法和技巧,如椭圆与直线的 位置关系、椭圆中的最值问题等; 3.应用能力考查:这类题目主要考查学生运用椭圆的知识解决实际问题的能力,如利用椭圆 解决工程问题、利用椭圆的性质解决物理中的力学问题; 知识讲解 一、椭圆的定义 平面内到两个定点 的距离之和等于常数 (大于| |)的点的集合叫作 椭圆 ,这两个定点 资料整理【淘宝店铺:向阳百分百】叫作椭圆的 焦点 ,焦点 间的距离叫作椭圆的 焦距 . (1)数学表达式为 . (2)在椭圆的定义中,特别要注意条件 ,否则轨迹不是椭圆.当 时,动点的轨迹是 线段 ;当 时,动点的轨迹是不存在的. 二、椭圆的标准方程和几何性质 标准 方程 图形 范围 对称性 对称轴:坐标轴;对称中心:原点 顶点 坐标 长轴 的长为 2 a ; 性 轴 质 短轴 的长为 2 b 焦距 2 c 离心率 a 2 = b 2 + c 2 的关系 1.点和椭圆的位置关系的判断: (1)点 在椭圆内 ; (2)点 在椭圆上 ; (3)点 在椭圆外 . 2.与椭圆的焦点三角形相关的结论(含焦半径公式) 椭圆上的一点与两焦点所构成的三角形称为焦点三角形.解决焦点三角形的问题常利用椭圆的定义、正 弦定理和余弦定理. 在以椭圆 上一点 和焦点 为顶点的 中,若 ,则 (1) (焦半径公式, 为椭圆的离心率), ; (2) ; 资料整理【淘宝店铺:向阳百分百】(3) ,当 ,即 为短轴端点时, 取得最 大值,最大值为 ; (4)焦点三角形的周长为 . 3.常用二级结论 (1)过椭圆的一个焦点且与长轴垂直的弦 ,称为通径. (2)AB为椭圆 的弦, ,弦中点为 . ①斜率: . ②弦 的斜率与弦中点 和椭圆中心 的连线的斜率之积为定值 . (3)在椭圆 上一点 处的切线方程为 . 椭圆的定义及应用 (1)椭圆定义的应用主要有判断平面内动点的轨迹是否为椭圆,求焦点三角形的周长、面积及弦长、最值 和离心率等. (2)通常将椭圆的定义和余弦定理结合使用,求解关于焦点三角形的周长和面积问题. 根据条件求椭圆方程的主要方法 (1)定义法:根据题目所给的条件确定动点的轨迹满足椭圆的定义. (2)待定系数法:根据题目所给的条件确定椭圆中的 .当不知焦点在哪一个坐标轴上时,一般可设所求 椭圆的方程为 ,不必考虑焦点位置,用待定系数法求出 的值即可. 求椭圆离心率的关键是借助图形建立关于 的关系式(等式或不等式),转化为关于 的关系式,常用 方法如下: c (1)直接求出 ,利用离心率公式e= 求解; a √ b2 (2)由 与 的关系求离心率,利用变形公式e= 1− 求解; a2 (3)构造 的齐次式,离心率 的求解中可以不求出 的具体值,而是得出 与 的关系,从而求得 . 利用椭圆的几何性质求值或范围的思路 (1)与椭圆几何性质有关的问题要结合图形进行分析,即使画不出图形,思考时也要联想到一个图形. (2)椭圆的范围或最值问题常常涉及一些不等式.例如, ,在求椭圆相关量 的范围时,要注意应用这些不等关系. (3)最值问题:列出关于所求值的表达式,构造基本不等式或利用函数单调性求解. 直线与椭圆位置关系的判定方法:将直线与椭圆方程联立,消去 (或 )后得到关于 (或 )的一元二次方程, 设其根的判别式为 ,① 直线与椭圆相交;② 直线与椭圆相切;③ 直线与椭圆相 离. 解决圆锥曲线“中点弦”问题的思路 资料整理【淘宝店铺:向阳百分百】弦长的求解方法 (1)当弦的两端点的坐标易求时,可直接利用两点间的距离公式求解. (2)当直线的斜率存在时,斜率为 的直线 与椭圆相交于 两个不同的点,则弦长公式 的常见形式有如下两种: ① ; ② . 考点一、椭圆的定义及应用 1.已知椭圆C: 的左右焦点分别为F、F,过左焦点F,作直线交椭圆C于A、B两点,则三角 1 2 1 形ABF 的周长为( ) 2 A.10 B.15 C.20 D.25 【答案】C 【分析】根据椭圆的定义求解即可 【详解】由题意椭圆的长轴为 ,由椭圆定义知 ∴ 2.椭圆C: 的焦点为 , ,点P在椭圆上,若 ,则 的面积为( ) A.48 B.40 C.28 D.24 【答案】D 【分析】根据给定条件结合椭圆定义求出 ,再判断 形状计算作答. 资料整理【淘宝店铺:向阳百分百】【详解】椭圆C: 的半焦距 ,长半轴长 ,由椭圆定义得 , 而 ,且 ,则有 是直角三角形, , 所以 的面积为24. 3.若椭圆 的焦点在y轴上,则实数k的取值范围是 . 【答案】 【分析】由椭圆的标准方程的特征列方程组求解可得. 【详解】因为椭圆 的焦点在y轴上, 所以 ,解得 ,即实数k的取值范围为 . 1.(2023届百校大联考数学试题(新高考))椭圆 的左、右焦点分别为 , , 为上顶点,若 的面积为 ,则 的周长为( ) A.8 B.7 C.6 D.5 【答案】C 【分析】设椭圆的半焦距为 ,由条件利用 表示 的面积,由条件列方程求 ,再由 关系求 , 根据椭圆定义求 ,由此可求 的周长. 【详解】设椭圆 的半短轴长为 ,半焦距为 , 则 , 的面积 由题知 , 所以 , , 由椭圆的定义知 ,又 , 所以 的周长为 . 资料整理【淘宝店铺:向阳百分百】2.已知 、 是椭圆 的两个焦点, 是椭圆上一点, ,则 的面积是 ( ) A. B. C. D. 【答案】D 【分析】利用椭圆的定义结合余弦定理可求得 的值,再利用三角形的面积公式可求得结果. 【详解】由椭圆 的方程可得 , , ,则 , 因为 ,则 , 即 ,即 ,解得 , 因此, . 3.椭圆 的焦点为 , ,椭圆上的点 满足 ,则点 到 轴的距离为( ) A. B. C. D. 【答案】C 【分析】利用椭圆的定义以及余弦定理,可以解得 ,一方面 ,另一方 面设点 到 轴的距离为 ,则 ,所以 ,即可求解 【详解】易得 .设 , ,则 . 在 中,由余弦定理得 , 即 ,则 , 所以 . 设点 到 轴的距离为 ,则 ,故 ,解得 . 考点二、椭圆的标准方程 资料整理【淘宝店铺:向阳百分百】1.已知椭圆的中心在坐标原点,焦点在x轴上,若长轴长为18,两个焦点恰好将长轴三等分,则该椭圆 的标准方程是( ) A. + =1 B. + =1 C. + =1 D. + =1 【答案】A 【分析】根据条件,求得 ,进而可得椭圆的标准方程 【详解】由题意,长轴 ,长轴三等分后 , 故 , 则该椭圆的标准方程是 + =1 2.(2019年全国统一高考数学试卷(文科)(新课标Ⅰ))已知椭圆C的焦点为 ,过 F 的直线与C交于A,B两点.若 , ,则C的方程为 2 A. B. C. D. 【答案】B 【分析】由已知可设 ,则 ,得 ,在 中求得 ,再在 中,由余弦定理得 ,从而可求解. 【详解】法一:如图,由已知可设 ,则 ,由椭圆的定义有 .在 中,由余弦定理推论得 .在 中,由余弦定理得 ,解得 . 所求椭圆方程为 ,故选B. 法二:由已知可设 ,则 ,由椭圆的定义有 .在 和 中,由余弦定理得 ,又 互补, ,两式消去 ,得 ,解得 . 资料整理【淘宝店铺:向阳百分百】所求椭圆方程为 . 【点睛】本题考查椭圆标准方程及其简单性质,考查数形结合思想、转化与化归的能力,很好的落实了直 观想象、逻辑推理等数学素养. 3.(2022年全国高考甲卷数学(文)试题)已知椭圆 的离心率为 , 分别 为C的左、右顶点,B为C的上顶点.若 ,则C的方程为( ) A. B. C. D. 【答案】B 【分析】根据离心率及 ,解得关于 的等量关系式,即可得解. 【详解】解:因为离心率 ,解得 , , 分别为C的左右顶点,则 ,B为上顶点,所以 . 所以 ,因为 所以 ,将 代入,解得 ,故椭圆的方程为 . 1.(2014年全国普通高等学校招生统一考试文科数学(大纲卷))已知椭圆C: 的 左右焦点为F ,F 离心率为 ,过F 的直线l交C与A,B两点,若△AF B的周长为 ,则C的方程为 1 2 2 1 ( ) A. B. C. D. 资料整理【淘宝店铺:向阳百分百】【答案】A 【详解】若△AF B的周长为4 , 1 由椭圆的定义可知 , , , , , 所以方程为 . 考点:椭圆方程及性质 2.已知椭圆 的右焦点 与抛物线 的焦点重合,过点 的直线交 于 、 两点, 若 的中点坐标为 ,则 的方程为( ) A. B. C. D. 【答案】D 【分析】利用点差法可求得 ,再由 可得出 、 的值,即可得出椭圆的标准方程. 【详解】解:设 、 ,若 轴,则 、 关于 轴对称,不合乎题意, 将 、 的坐标代入椭圆方程得 ,两式相减得 , 可得 , 因为线段 的中点坐标为 , 所以, , , 因为抛物线 的焦点为 ,所以 , 又直线 过点 ,因此 , 所以, , 整理得 , 又 ,解得 , , 资料整理【淘宝店铺:向阳百分百】因此,椭圆 的方程为 . 3.已知椭圆C: 的长轴长为4,若点P是椭圆C上任意一点,过原点的直线l与椭圆 相交于M、N两点,记直线PM、PN的斜率分别为 ,当 时,则椭圆方程为( ) A. B. C. D. 【答案】D 【分析】设 ,则 ,设直线l方程为 , , ,由 得 ①,联立可得 ,由点P的任意性知 ,即可求得椭圆方程. 【详解】由长轴长为4得 ,解得 , 设 ,直线l方程为 , , , 则 , , 由 得, ,即 , 所以 ①, 又P在椭圆上,所以 ,即 , 代入①式得 ,即 , 因为点P为椭圆上任意一点,所以该式恒成立与 无关, 所以 ,解得 , 所以所求椭圆方程为 . 【点睛】思路点睛:解决直线与椭圆的综合问题时,要注意: (1)注意观察应用题设中的每一个条件,明确确定直线、椭圆的条件; (2)强化有关直线与椭圆联立得出一元二次方程后的运算能力,重视根与系数之间的关系、弦长、斜率、 三角形的面积等问题. 资料整理【淘宝店铺:向阳百分百】考点三、椭圆的几何性质 1.若椭圆 与椭圆 ,则两椭圆必定( ). A.有相等的长轴长 B.有相等的焦距 C.有相等的短轴长 D.长轴长与焦距之比相等 【答案】B 【分析】分别求出椭圆 与椭圆 的长轴长、短轴长、焦距、焦点坐标和离 心率,由此能求出结果. 【详解】解:椭圆 ,可知 , , , 长轴长是10,短轴长是6;焦距是8;焦点坐标是 ;离心率是: . 椭圆 中, , , , 长轴长是 ,短轴长是 ;焦距是8;焦点坐标是 ;离心率是 . 椭圆 与椭圆 关系为有相等的焦距. 2.已知椭圆 ,其左右焦点分别为 ,其离心率为 ,点P为该椭圆上一点, 且满足 ,已知 的内切圆的面积为 ,则该椭圆的长轴长为( ) A.2 B.4 C.6 D.12 【答案】D 【分析】根据椭圆的离心率公式,再利用焦点三角的面积相等及椭圆长轴长即可求解. 【详解】由 ,得 ,即 . 设 的内切圆的半径为 ,则 因为 的内切圆的面积为 ,所以 ,解得 (负舍), 资料整理【淘宝店铺:向阳百分百】在 中,根据椭圆的定义及焦点三角形的面积公式,知 ,即 , 由 ,联立 ,得 , 所以该椭圆的长轴长为 . 3.(2019年全国统一高考数学试卷(文科)(新课标Ⅲ))设 为椭圆 的两个焦点, 为 上一点且在第一象限.若 为等腰三角形,则 的坐标为 . 【答案】 【分析】根据椭圆的定义分别求出 ,设出 的坐标,结合三角形面积可求出 的坐标. 【详解】由已知可得 , 又 为 上一点且在第一象限, 为等腰三角形, .∴ . 设点 的坐标为 ,则 , 又 ,解得 , ,解得 ( 舍去), 的坐标为 . 【点睛】本题考查椭圆标准方程及其简单性质,考查数形结合思想、转化与化归的能力,很好的落实了直 观想象、逻辑推理等数学素养. 1.(2023年湖南省模拟数学试题)曲线 与曲线 ( 且 )的( ) A.长轴长相等 B.短轴长相等 C.焦距相等 D.离心率相等 【答案】C 【分析】分析可知两曲线都表示椭圆,求出两椭圆的长轴长、短轴长、焦距以及离心率,可得出合适的选 项. 【详解】曲线 表示焦点在 轴上,长轴长为 ,短轴长为 ,离心率为 ,焦距为 的椭圆. 资料整理【淘宝店铺:向阳百分百】曲线 ( 且 )表示焦点在 轴上,长轴长为 , 短轴长为 ,焦距为 ,离心率为 的椭圆. 2.((全国1卷)2021届高三5月卫冕联考数学(文科)试题)已知椭圆 : 的离心率为 ,则椭圆 的长轴长为( ) A. B.4 C. D.8 【答案】C 【分析】根据条件先计算出 的值,再根据离心率求解出 的值,最后根据长轴长为 计算出长轴 长. 【详解】由题意知 ,所以 , 又因为 ,所以 ,所以椭圆 的长轴长为 . 3.椭圆C: 的上、下顶点分别为A,C,如图,点B在椭圆上,平面四边形ABCD满足 ,且 ,则该椭圆的短轴长为 . 【答案】6 【分析】先由 判断出 四点共圆,再由题设求出圆心,表示出圆的方程,将 点代入椭圆及圆,即可求出 ,即可求得短轴长. 【详解】由题意得 ,设 ,由 可得 在以 为直径的圆上, 又原点 为圆上弦 的中点,所以圆心在 的垂直平分线上,即在 轴上,则 ,又 可得 , 资料整理【淘宝店铺:向阳百分百】故圆心坐标为 ,所以圆的方程为 ,将 代入可得 , 又 ,解得 ,则 ,故短轴长为 . 考点四、椭圆的离心率 1.已知 是椭圆 的两个焦点, 为 上一点,且 , , 则 的离心率为( ) A. B. C. D. 【答案】C 【分析】根据椭圆的定义以及焦点三角形中的余弦定理即可建立齐次式求解. 【详解】在椭圆 中,由椭圆的定义可得 , 因为 ,所以 ,在 中, , 由余弦定理得 , 即 所以 所以 的离心率 . 2.(2018年全国普通高等学校招生统一考试理数(全国卷II))已知 , 是椭圆 的左,右焦点, 是 的左顶点,点 在过 且斜率为 的直线上, 为等腰三角形, ,则 的离心率为( ) A. B. C. D. 【答案】D 资料整理【淘宝店铺:向阳百分百】【详解】分析:先根据条件得PF =2c,再利用正弦定理得a,c关系,即得离心率. 2 详解:因为 为等腰三角形, ,所以PF =F F =2c, 2 1 2 由 斜率为 得, , 由正弦定理得 , 所以 . 点睛:解决椭圆和双曲线的离心率的求值及范围问题其关键就是确立一个关于 的方程或不等式,再 根据 的关系消掉 得到 的关系式,而建立关于 的方程或不等式,要充分利用椭圆和双曲线 的几何性质、点的坐标的范围等. 3.已知椭圆C: ( )的左、右顶点分别为 , ,且以线段 为直径的圆与直线 相交,则椭圆C的离心率的取值范围为( ) A. B. C. D. . 【答案】B 【分析】由题设以线段 为直径的圆为 ,根据直线与圆相交,利用点线距离公式列不等式求 椭圆C的离心率的范围. 【详解】由题设,以线段 为直径的圆为 ,与直线 相交, 所以 ,可得 ,即 ,又 ,所以 . 1.如图,已知 , 分别是椭圆的左、右焦点,现以 为圆心作一个圆恰好经过椭圆的中心并且交椭圆 于点 , .若过点 的直线 是圆 的切线,则椭圆的离心率为( ) 资料整理【淘宝店铺:向阳百分百】A. B. C. D. 【答案】A 【分析】由切线的性质,可得 , ,再结合椭圆定义 ,即得解 【详解】因为过点 的直线 圆 的切线, , ,所以 . 由椭圆定义可得 ,可得椭圆的离心率 . 2.(2018年全国普通高等学校招生统一考试文数(全国卷II))已知 , 是椭圆 的两个焦点, 是 上的一点,若 ,且 ,则 的离心率为( ) A. B. C. D. 【答案】D 【详解】分析:设 ,则根据平面几何知识可求 ,再结合椭圆定义可求离心率. 详解:在 中, 设 ,则 , 又由椭圆定义可知 则离心率 . 点睛:椭圆定义的应用主要有两个方面:一是判断平面内动点与两定点的轨迹是否为椭圆,二是利用定义 求焦点三角形的周长、面积、椭圆的弦长及最值和离心率问题等;“焦点三角形”是椭圆问题中的常考知 识点,在解决这类问题时经常会用到正弦定理,余弦定理以及椭圆的定义. 3.已知椭圆 上存在点 ,使得 ,其中 , 分别为椭圆的左、右焦点, 则该椭圆的离心率的取值范围是( ) 资料整理【淘宝店铺:向阳百分百】A. B. C. D. 【答案】D 【分析】先由椭圆的定义结合已知求得 ,再由 求得 的不等关系,即可求得 离心率的取值范围. 【详解】由椭圆的定义得 ,又∵ ,∴ , , 而 ,当且仅当点 在椭圆右顶点时等号成立, 即 ,即 ,则 ,即 . 考点五、与椭圆有关的最值问题 1.已知椭圆 的右焦点为 是椭圆上一点,点 ,则 的周长最大值为( ) A.14 B.16 C.18 D.20 【答案】C 【分析】设椭圆的左焦点为 ,由题可知 , ,利用 , 即可得出. 【详解】如图所示设椭圆的左焦点为 ,则 , 则 , , 的周长 ,当且仅当三点M, ,A共线 时取等号. 的周长最大值等于18. 资料整理【淘宝店铺:向阳百分百】2.已知椭圆 的两个焦点分别为 ,点P是椭圆上一点,若 的最小值为 ,则 的最大值为( ) A.4 B.2 C. D. 【答案】D 【分析】设 ,求出焦点坐标,利用向量的坐标运算得出 ,再根据椭圆的范围利用二次函 数求最值即可得解. 【详解】设 ,由 可知 , , , , , , 时, 的最小值为 ,解得 . 当 时, 的最大值为 . 3.已知F是椭圆 =1的左焦点,P为椭圆上的动点,椭圆内部一点M的坐标是(3,4),则|PM| +|PF|的最大值是( ) A.10 B.11 C.13 D.21 【答案】D 【分析】利用椭圆的定义转化为P到M和到另一焦点的距离的差的最大值来解决. 【详解】解:如图, 由椭圆 =1,得 资料整理【淘宝店铺:向阳百分百】得 ,则椭圆右焦点为 , 则 . 当 与射线 与椭圆的交点 重合时取到等号, 的最大值为21. 4.若 为椭圆 上的一点, , 分别是椭圆的左、右焦点,则 的最大值为( ) A. B. C. D. 【答案】D 【分析】易知当点 为椭圆与 轴的交点时 取最大值,再根据椭圆方程求出 、 ,最后根据勾股 定理逆定理计算可得. 【详解】解:易知当点 为椭圆与 轴的交点时, 最大, 因为椭圆方程为 ,所以 、 , 此时 , , 所以 , 所以 为等腰直角三角形,所以 . 5.已知点 在椭圆 上运动,点 在圆 上运动,则 的最小值为( ) A. B. C. D. 【答案】D 【分析】先求出点 到圆心 的距离的最小值,然后减去圆的半径可得答案 【详解】设点 ,则 ,得 , 圆 的圆心 ,半径为 ,则 , 令 ,对称轴为 , 资料整理【淘宝店铺:向阳百分百】所以当 时, 取得最小值 , 所以 的最小值为 ,所以 的最小值为 . 1.(2021年全国新高考Ⅰ卷数学试题)已知 , 是椭圆 : 的两个焦点,点 在 上,则 的最大值为( ) A.13 B.12 C.9 D.6 【答案】C 【分析】本题通过利用椭圆定义得到 ,借助基本不等式 即 可得到答案. 【详解】由题, ,则 , 所以 (当且仅当 时,等号成立). 2.在椭圆 上有两个动点 , 为定点, ,则 的最小值为( ) A. B. C. D.1 【答案】C 【分析】由题意得 ,然后转化为椭圆上的点P到点 的 距离的问题处理,根据二次函数的最值可得所求. 【详解】解:由题意得 . 设椭圆上一点 ,则 , ,又 , 当 时, 取得最小值 . 资料整理【淘宝店铺:向阳百分百】3.在棱长为 的正四面体 中,点 为 所在平面内一动点,且满足 ,则 的 最大值为( ) A. B. C. D. 【答案】B 【分析】由题意可知,点 在 所在平面内的轨迹为椭圆,且该椭圆的焦点为 、 ,长轴长为 , 然后以线段 的中点 为坐标原点,直线 所在直线为 轴,以 所在直线为 轴建立空间直角坐标 系,求出椭圆的方程,利用二次函数的基本性质可求得 的最大值. 【详解】如图所示,在平面 内, , 所以点 在平面 内的轨迹为椭圆,取 的中点为点 ,连接 ,以直线 为 轴,直线 为 建立如下图所示的空间直角坐标系 , 则椭圆的半焦距 ,长半轴 ,该椭圆的短半轴为 , 所以,椭圆方程为 . 点 在底面的投影设为点 ,则点 为 的中心, , 故点 正好为椭圆短轴的一个端点, ,则 , 因为 ,故只需计算 的最大值. 设 ,则 , 则 , 资料整理【淘宝店铺:向阳百分百】当 时, 取最大值, 即 , 因此可得 , 故 的最大值为 . 【点睛】关键点点睛:本题考查线段长度最值的求解,根据椭圆的定义得知点 的轨迹是椭圆,并结合二 次函数的基本性质求解 的最大值是解题的关键,在求解时也要注意椭圆有界性的应用. 4.已知 是椭圆 的左焦点, 为椭圆 上任意一点,点 ,则 的最大值为( F P C ) A. B. C. D. 【答案】A 【分析】由题意,设椭圆C的右焦点为 ,由已知条件推导出 ,利用Q, ,P共线,可得 取最大值. 【详解】由题意,点F为椭圆 的左焦点, , 点P为椭圆C上任意一点,点Q的坐标为 , 设椭圆C的右焦点为 , , , , 即最大值为5 ,此时Q, ,P共线. 资料整理【淘宝店铺:向阳百分百】【点睛】本题主要考查了椭圆的标准方程、定义及其简单的几何性质的应用,其中解答中熟记椭圆的标准 方程、定义和简单的几何性质,合理应用是解答的关键,着重考查了转化思想以及推理与运算能力. 5.已知 是椭圆 的左,右焦点,点A是椭圆上的一个动点,则 的内切圆的半径的最 大值是( ) A.1 B. C. D. 【答案】D 【分析】利用椭圆的定义即可求解. 【详解】设 的内切圆的半径为 , 由 ,则 , , 所以 , , 由 , 即 , 即 ,若 的内切圆的半径最大, 即 最大,又 , 所以 . 考点六、直线与椭圆的位置关系 1.(2023年山东省联考数学试题)已知椭圆 ,直线 交 于 两点,点 ,则 的周长为 . 【答案】 【分析】由题知 为等边三角形,直线 过点 ,且倾斜角为 ,进而得直线 为边 的中垂线,再根据椭圆的定义求解即可. 资料整理【淘宝店铺:向阳百分百】【详解】解:由题知 , 所以椭圆 的焦点坐标为 所以,由 得 , 所以, 为等边三角形,且 因为,当 时,解方程 得 , 所以,直线 过点 ,且倾斜角为 ,即 , 所以,直线 为 为等边三角形中角 的角平分线, 所以,直线 为边 的中垂线,所以 , 因为 所以, 的周长为 . 2.(2022年北京市高考数学试题)已知椭圆 的一个顶点为 ,焦距为 . (1)求椭圆E的方程; (2)过点 作斜率为k的直线与椭圆E交于不同的两点B,C,直线AB,AC分别与x轴交于点M,N, 当 时,求k的值. 【答案】(1) (2) 资料整理【淘宝店铺:向阳百分百】【分析】(1)依题意可得 ,即可求出 ,从而求出椭圆方程; (2)首先表示出直线方程,设 、 ,联立直线与椭圆方程,消元列出韦达定理,由直线 、 的方程,表示出 、 ,根据 得到方程,解得即可; 【详解】(1)解:依题意可得 , ,又 , 所以 ,所以椭圆方程为 ; (2)解:依题意过点 的直线为 ,设 、 ,不妨令 , 由 ,消去 整理得 , 所以 ,解得 , 所以 , , 直线 的方程为 ,令 ,解得 , 直线 的方程为 ,令 ,解得 , 所以 , 所以 , 即 即 资料整理【淘宝店铺:向阳百分百】即 整理得 ,解得 3.(2017年全国普通高等学校招生统一考试理科数学(新课标1卷))已知椭圆C: (a>b>0),四点P (1,1),P (0,1),P (–1, ),P (1, )中恰有三点在椭圆C上. 1 2 3 4 (Ⅰ)求C的方程; (Ⅱ)设直线l不经过P 点且与C相交于A,B两点.若直线P A与直线P B的斜率的和为–1,证明:l过定 2 2 2 点. 【答案】(1) . (2)证明见解析. 【详解】试题分析:(1)根据 , 两点关于y轴对称,由椭圆的对称性可知C经过 , 两 点.另外由 知,C不经过点P ,所以点P 在C上.因此 在椭圆上,代入其标 1 2 准方程,即可求出C的方程;(2)先设直线P A与直线P B的斜率分别为k ,k ,再设直线l 2 2 1 2 的方程,当l与x轴垂直时,通过计算,不满足题意,再设l: ( ),将 代入 ,写出判别式,利用根与系数的关系表示出x +x ,x x ,进而表示出 ,根 1 2 1 2 据 列出等式表示出 和 的关系,从而判断出直线恒过定点. 试题解析:(1)由于 , 两点关于y轴对称,故由题设知C经过 , 两点. 又由 知,C不经过点P ,所以点P 在C上. 1 2 因此 ,解得 . 故C的方程为 . (2)设直线P A与直线P B的斜率分别为k ,k , 2 2 1 2 如果l与x轴垂直,设l:x=t,由题设知 ,且 ,可得A,B的坐标分别为(t, ),(t, 资料整理【淘宝店铺:向阳百分百】). 则 ,得 ,不符合题设. 从而可设l: ( ).将 代入 得 由题设可知 . 设A(x ,y ),B(x ,y ),则x +x = ,x x = . 1 1 2 2 1 2 1 2 而 . 由题设 ,故 . 即 . 解得 . 当且仅当 时, ,欲使l: ,即 , 所以l过定点(2, ) 点睛:椭圆的对称性是椭圆的一个重要性质,判断点是否在椭圆上,可以通过这一方法进行判 断;证明直线过定点的关键是设出直线方程,通过一定关系转化,找出两个参数之间的关系 式,从而可以判断过定点情况.另外,在设直线方程之前,若题设中未告知,则一定要讨论直 线斜率不存在和存在两种情况,其通法是联立方程,求判别式,利用根与系数的关系,再根 据题设关系进行化简. 1.(2021年北京市高考数学试题)已知椭圆 一个顶点 ,以椭圆 的四个 资料整理【淘宝店铺:向阳百分百】顶点为顶点的四边形面积为 . (1)求椭圆E的方程; (2)过点P(0,-3)的直线l斜率为k的直线与椭圆E交于不同的两点B,C,直线AB,AC分别与直线交 交于点M,N,当|PM|+|PN|≤15时,求k的取值范围. 【答案】(1) ;(2) . 【分析】(1)根据椭圆所过的点及四个顶点围成的四边形的面积可求 ,从而可求椭圆的标准方程. (2)设 ,求出直线 的方程后可得 的横坐标,从而可得 ,联立 直线 的方程和椭圆的方程,结合韦达定理化简 ,从而可求 的范围,注意判别式的要求. 【详解】(1)因为椭圆过 ,故 , 因为四个顶点围成的四边形的面积为 ,故 ,即 , 故椭圆的标准方程为: . (2) 设 , 因为直线 的斜率存在,故 , 故直线 ,令 ,则 ,同理 . 直线 ,由 可得 , 故 ,解得 或 . 又 ,故 ,所以 又 资料整理【淘宝店铺:向阳百分百】故 即 ,综上, 或 . 2.(2022年高考天津卷数学真题)椭圆 的右焦点为F、右顶点为A,上顶点为B,且 满足 . (1)求椭圆的离心率 ; (2)直线l与椭圆有唯一公共点M,与y轴相交于N(N异于M).记O为坐标原点,若 ,且 的面积为 ,求椭圆的标准方程. 【答案】(1) ;(2) ; 【分析】(1)根据已知条件可得出关于 、 的等量关系,由此可求得该椭圆的离心率的值; (2)由(1)可知椭圆的方程为 ,设直线 的方程为 ,将直线 的方程与椭圆方程联 立,由 可得出 ,求出点 的坐标,利用三角形的面积公式以及已知条件可求得 的 值,即可得出椭圆的方程. 【详解】(1)解: , 离心率为 . (2)解:由(1)可知椭圆的方程为 , 易知直线 的斜率存在,设直线 的方程为 , 联立 得 , 由 ,① , , 由 可得 ,② 由 可得 ,③ 资料整理【淘宝店铺:向阳百分百】联立①②③可得 , , ,故椭圆的标准方程为 . 3.(2021年天津高考数学试题)已知椭圆 的右焦点为 ,上顶点为 ,离心率为 ,且 . (1)求椭圆的方程; (2)直线 与椭圆有唯一的公共点 ,与 轴的正半轴交于点 ,过 与 垂直的直线交 轴于点 . 若 ,求直线 的方程. 【答案】(1) ;(2) . 【分析】(1)求出 的值,结合 的值可得出 的值,进而可得出椭圆的方程; (2)设点 ,分析出直线 的方程为 ,求出点 的坐标,根据 可得出 , 求出 、 的值,即可得出直线 的方程. 【详解】(1)易知点 、 ,故 , 因为椭圆的离心率为 ,故 , ,因此,椭圆的方程为 ; (2)设点 为椭圆 上一点,先证明直线 的方程为 , 联立 ,消去 并整理得 , , 因此,椭圆 在点 处的切线方程为 . 在直线 的方程中,令 ,可得 ,由题意可知 ,即点 , 资料整理【淘宝店铺:向阳百分百】直线 的斜率为 ,所以,直线 的方程为 , 在直线 的方程中,令 ,可得 ,即点 , 因为 ,则 ,即 ,整理可得 , 所以, ,因为 , ,故 , , 所以,直线 的方程为 ,即 . 【点睛】结论点睛:在利用椭圆的切线方程时,一般利用以下方法进行直线: (1)设切线方程为 与椭圆方程联立,由 进行求解; (2)椭圆 在其上一点 的切线方程为 ,再应用此方程时,首先应证明直线 与椭圆 相切. 考点七、椭圆的实际应用 1.(2023届江苏省调研测试数学试题)2022年神舟接力腾飞,中国空间站全面建成,我们的“太空之 家”遨游苍穹.太空中飞船与空间站的对接,需要经过多次变轨.某飞船升空后的初始运行轨道是以地球的 中心为一个焦点的椭圆,其远地点(长轴端点中离地面最远的点)距地面 ,近地点(长轴端点中离地面 最近的点)距地面 ,地球的半径为 ,则该椭圆的短轴长为( ) A. B. C. D. 【答案】D 【分析】根据椭圆的远地点和近地点的距离可得 ,进而可求得 ,求得b,可得 答案. 【详解】由题意得 , 资料整理【淘宝店铺:向阳百分百】故 . 2.(2023届河北省调研数学试题)阿基米德是古希腊著名的数学家、物理学家,他利用“逼近法”得到 椭圆的面积除以圆周率 等于椭圆的长半轴长与短半轴长的乘积. 已知椭圆 ( )的右 焦点为 ,过F作直线l交椭圆于A、B两点,若弦 中点坐标为 ,则椭圆的面积为( ) A. B. C. D. 【答案】C 【分析】利用作差法构建斜率、中点坐标相关方程 ,再结合 即可求解出 a、b,进而求出面积. 【详解】设 , ,则有 ,两式作差得: , 即 , 弦 中点坐标为 ,则 , 又∵ ,∴ ,∴ , 又∵ ,∴可解得 , ,故椭圆的面积为 . 3.阿基米德在他的著作《关于圆锥体和球体》中计算了一个椭圆的面积.当我们垂直地缩小一个圆时, 我们得到一个椭圆,椭圆的面积等于圆周率 与椭圆的长半轴长与短半轴长的乘积,已知椭圆 的面积为 ,两个焦点分别为 ,点P为椭圆C的上顶点.直线 与椭 圆C交于A,B两点,若 的斜率之积为 ,则椭圆C的长轴长为( ) A.3 B.6 C. D. 【答案】B 【分析】由题意得到方程组 ①和 ②,即可解出a、b,求出长轴长. 【详解】椭圆的面积 ,即 ①. 因为点P为椭圆C的上顶点,所以 . 资料整理【淘宝店铺:向阳百分百】因为直线 与椭圆C交于A,B两点,不妨设 ,则 且 ,所以 . 因为 的斜率之积为 ,所以 ,把 代入整理化简得: ② ①②联立解得: .所以椭圆C的长轴长为2a=6. 4.19世纪法国著名数学家加斯帕尔·蒙日,创立了画法几何学,推动了空间几何学的独立发展.提出了著名 的蒙日圆定理:椭圆的两条切线互相垂直,则切线的交点位于一个与椭圆同心的圆上,称为蒙日圆,且该 圆的半径等于椭圆长半轴长与短半轴长的平方和的算术平方根.若圆 上有且只有一个点 在椭圆 的蒙日圆上,则 的值为( ) A. B. C. D. 【答案】C 【分析】根据题意得椭圆 的蒙日圆方程为 ,进而得该圆与已知圆相切,再根据圆的位 置关系求解即可. 【详解】解:根据题意,椭圆 的蒙日圆方程为 , 因为圆 上有且只有一个点在椭圆 的蒙日圆上,所以该圆与已知圆相切, 又两圆圆心间距离为 , 所以 或 (无解,舍去),解得 5.古希腊数学家阿波罗尼奥斯在研究圆锥曲线时发现了它们的光学性质.比如椭圆,他发现如果把椭圆 焦点F一侧做成镜面,并在F处放置光源,那么经过椭圆镜面反射的光线全部都会经过另一个焦点.设椭 圆方程 为其左、右焦点,若从右焦点 发出的光线经椭圆上的点A和点B反射 后,满足 ,则该椭圆的离心率为 . 资料整理【淘宝店铺:向阳百分百】【答案】 / 【分析】根据光学性质,在 中由椭圆的定义可求出 ,再由直角三角形求出 ,计算离心率即可. 【详解】由椭圆的光学性质可知, 都经过 ,且在 中 , ,如图, 所以 , 由椭圆的定义可知 ,即 ,又 , 可得 ,在 中, , 所以 , 所以 . 1.如图,一个装有某种液体的圆柱形容器固定在墙面和地面的角落内,容器与地面所成的角为 ,液面 呈椭圆形,椭圆长轴上的顶点 , 到容器底部的距离分别是12和18,则容器内液体的体积是( ) 资料整理【淘宝店铺:向阳百分百】A. B. C. D. 【答案】C 【分析】根据条件通过作垂线,求得底面圆的半径,将液体的体积看作等于一个底面半径为 ,高为 的圆柱体积的一半,即可求解答案. 【详解】如图为圆柱的轴截面图,过M作容器壁的垂线,垂足为F, 因为MN平行于地面,故 , 椭圆长轴上的顶点 , 到容器底部的距离分别是12和18,故 , 在 中, ,即圆柱的底面半径为 , 所以容器内液体的体积等于一个底面半径为 ,高为 的圆柱体积的一半, 即为 . 2.黄金分割起源于公元前6世纪古希腊的毕达哥拉斯学派,公元前4世纪,古希腊数学家欧多克索斯第一 个系统研究了这一问题,公元前300年前后欧几里得撰写《几何原本》时吸收了欧多克索斯的研究成果, 进一步系统论述了黄金分割,成为最早的有关黄金分割的论著.黄金分割是指将整体一分为二,较大部分与 整体部分的比值等于较小部分与较大部分的比值,其比值为 ,把 称为黄金分割数.已知焦点在 轴上的椭圆 的焦距与长轴长的比值恰好是黄金分割数,则实数 的值为( ) A. B. C.2 D. 【答案】A 【分析】根据题意确定 以及 ,再根据焦距与长轴长的比值恰好是黄金 分割数列出等式,化简即可得答案. 【详解】焦点在 轴上的椭圆 中, , 所以 , 由题意得 ,即 ,即 , 资料整理【淘宝店铺:向阳百分百】解得 . 3.椭圆具有这样的光学性质:从椭圆的一个焦点发出的光线,经过椭圆反射后,反射光线都经过椭圆的 另一焦点.电影放映机聚光灯泡的反射镜轴截面是椭圆的一部分,灯丝(看成一个点)在椭圆的右焦点 处, 灯丝与反射镜的顶点A的距离 ,过焦点 且垂直于轴的弦 ,在x轴上移动电影机 片门,将其放在光线最强处,则片门应离灯丝( ) cm. A.10 B.11 C.12 D.13 【答案】C 【分析】根据题设及椭圆参数关系有 求出椭圆参数,利用椭圆的性质知片门放在光线最强处 应离灯丝 . 【详解】由题设知: ,解得 , 所以片门放在光线最强处,片门应离灯丝为 . 【基础过关】 1.已知 分别为椭圆 的左,右焦点, 为上顶点,则 的面积为( ) A. B. C. D. 资料整理【淘宝店铺:向阳百分百】【答案】D 【分析】根据椭圆方程求出焦点坐标和点A的坐标,进而求出三角形的面积. 【详解】由椭圆方程 得 . . 2.已知 , 是椭圆 的两个焦点,P为椭圆C上一点,且 ,若 的面积为 ,则 ( ) A.9 B.3 C.4 D.8 【答案】B 【分析】由椭圆定义与余弦定理,三角形面积公式求解 【详解】法一:设 , ,则 , ,∴ . 又 ,∴ ,解得 . 法二:由焦点三角形面积公式得 3.(2018年全国普通高等学校招生统一考试文科数学(新课标I卷))已知椭圆 : 的 一个焦点为 ,则 的离心率为( ) A. B. C. D. 【答案】C 【详解】分析:首先根据题中所给的条件椭圆的一个焦点为 ,从而求得 ,再根据题中所给的方 程中系数,可以得到 ,利用椭圆中对应 的关系,求得 ,最后利用椭圆离心率的公式求 得结果. 详解:根据题意,可知 ,因为 , 所以 ,即 ,所以椭圆 的离心率为 . 点睛:该题考查的是有关椭圆的离心率的问题,在求解的过程中,一定要注意离心率的公式,再者就是要 学会从题的条件中判断与之相关的量,结合椭圆中 的关系求得结果. 资料整理【淘宝店铺:向阳百分百】4.(2017年全国普通高等学校招生统一考试文科数学(新课标3卷))(2017新课标全国卷Ⅲ文科)已 知椭圆C: 的左、右顶点分别为A ,A ,且以线段A A 为直径的圆与直线 1 2 1 2 相切,则C的离心率为( ) A. B. C. D. 【答案】A 【详解】以线段 为直径的圆的圆心为坐标原点 ,半径为 ,圆的方程为 , 直线 与圆相切,所以圆心到直线的距离等于半径,即 , 整理可得 ,即 即 , 从而 ,则椭圆的离心率 , 【名师点睛】解决椭圆和双曲线的离心率的求值及取值范围问题,其关键就是确立一个关于 的方程或不等式,再根据 的关系消掉 得到 的关系式,而建立关于 的方程 或不等式,要充分利用椭圆和双曲线的几何性质、点的坐标的范围等. 5.已知椭圆 : 的中心为 ,过焦点 的直线 与 交于 , 两点,线段 的中点 为 ,若 ,则椭圆 的方程为( ) A. B. C. D. 【答案】B 【分析】设 , ,利用中点坐标公式得到 ,再利用 得到 、 、 的方程组即可求解. 【详解】设 , ,则 , 因为 ,所以 , 资料整理【淘宝店铺:向阳百分百】所以 , 即 , 解得 , , ,所以椭圆 的方程为 . 6.(2023届浙江省名校联盟联考数学试题)已知点 、 ,直线 ,动点 到点 的距 离和它到直线 的距离之比为 ,则 的最大值是( ) A. B. C. D. 【答案】C 【分析】设点 ,由题意可求出点 的轨迹方程,再利用平面内两点间的距离公式和二次函数的基本 性质可求得 的最大值. 【详解】设点 ,由题意可得 ,整理可得 , 则 ,其中 , 所以, , 所以,当 时, 取最大值,即 . 7.已知 为坐标原点, 是椭圆 的左焦点, 分别为 的左,右顶点. 为 上一点,且 轴.直线 与 轴交于点 ,若直线 经过 的中点,则 的离心率为( ) 资料整理【淘宝店铺:向阳百分百】A. B. C. D. 【答案】A 【分析】由题意,根据椭圆的标准方程,写出顶点与焦点坐标,由垂直,求得点 的坐标,写出直线 , 进而求出 的坐标,根据中点坐标公式,结合斜率公式,可得答案. 【详解】由 ,则 ,由 ,则 , 将 代入方程 ,则 , ,不妨设 , 直线 的斜率 ,则直线方程为 , 令 ,则 ,即 ,故 的中点为 , 由直线 过 的中点,则 ,即 , , , . 8.已知 , 是椭圆的左、右焦点,若椭圆上存在点 ,使 ,则椭圆的离心率的取值范围 是 . 【答案】 【分析】根据椭圆的性质,只需保证 为椭圆上下顶点时 即可,应用余弦定理列不等式,结 合椭圆离心率范围求离心率取值范围. 【详解】由椭圆性质知:当 为椭圆上下顶点时 最大, 所以椭圆上存在点 使 ,只需 最大的情况下,有 , 又椭圆离心率 ,故 .故答案为: 9.(2023年浙江省名校协作体模拟考试数学试题)已知 分别为椭圆 的左、右 焦点,过 的直线与 交于 两点,若 ,则 的离心率是( ) 资料整理【淘宝店铺:向阳百分百】A. B. C. D. 【答案】D 【分析】由已知,画出图像,根据 ,可令 ,然后表示出 , ,然后利 用椭圆定义找到 与 之间的关系,然后用 分别表示出 、 、 ,在 中,利用勾股定理 判定 ,然后在 中,可表示出 与 之间的关系,从而求解离心率. 【详解】由已知,可根据条件做出下图: 因为 ,令 , 所以 , ,由椭圆的定义可知 , 所以 ,所以 , , , , 由椭圆的定义可知 , 在 中, ,所以 , 在 中, ,所以 所以 .所以 的离心率是 . 10.已知F是椭圆 的左焦点,P为椭圆C上任意一点,点Q坐标为 ,则 的 最大值为( ) A.3 B.5 C. D.13 【答案】B 【分析】由 ,结合图形即得. 资料整理【淘宝店铺:向阳百分百】【详解】因为椭圆 , 所以 , ,则椭圆的右焦点为 , 由椭圆的定义得: , 当点P在点 处,取等号,所以 的最大值为5. 11.已知点 是椭圆 上的任意一点,过点 作圆 : 的切线,设其中一个切点为 ,则 的取值范围为( ) A. B. C. D. 【答案】B 【分析】设 ,得到 ,利用椭圆的范围求解. 【详解】解:设 , 则 , , , 因为 , 所以 ,即 . 12.已知 是椭圆 的右焦点,点 在 上,直线 与 轴交于点 ,点 为C上的 动点,则 的最小值为( ) A. B. C. D. 资料整理【淘宝店铺:向阳百分百】【答案】C 【分析】由题可得椭圆 ,进而可得 ,利用向量数量积的坐标表示可得 ,再结合条件及二次函数的性质即求. 【详解】由题可得 , ∴ ,即椭圆 , ∴ ,直线 方程为 , ∴ ,又 , 设 ,则 , , ∴ ,又 , ∴当 时, 有最小值为 . 13.已知点 是椭圆 上异于顶点的动点, 、 为椭圆的左、右焦点, 为坐标原点,若 是 平分线上的一点,且 ,则 的取值范围是( ) A. B. C. D. 【答案】C 【分析】延长 、 相交于点 ,连接 ,利用椭圆的定义分析得出 ,设点 ,求出 的取值范围,利用椭圆的方程计算得出 ,由此可得出结果. 资料整理【淘宝店铺:向阳百分百】【详解】如下图,延长 、 相交于点 ,连接 , 因为 ,则 , 因为 为 的角平分线,所以, ,则点 为 的中点, 因为 为 的中点,所以, , 设点 ,由已知可得 , , , 则 且 ,且有 , , 故 , 所以, . 14.我国自主研发的“嫦娥四号”探测器成功着陆月球,并通过“鹊桥”中继星传回了月球背面影像图. 假设“嫦娥四号”在月球附近一点P变轨进入以月球球心F为一个焦点的椭圆轨道绕月飞行,其轨道的离 心率为e,设月球的半径为R,“嫦娥四号”到月球表面最近的距离为r,则“嫦娥四号”到月球表面最远 的距离为( ) A. B. C. D. 【答案】B 【分析】设卫星近地点远地点离月球表面的距离分别为 ,根据椭圆的性质以及离心率得出“嫦娥四 号”到月球表面最远的距离. 资料整理【淘宝店铺:向阳百分百】【详解】椭圆的离心率 ,设卫星近地点远地点离月球表面的距离分别为 则 15.已知椭圆 过点 ,且离心率 为 (1)求椭圆 的方程; (2) 、 是椭圆上的两个动点,如果直线 的斜率与 的斜率互为相反数,证明直线 的斜率为定值, 并求出这个定值. 【答案】(1) ;(2)证明见解析, . 【分析】(1)根据椭圆离心率的公式,结合代入法、椭圆中 的关系进行求解即可; (2)设出直线方程与椭圆方程联立,求出 、 两点坐标,最后根据直线斜率的公式进行求解即可. 【详解】(1)根据题意, , 解得 , 椭圆 的方程为: ; (2)证明:设直线 的方程为: , 资料整理【淘宝店铺:向阳百分百】由 ,得 显然 是该方程的根,因此有 , , 由题可知直线 的方程为 ,同理可得 , , 直线 的斜率为定值,且这个定值为 . 【点睛】关键点睛:利用一元二次方程根与系数关系求出两点坐标是解题的关键. 16.已知双曲线 与椭圆 有公共焦点,且它的一条渐近线方程为 . (1)求椭圆 的焦点坐标; (2)求双曲线 的标准方程. 【答案】(1) ;(2) . 【分析】(1)由椭圆方程及其参数关系求出参数c,即可得焦点坐标. (2)由渐近线及焦点坐标,可设双曲线方程为 ,再由双曲线参数关系求出参数 ,即 可得双曲线标准方程. 【详解】(1)由题设, ,又 , 所以椭圆 的焦点坐标为 . (2)由题设,令双曲线 为 , 由(1)知: ,可得 ,所以双曲线 的标准方程为 . 17.已知椭圆 : ( )的左、右焦点分别为 , ,离心率为 ,长轴长为4. (1)求椭圆 的标准方程; 资料整理【淘宝店铺:向阳百分百】(2)已知直线 的过定点 ,若椭圆 上存在两点 , 关于直线 对称,求直线 斜率 的取值范围. 【答案】(1) ;(2) ; 【分析】(1)由椭圆的离心率为 ,长轴长为 求解; (2)设直线方程为: , ,AB中点的坐标为 ,利用点差法求得中点 坐标,再由线段AB的中点在椭圆内部,即 求解. 【详解】(1)解:因为椭圆的离心率为 ,长轴长为 , 解得 ,则 , 所以椭圆 的标准方程是 ; (2)易知直线的斜率存在,设直线方程为: , , AB中点的坐标为 , 则 ,两式相减得 , 即 ,又 , 解得 , 因为线段AB的中点在椭圆内部, 所以 ,即 , 解得 , 所以直线 斜率 的取值范围 18.已知椭圆 : 过点 ,且椭圆的离心率为 . (Ⅰ)求椭圆 的方程; 资料整理【淘宝店铺:向阳百分百】(Ⅱ)斜率为 的直线 交椭圆 于 , 两点,且 .若直线 上存在点P,使得 是以 为顶角的等腰直角三角形,求直线 的方程. 【答案】(Ⅰ) (Ⅱ) y=x-1 【分析】(Ⅰ)由椭圆C: 1(a>b>0)过点A(0,1),且椭圆的离心率为 ,列方程组求 出a,b,由此能求出椭圆C的方程. (Ⅱ)设直线l的方程为y=x+m,P(3,yP),由 ,得4x2+6mx+3m2﹣3=0,利用根的判别式、 韦达定理、中点坐标公式,结合已知条件能求出直线l的方程. 【详解】(Ⅰ)由题意得 解得 . 所以椭圆 的方程为 . (Ⅱ)设直线l的方程为y=x+m, 由 得 . 令 ,得 . , . 因为 是以 为顶角的等腰直角三角形, 所以 平行于 轴. 过 做 的垂线,则垂足 为线段 的中点. 设点 的坐标为 ,则 . 由方程组 解得 ,即 . 而 , 所以直线 的方程为y=x-1. 资料整理【淘宝店铺:向阳百分百】【点睛】本题考查椭圆方程、直线方程的求法,考查椭圆、直线方程、根的判别式、韦达定理、中点坐标 公式等基础知识,考查运算求解能力、推理论证能力,是中档题. 【能力提升】 1.已知椭圆 的左右焦点为 ,若椭圆C上恰好有6个不同的点P,使得 为等腰三角形,则椭圆C的离心率的取值范围是( ) A. B. C. D. 【答案】A 【分析】由题可知六个 点,有两个是短轴端点,因此在四个象限各一个,设 是第一象限内的点, 分 或 ,列方程组求得 点横坐标 ,由 可得离心率范围;或结合椭圆的性 质列出不等关系即得. 【详解】法一:显然, 是短轴端点时, ,满足 为等腰三角形,因此由对称性,还有四 个点在四个象限内各有一个, 设 是第一象限内使得 为等腰三角形的点, 若 ,则 ,又 , 消去 整理得: , 解得 (舍去)或 , 由 得 , 所以 ,即 , 若 ,则 ,又 , 消去 整理得: , 解得 或 , 舍去. 资料整理【淘宝店铺:向阳百分百】所以 , 所以 ,即 , 时, , 是等边三角形, 只能是短轴端点,只有2个,不合题意. 综上, 的范围是 . 法二:①当点 与短轴的顶点重合时, 构成以 为底边的等腰三角形,此种情况有2个满足条件 的 ; ②当 构成以 为一腰的等腰三角形时,根据椭圆的对称性,只要在第一象限内的椭圆上恰好有一 点 满足 为等腰三角形即可,则 或 当 时,则 ,即 ,则 , 当 时,则有 ,则 , 综上所述,椭圆的离心率取值范围是 . 2.(2023届广东省二模数学试题)已知 、 分别为椭圆 的左、右焦点, 是过椭圆右顶点 且与长轴垂直的直线上的动点,则 的最大值为 . 【答案】 / 【分析】设点 在直线 上,设点 ,当 时,求出 的值,当点 不为长轴端点时, 设 ,设直线 、 的倾斜角分别为 、 ,可求出 关于 的表达式,利用基本 不等式可求得 的最大值,可得出 的最大值,即可求得 的最大值. 【详解】不妨设点 在直线 上, 资料整理【淘宝店铺:向阳百分百】若点 为 ,则 , 当点 不为长轴端点时,由对称性,不妨设点 在第一象限,设点 , 在椭圆 中, , , ,则点 、 , 设直线 、 的倾斜角分别为 、 ,则 , , 所以, , 当且仅当 时,即当 时,等号成立,所以, 的最大值为 , 所以, . 3.已知 , 是椭圆和双曲线的公共焦点, 是它们的一个公共点,且 ,设椭圆和双曲线的 离心率分别为 ,则 的最大值为 【答案】 【分析】由题,根据椭圆和双曲线的定义可表示出 ,再利用余弦定理可得 ,最后再利 用柯西不等式可的结果. 【详解】由题,设椭圆为: ,双曲线为: 由定义可得 资料整理【淘宝店铺:向阳百分百】在三角形 中,由余弦定理可得: 整理可得: 由柯西不等式: 所以 ,当且仅当 时取等号. 【点睛】本题考查了椭圆和双曲线的综合知识,熟悉性质和定义是解题的关键,还有了解余弦定理以及柯 西不等式,综合性强,属于难题. 4.已知点 是椭圆 的上顶点, 分别是椭圆左右焦点,直线 将三角形 分割为面积相等两部分,则 的取值范围是( ) A. B. C. D. 【答案】B 【分析】由题意, , , ,先求出直线y=ax+b(a>0)与x轴的交点为 , 由 ,可得点M在射线 上.再求出直线y=ax+b(a>0)和 的交点N的坐标,分三种情况讨 论:①若点M和点 重合,求得 ;②若点M在点O和点 之间,求得 ;③若点M在点 的左侧,求得 .求并集即可得b的取值范围. 【详解】解:因为点 是椭圆 的上顶点, 分别是椭圆左右焦点, 所以 , ,从而有 , 所以 , , , 由题意,三角形 的面积为 1, 资料整理【淘宝店铺:向阳百分百】设直线y=ax+b(a>0)与x轴的交点为 ,由直线y=ax+b(a>0)将三角形 分割为面积 相等的两部分,可得 ,所以 ,故点M在射线 上. 设直线y=ax+b和 的交点为N,则由 可得点N的坐标为 . ①若点M和点 重合,如图: 则点N为线段 的中点,故N , 把 、N两点的坐标代入直线y=ax+b,求得a=b . ②若点M在点O和点 之间,如图: 此时 ,点N在点 和点 之间, 由题意可得三角形 的面积等于 ,即 , 即 ,可得a ,求得 , 故有 . ③若点M在点 的左侧, 资料整理【淘宝店铺:向阳百分百】则 ,由点M的横坐标 ,求得b>a. 设直线y=ax+b和 的交点为P,则由 求得点P的坐标为 , 此时,由题意可得,三角形APN的面积等于 ,即 , 即 ,化简可得 . 由于此时 b>a>0,所以 . 两边开方可得 ,所以 ,化简可得 , 故有 . 综上,b的取值范围应是 . 【点睛】关键点点睛:本题的解题关键是,由题意分析得直线y=ax+b(a>0)与x轴的交点M在射线 上,然后分三种情况进行讨论:①若点M和点 重合;②若点M在点O和点 之间;③若点M在点 的 左侧. 5.如图,已知 , 分别是椭圆 : 的左、右焦点,过 的直线 与过 的直线 交于点 , 线段 的中点为 ,线段 的垂直平分线 与 的交点 (第一象限)在椭圆上,若 为坐标原点, 则 的取值范围为( ) 资料整理【淘宝店铺:向阳百分百】A. B. C. D. 【答案】D 【分析】利用三角形的中位线、线段的中垂线、椭圆的定义对 转化,用P点的坐标表示,通过P点在 第一想象的范围,求出范围. 【详解】如图所示,点 在 轴右边, 因为 为 的垂直平分线,所以 . 由中位线定理可得 . 设点 . 由两点间的距离公式,得 , 同理可得 , 所以 ,故 , 因为 , ,所以 , 故 ,所以 . 因为 ,所以 . 故 的取值范围为 . 【点睛】本题考查了椭圆的定义、直线和椭圆的关系、三角形中位线和线段的中垂线的几何性质,考查了 数学运算能力和逻辑推理能力,转化的数学思想,属于难题. 6.已知P是椭圆 上一动点, , 是椭圆的左、右焦点,当 时, 资料整理【淘宝店铺:向阳百分百】;当线段 的中点落到y轴上时, ,则点P运动过程中, 的取值 范围是( ) A. B. C. D. 【答案】A 【分析】设 .先由题意求出椭圆标准方程为. .把 转化为 ,由 求出 ,即可求得. 【详解】设 . 在 中,当 时,由椭圆的定义,余弦定理得: 整理得: 由三角形的面积公式得: ,解得: . 因为线段 的中点落到y轴上,又O为 的中点,所以 轴,即 . 由 ,得 ,解得: ,所以 , 代入椭圆标准方程得: . 又有 ,解得: ,所以椭圆标准方程为: . 所以 . 因为 ,所以 . 所以 . 因为 , 当 时, ,所以 . 【点睛】解析几何中与动点有关的最值问题一般的求解思路: 资料整理【淘宝店铺:向阳百分百】①几何法:利用图形作出对应的线段,利用几何法求最值; ②代数法:把待求量的函数表示出来,利用函数求最值. 7.设F,F 是椭圆C: =1(a>b>0)的左、右焦点,O为坐标原点,点P在椭圆C上,延长PF 交椭 1 2 2 圆C于点Q,且|PF| =|PQ|,若 PFF 的面积为 ,则 =( ) 1 1 2 A. B. C. D. 【答案】B 【分析】利用焦点三角形的面积公式及椭圆的定义可得 ,进一步得 FPQ为等边三角形,且 1 轴,从而可得解. 【详解】由椭圆的定义, , 由余弦定理有: , 化简整理得: ,又 , 由以上两式可得: 由 ,得 ,∴ , 又 ,所以 FPQ为等边三角形,由椭圆对称性可知 轴,所以 . 1 资料整理【淘宝店铺:向阳百分百】8.如图所示,“嫦娥五号”月球探测器飞行到月球附近时,首先在以月球球心F为圆心的圆形轨道Ⅰ上 绕月球飞行,然后在P点处变轨进以F为一个焦点的椭圆轨道Ⅱ绕月球飞行,最后在Q点处变轨进入以F 为圆心的圆形轨道Ⅲ绕月球飞行,设圆形轨道Ⅰ的半径为R,圆形轨道Ⅲ的半径为r,则下列结论中正确的 序号为( ) ①轨道Ⅱ的焦距为 ;②若R不变,r越大,轨道Ⅱ的短轴长越小; ③轨道Ⅱ的长轴长为 ;④若r不变,R越大,轨道Ⅱ的离心率越大. A.①②③ B.①②④ C.①③④ D.②③④ 【答案】C 【分析】根据椭圆中一个焦点与长轴两顶点的距离分别为 ,分别结合圆的半径R和r分析选项即 可求解. 【详解】①由椭圆的性质知, ,解得 ,故正确; ②由①知 ,所以 , 若R不变,r越大, 越大,轨道Ⅱ的短轴长越小错误;故错误; ③由①知 ,故轨道Ⅱ的长轴长为 ,故正确; ④因为 ,若r不变,R越大,则 越小, 所以 越大,轨道Ⅱ的离心率越大,故正确. 【点睛】关键点点睛:根据示意图,理解并找出椭圆中 与圆半径的关系,是解决问题的关键,属于 中档题. 9.(2020年新高考全国卷Ⅰ数学高考试题(山东))已知椭圆C: 的离心率为 , 且过点 . (1)求 的方程: 资料整理【淘宝店铺:向阳百分百】(2)点 , 在 上,且 , , 为垂足.证明:存在定点 ,使得 为定值. 【答案】(1) ;(2)详见解析. 【分析】(1)由题意得到关于 的方程组,求解方程组即可确定椭圆方程. (2)方法一:设出点 , 的坐标,在斜率存在时设方程为 , 联立直线方程与椭圆方程,根据 已知条件,已得到 的关系,进而得直线 恒过定点,在直线斜率不存在时要单独验证,然后结合直 角三角形的性质即可确定满足题意的点 的位置. 【详解】(1)由题意可得: ,解得: , 故椭圆方程为: . (2)[方法一]:通性通法 设点 , 若直线 斜率存在时,设直线 的方程为: , 代入椭圆方程消去 并整理得: , 可得 , , 因为 ,所以 ,即 , 根据 ,代入整理可得: , 所以 , 整理化简得 , 因为 不在直线 上,所以 , 故 ,于是 的方程为 , 所以直线过定点直线过定点 . 当直线 的斜率不存在时,可得 , 由 得: , 资料整理【淘宝店铺:向阳百分百】得 ,结合 可得: , 解得: 或 (舍). 此时直线 过点 . 令 为 的中点,即 , 若 与 不重合,则由题设知 是 的斜边,故 , 若 与 重合,则 ,故存在点 ,使得 为定值. [方法二]【最优解】:平移坐标系 将原坐标系平移,原来的O点平移至点A处,则在新的坐标系下椭圆的方程为 ,设直 线 的方程为 .将直线 方程与椭圆方程联立得 ,即 ,化简得 ,即 . 设 ,因为 则 ,即 . 代入直线 方程中得 .则在新坐标系下直线 过定点 ,则在原坐标系下 直线 过定点 . 又 ,D在以 为直径的圆上. 的中点 即为圆心Q.经检验,直线 垂直于x轴时也 成立. 故存在 ,使得 . [方法三]:建立曲线系 A点处的切线方程为 ,即 .设直线 的方程为 ,直线 的 方程为 ,直线 的方程为 .由题意得 . 则过A,M,N三点的二次曲线系方程用椭圆及直线 可表示为 资料整理【淘宝店铺:向阳百分百】(其中 为系数). 用直线 及点A处的切线可表示为 (其中 为系数). 即 . 对比 项、x项及y项系数得 将①代入②③,消去 并化简得 ,即 . 故直线 的方程为 ,直线 过定点 .又 ,D在以 为直径的圆上. 中点 即为圆心Q. 经检验,直线 垂直于x轴时也成立.故存在 ,使得 . [方法四]: 设 . 若直线 的斜率不存在,则 . 因为 ,则 ,即 . 由 ,解得 或 (舍). 所以直线 的方程为 . 若直线 的斜率存在,设直线 的方程为 ,则 . 令 ,则 . 又 ,令 ,则 . 因为 ,所以 , 即 或 . 当 时,直线 的方程为 .所以直线 恒过 ,不合题意; 资料整理【淘宝店铺:向阳百分百】当 时,直线 的方程为 ,所以直线 恒过 . 综上,直线 恒过 ,所以 . 又因为 ,即 ,所以点D在以线段 为直径的圆上运动. 取线段 的中点为 ,则 . 所以存在定点Q,使得 为定值. 【整体点评】(2)方法一:设出直线 方程,然后与椭圆方程联立,通过题目条件可知直线过定点 , 再根据平面几何知识可知定点 即为 的中点,该法也是本题的通性通法; 方法二:通过坐标系平移,将原来的O点平移至点A处,设直线 的方程为 ,再通过与椭圆方 程联立,构建齐次式,由韦达定理求出 的关系,从而可知直线过定点 ,从而可知定点 即为 的中 点,该法是本题的最优解; 方法三:设直线 ,再利用过点 的曲线系,根据比较对应项系数可求出 的关系, 从而求出直线过定点 ,故可知定点 即为 的中点; 方法四:同方法一,只不过中间运算时采用了一元二次方程的零点式赋值,简化了求解 以及 的计算. 10.(2023届浙江省教学质量检测(二模)数学试题)已知椭圆 的离心率为 , 左、右顶点分别为 、 ,点 、 为椭圆上异于 、 的两点, 面积的最大值为 . (1)求椭圆 的方程; (2)设直线 、 的斜率分别为 、 ,且 . ①求证:直线 经过定点. ②设 和 的面积分别为 、 ,求 的最大值. 【答案】(1) ;(2)①证明见解析;② ; 【分析】(1)根据题意可得出关于 、 、 的方程组,解出这三个量的值,即可得出椭圆 的方程; (2)①分析可知直线 不与 轴垂直,设直线 的方程为 ,可知 ,设点 、 .将直线 的方程的方程与椭圆 的方程联立,列出韦达定理,利用 求出 的值,即可得 出直线 所过定点的坐标; ②写出 关于 的函数关系式,利用对勾函数的单调性可求得 的最大值. 资料整理【淘宝店铺:向阳百分百】【详解】(1)解:当点 为椭圆 短轴顶点时, 的面积取最大值, 且最大值为 , 由题意可得 ,解得 , 所以,椭圆 的标准方程为 . (2)解:①设点 、 . 若直线 的斜率为零,则点 、 关于 轴对称,则 ,不合乎题意. 设直线 的方程为 ,由于直线 不过椭圆 的左、右焦点,则 , 联立 可得 , ,可得 , 由韦达定理可得 , ,则 , 所以, ,解得 , 即直线 的方程为 ,故直线 过定点 . ②由韦达定理可得 , , 所以, , ,则 , 因为函数 在 上单调递增,故 , 资料整理【淘宝店铺:向阳百分百】所以, ,当且仅当 时,等号成立, 因此, 的最大值为 . 【点睛】方法点睛:求解直线过定点问题常用方法如下: (1)“特殊探路,一般证明”:即先通过特殊情况确定定点,再转化为有方向、有目的的一般性证明; (2)“一般推理,特殊求解”:即设出定点坐标,根据题设条件选择参数,建立一个直线系或曲线的方 程,再根据参数的任意性得到一个关于定点坐标的方程组,以这个方程组的解为坐标的点即为所求点; (3)求证直线过定点 ,常利用直线的点斜式方程 或截距式 来证明. 11.(2019年北京市高考数学试题(文科))已知椭圆 的右焦点为 ,且经过点 . (Ⅰ)求椭圆C的方程; (Ⅱ)设O为原点,直线 与椭圆C交于两个不同点P,Q,直线AP与x轴交于点M,直 线AQ与x轴交于点N,若|OM|·|ON|=2,求证:直线l经过定点. 【答案】(Ⅰ) ;(Ⅱ)见解析. 【分析】(Ⅰ)由题意确定a,b的值即可确定椭圆方程; (Ⅱ)设出直线方程,联立直线方程与椭圆方程确定OM,ON的表达式,结合韦达定理确定t的值即可证明直 线恒过定点. 【详解】(Ⅰ)因为椭圆的右焦点为 ,所以 ; 因为椭圆经过点 ,所以 ,所以 ,故椭圆的方程为 . (Ⅱ)设 联立 得 , , , . 直线 ,令 得 ,即 ; 资料整理【淘宝店铺:向阳百分百】同理可得 . 因为 ,所以 ; ,解之得 ,所以直线方程为 ,所以直线 恒过定点 . 【点睛】解决直线与椭圆的综合问题时,要注意: (1)注意观察应用题设中的每一个条件,明确确定直线、椭圆的条件; (2)强化有关直线与椭圆联立得出一元二次方程后的运算能力,重视根与系数之间的关系、弦长、斜率、三 角形的面积等问题. 12.已知椭圆 的离心率为 ,短轴长为4; (1)求C的方程; (2)过点 作两条相互垂直的直线上 和 ,直线 与C相交于两个不同点A,B,在线段 上取点 Q,满足 ,直线 交y轴于点R,求 面积的最小值. 【答案】(1) ;(2)1. 【分析】(1)由题可得 ,即得; (2)由题可设 的方程为 ,利用韦达定理法可得 ,进而可得 ,然后利 用面积公式及基本不等式即求. 【详解】(1)由题可得 , ∴ , ∴椭圆C的方程为 ; (2)由题可知直线 的斜率存在且不为0,设直线 的方程为 , , 由 ,可得 , 资料整理【淘宝店铺:向阳百分百】由 ,可得 ,或 , ∴ , 由 及 四点共线,知 , ∴ , 则 , ∵ 和 相互垂直,则 的方程为 ,令 ,得 , ∴ , , ∴ 面积为 , 当且仅当 ,即 等号成立,所以 面积的最小值为1. 【真题感知】 1.(2023年高考全国甲卷数学(理)真题)设O为坐标原点, 为椭圆 的两个焦点,点 P在C上, ,则 ( ) A. B. C. D. 【答案】B 【分析】方法一:根据焦点三角形面积公式求出 的面积,即可得到点 的坐标,从而得出 的 值; 方法二:利用椭圆的定义以及余弦定理求出 ,再结合中线的向量公式以及数量积即 可求出; 方法三:利用椭圆的定义以及余弦定理求出 ,即可根据中线定理求出. 资料整理【淘宝店铺:向阳百分百】【详解】方法一:设 ,所以 , 由 ,解得: , 由椭圆方程可知, , 所以, ,解得: , 即 ,因此 . 方法二:因为 ①, , 即 ②,联立①②, 解得: , 而 ,所以 , 即 . 方法三:因为 ①, , 即 ②,联立①②,解得: , 由中线定理可知, ,易知 ,解得: . 【点睛】本题根据求解的目标可以选择利用椭圆中的二级结论焦点三角形的面积公式快速解出,也可以常 规利用定义结合余弦定理,以及向量的数量积解决中线问题的方式解决,还可以直接用中线定理解决,难 度不是很大. 2.(2023年高考全国甲卷数学(文)真题)设 为椭圆 的两个焦点,点 在 上,若 ,则 ( ) A.1 B.2 C.4 D.5 【答案】B 【分析】方法一:根据焦点三角形面积公式求出 的面积,即可解出; 方法二:根据椭圆的定义以及勾股定理即可解出. 【详解】方法一:因为 ,所以 , 资料整理【淘宝店铺:向阳百分百】从而 ,所以 . 方法二:因为 ,所以 ,由椭圆方程可知, , 所以 ,又 ,平方得: ,所以 . 3.(2023年新课标全国Ⅰ卷数学真题)设椭圆 的离心率分别为 . 若 ,则 ( ) A. B. C. D. 【答案】A 【分析】根据给定的椭圆方程,结合离心率的意义列式计算作答. 【详解】由 ,得 ,因此 ,而 ,所以 . 4.(2023年北京高考数学真题)已知椭圆 的离心率为 ,A、C分别是E的上、 下顶点,B,D分别是 的左、右顶点, . (1)求 的方程; (2)设 为第一象限内E上的动点,直线 与直线 交于点 ,直线 与直线 交于点 .求证: . 【答案】(1) ;(2)证明见解析; 【分析】(1)结合题意得到 , ,再结合 ,解之即可; (2)依题意求得直线 、 与 的方程,从而求得点 的坐标,进而求得 ,再根据题意求得 ,得到 ,由此得解. 【详解】(1)依题意,得 ,则 , 又 分别为椭圆上下顶点, ,所以 ,即 , 所以 ,即 ,则 , 资料整理【淘宝店铺:向阳百分百】所以椭圆 的方程为 . (2)因为椭圆 的方程为 ,所以 , 因为 为第一象限 上的动点,设 ,则 , 易得 ,则直线 的方程为 , ,则直线 的方程为 , 联立 ,解得 ,即 , 而 ,则直线 的方程为 , 令 ,则 ,解得 ,即 , 又 ,则 , , 所以 , 又 ,即 , 显然, 与 不重合,所以 . 资料整理【淘宝店铺:向阳百分百】5.(2022年全国高考甲卷数学(理)试题)椭圆 的左顶点为A,点P,Q均在C 上,且关于y轴对称.若直线 的斜率之积为 ,则C的离心率为( ) A. B. C. D. 【答案】A 【分析】设 ,则 ,根据斜率公式结合题意可得 ,再根据 ,将 用 表示,整理,再结合离心率公式即可得解. 【详解】[方法一]:设而不求 设 ,则 则由 得: , 由 ,得 , 所以 ,即 , 所以椭圆 的离心率 ,故选A. [方法二]:第三定义 设右端点为B,连接PB,由椭圆的对称性知: 故 , 由椭圆第三定义得: ,故 所以椭圆 的离心率 . 6.(2022年全国新高考I卷数学试题)已知椭圆 ,C的上顶点为A,两个焦点为 , ,离心率为 .过 且垂直于 的直线与C交于D,E两点, ,则 的周长是 . 【答案】13 资料整理【淘宝店铺:向阳百分百】【分析】利用离心率得到椭圆的方程为 ,根据离心率得到直线 的斜 率,进而利用直线的垂直关系得到直线 的斜率,写出直线 的方程: ,代入椭圆方程 ,整理化简得到: ,利用弦长公式求得 ,得 ,根据对 称性将 的周长转化为 的周长,利用椭圆的定义得到周长为 . 【详解】∵椭圆的离心率为 ,∴ ,∴ ,∴椭圆的方程为 ,不妨设左焦点为 ,右焦点为 ,如图所示,∵ ,∴ ,∴ 为正三角形,∵过 且垂直于 的直线与C交于 D,E两点, 为线段 的垂直平分线,∴直线 的斜率为 ,斜率倒数为 , 直线 的方程: ,代入椭圆方程 ,整理化简得到: , 判别式 , ∴ , ∴ , 得 , ∵ 为线段 的垂直平分线,根据对称性, ,∴ 的周长等于 的周长, 利用椭圆的定义得到 周长为 . 故答案为:13. 资料整理【淘宝店铺:向阳百分百】7.(2021年全国高考乙卷数学(理)试题)设 是椭圆 的上顶点,若 上的任意 一点 都满足 ,则 的离心率的取值范围是( ) A. B. C. D. 【答案】C 【分析】设 ,由 ,根据两点间的距离公式表示出 ,分类讨论求出 的最大值,再 构建齐次不等式,解出即可. 【详解】设 ,由 ,因为 , , 所以 , 因为 ,当 , 即 时, , 即 ,符合题意,由 可得 ,即 ; 当 ,即 时, , 即 ,化简得, ,显然该不等式不成立. 【点睛】本题解题关键是如何求出 的最大值,利用二次函数求指定区间上的最值,要根据定义域讨论 函数的单调性从而确定最值. 8.(2020年全国统一高考数学试卷(理科)(新课标Ⅱ))已知椭圆C : (a>b>0)的右焦点F 1 与抛物线C 的焦点重合,C 的中心与C 的顶点重合.过F且与x轴垂直的直线交C 于A,B两点,交C 于 2 1 2 1 2 C,D两点,且|CD|= |AB|. (1)求C 的离心率; 1 (2)设M是C 与C 的公共点,若|MF|=5,求C 与C 的标准方程. 1 2 1 2 【答案】(1) ;(2) , . 【分析】(1)求出 、 ,利用 可得出关于 、 的齐次等式,可解得椭圆 的离心率 资料整理【淘宝店铺:向阳百分百】的值; (2)[方法四]由(1)可得出 的方程为 ,联立曲线 与 的方程,求出点 的坐标,利用 抛物线的定义结合 可求得 的值,进而可得出 与 的标准方程. 【详解】(1) , 轴且与椭圆 相交于 、 两点, 则直线 的方程为 , 联立 ,解得 ,则 , 抛物线 的方程为 ,联立 , 解得 , , ,即 , , 即 ,即 , ,解得 ,因此,椭圆 的离心率为 ; (2)[方法一]:椭圆的第二定义 由椭圆的第二定义知 ,则有 , 所以 ,即 . 又由 ,得 . 从而 ,解得 . 资料整理【淘宝店铺:向阳百分百】所以 . 故椭圆 与抛物线 的标准方程分别是 . [方法二]:圆锥曲线统一的极坐标公式 以 为极点,x轴的正半轴为极轴,建立极坐标系. 由(Ⅰ)知 ,又由圆锥曲线统一的极坐标公式 ,得 ,由 ,得 ,两式联立解得 . 故 的标准方程为 , 的标准方程为 . [方法三]:参数方程 由(1)知 ,椭圆 的方程为 , {x=2c⋅cosθ, 所以 的参数方程为 ( 为参数), y=√3c⋅sinθ 将它代入抛物线 的方程并化简得 , 解得 或 (舍去), 所以 ,即点M的坐标为 . 又 ,所以由抛物线焦半径公式有 ,即 ,解得 . 故 的标准方程为 , 的标准方程为 . [方法四]【最优解】:利用韦达定理 由(1)知 , ,椭圆 的方程为 , 联立 ,消去 并整理得 , 解得 或 (舍去), 由抛物线的定义可得 ,解得 . 资料整理【淘宝店铺:向阳百分百】因此,曲线 的标准方程为 , 曲线 的标准方程为 . 【整体点评】(2)方法一:椭圆的第二定义是联系准线与离心率的重要工具,涉及离心率的问题不妨考虑使 用第二定义,很多时候会使得问题简单明了. 方法二:圆锥曲线统一的极坐标公式充分体现了圆锥曲线的统一特征,同时它也是解决圆锥曲线问题的一 个不错的思考方向. 方法三:参数方程是一种重要的数学工具,它将圆锥曲线的问题转化为三角函数的问题,使得原来抽象的 问题更加具体化. 方法四:韦达定理是最常用的处理直线与圆锥曲线位置关系的方法,联立方程之后充分利用韦达定理可以 达到设而不求的效果. 9.(2020年海南省高考数学试卷(新高考全国Ⅱ卷))已知椭圆C: 过点M(2, 3),点A为其左顶点,且AM的斜率为 , (1)求C的方程; (2)点N为椭圆上任意一点,求△AMN的面积的最大值. 【答案】(1) ;(2)18. 【分析】(1)由题意分别求得a,b的值即可确定椭圆方程; (2)首先利用几何关系找到三角形面积最大时点N的位置,然后联立直线方程与椭圆方程,结合判别式确定 点N到直线AM的距离即可求得三角形面积的最大值. 【详解】(1)由题意可知直线AM的方程为: ,即 . 当y=0时,解得 ,所以a=4, 椭圆 过点M(2,3),可得 , 解得b2=12.所以C的方程: . (2)设与直线AM平行的直线方程为: , 如图所示,当直线与椭圆相切时,与AM距离比较远的直线与椭圆的切点为N,此时△AMN的面积取得最 大值. 资料整理【淘宝店铺:向阳百分百】联立直线方程 与椭圆方程 , 可得: , 化简可得: , 所以 ,即m2=64,解得m=±8, 与AM距离比较远的直线方程: ,直线AM方程为: , 点N到直线AM的距离即两平行线之间的距离, 利用平行线之间的距离公式可得: , 由两点之间距离公式可得 . 所以△AMN的面积的最大值: . 【点睛】解决直线与椭圆的综合问题时,要注意: (1)注意观察应用题设中的每一个条件,明确确定直线、椭圆的条件; (2)强化有关直线与椭圆联立得出一元二次方程后的运算能力,重视根与系数之间的关系、弦长、斜率、三 角形的面积等问题. 10.(2020年全国统一高考数学试卷(文科)(新课标Ⅱ))已知椭圆C : (a>b>0)的右焦点F 1 与抛物线C 的焦点重合,C 的中心与C 的顶点重合.过F且与x轴垂直的直线交C 于A,B两点,交C 于 2 1 2 1 2 C,D两点,且|CD|= |AB|. (1)求C 的离心率; 1 (2)若C 的四个顶点到C 的准线距离之和为12,求C 与C 的标准方程. 1 2 1 2 【答案】(1) ;(2) : , : . 【分析】(1)根据题意求出 的方程,结合椭圆和抛物线的对称性不妨设 在第一象限,运用代入法 资料整理【淘宝店铺:向阳百分百】求出 点的纵坐标,根据 ,结合椭圆离心率的公式进行求解即可; (2)由(1)可以得到椭圆的标准方程,确定椭圆的四个顶点坐标,再确定抛物线的准线方程,最后结合 已知进行求解即可; 【详解】解:(1)因为椭圆 的右焦点坐标为: ,所以抛物线 的方程为 ,其中 . 不妨设 在第一象限,因为椭圆 的方程为: , 所以当 时,有 ,因此 的纵坐标分别为 , ; 又因为抛物线 的方程为 ,所以当 时,有 , 所以 的纵坐标分别为 , ,故 , . 由 得 ,即 ,解得 (舍去), . 所以 的离心率为 . (2)由(1)知 , ,故 ,所以 的四个顶点坐标分别为 , , , , 的准线为 . 由已知得 ,即 . 所以 的标准方程为 , 的标准方程为 . 【点睛】本题考查了求椭圆的离心率,考查了求椭圆和抛物线的标准方程,考查了椭圆的四个顶点的坐标 以及抛物线的准线方程,考查了数学运算能力. 资料整理【淘宝店铺:向阳百分百】