当前位置:首页>文档>素养拓展26立体几何中的轨迹问题(精讲+精练)一轮复习讲义2024年高考数学高频考点题型归纳与方法总结(新高考通用)原卷版_2.2025数学总复习_2024年新高考资料_1.2024一轮复习

素养拓展26立体几何中的轨迹问题(精讲+精练)一轮复习讲义2024年高考数学高频考点题型归纳与方法总结(新高考通用)原卷版_2.2025数学总复习_2024年新高考资料_1.2024一轮复习

  • 2026-04-04 02:19:28 2026-03-27 00:15:36

文档预览

素养拓展26立体几何中的轨迹问题(精讲+精练)一轮复习讲义2024年高考数学高频考点题型归纳与方法总结(新高考通用)原卷版_2.2025数学总复习_2024年新高考资料_1.2024一轮复习
素养拓展26立体几何中的轨迹问题(精讲+精练)一轮复习讲义2024年高考数学高频考点题型归纳与方法总结(新高考通用)原卷版_2.2025数学总复习_2024年新高考资料_1.2024一轮复习
素养拓展26立体几何中的轨迹问题(精讲+精练)一轮复习讲义2024年高考数学高频考点题型归纳与方法总结(新高考通用)原卷版_2.2025数学总复习_2024年新高考资料_1.2024一轮复习
素养拓展26立体几何中的轨迹问题(精讲+精练)一轮复习讲义2024年高考数学高频考点题型归纳与方法总结(新高考通用)原卷版_2.2025数学总复习_2024年新高考资料_1.2024一轮复习
素养拓展26立体几何中的轨迹问题(精讲+精练)一轮复习讲义2024年高考数学高频考点题型归纳与方法总结(新高考通用)原卷版_2.2025数学总复习_2024年新高考资料_1.2024一轮复习
素养拓展26立体几何中的轨迹问题(精讲+精练)一轮复习讲义2024年高考数学高频考点题型归纳与方法总结(新高考通用)原卷版_2.2025数学总复习_2024年新高考资料_1.2024一轮复习
素养拓展26立体几何中的轨迹问题(精讲+精练)一轮复习讲义2024年高考数学高频考点题型归纳与方法总结(新高考通用)原卷版_2.2025数学总复习_2024年新高考资料_1.2024一轮复习
素养拓展26立体几何中的轨迹问题(精讲+精练)一轮复习讲义2024年高考数学高频考点题型归纳与方法总结(新高考通用)原卷版_2.2025数学总复习_2024年新高考资料_1.2024一轮复习
素养拓展26立体几何中的轨迹问题(精讲+精练)一轮复习讲义2024年高考数学高频考点题型归纳与方法总结(新高考通用)原卷版_2.2025数学总复习_2024年新高考资料_1.2024一轮复习
素养拓展26立体几何中的轨迹问题(精讲+精练)一轮复习讲义2024年高考数学高频考点题型归纳与方法总结(新高考通用)原卷版_2.2025数学总复习_2024年新高考资料_1.2024一轮复习
素养拓展26立体几何中的轨迹问题(精讲+精练)一轮复习讲义2024年高考数学高频考点题型归纳与方法总结(新高考通用)原卷版_2.2025数学总复习_2024年新高考资料_1.2024一轮复习
素养拓展26立体几何中的轨迹问题(精讲+精练)一轮复习讲义2024年高考数学高频考点题型归纳与方法总结(新高考通用)原卷版_2.2025数学总复习_2024年新高考资料_1.2024一轮复习
素养拓展26立体几何中的轨迹问题(精讲+精练)一轮复习讲义2024年高考数学高频考点题型归纳与方法总结(新高考通用)原卷版_2.2025数学总复习_2024年新高考资料_1.2024一轮复习
素养拓展26立体几何中的轨迹问题(精讲+精练)一轮复习讲义2024年高考数学高频考点题型归纳与方法总结(新高考通用)原卷版_2.2025数学总复习_2024年新高考资料_1.2024一轮复习
素养拓展26立体几何中的轨迹问题(精讲+精练)一轮复习讲义2024年高考数学高频考点题型归纳与方法总结(新高考通用)原卷版_2.2025数学总复习_2024年新高考资料_1.2024一轮复习
素养拓展26立体几何中的轨迹问题(精讲+精练)一轮复习讲义2024年高考数学高频考点题型归纳与方法总结(新高考通用)原卷版_2.2025数学总复习_2024年新高考资料_1.2024一轮复习
素养拓展26立体几何中的轨迹问题(精讲+精练)一轮复习讲义2024年高考数学高频考点题型归纳与方法总结(新高考通用)原卷版_2.2025数学总复习_2024年新高考资料_1.2024一轮复习

文档信息

文档格式
docx
文档大小
0.830 MB
文档页数
13 页
上传时间
2026-03-27 00:15:36

文档内容

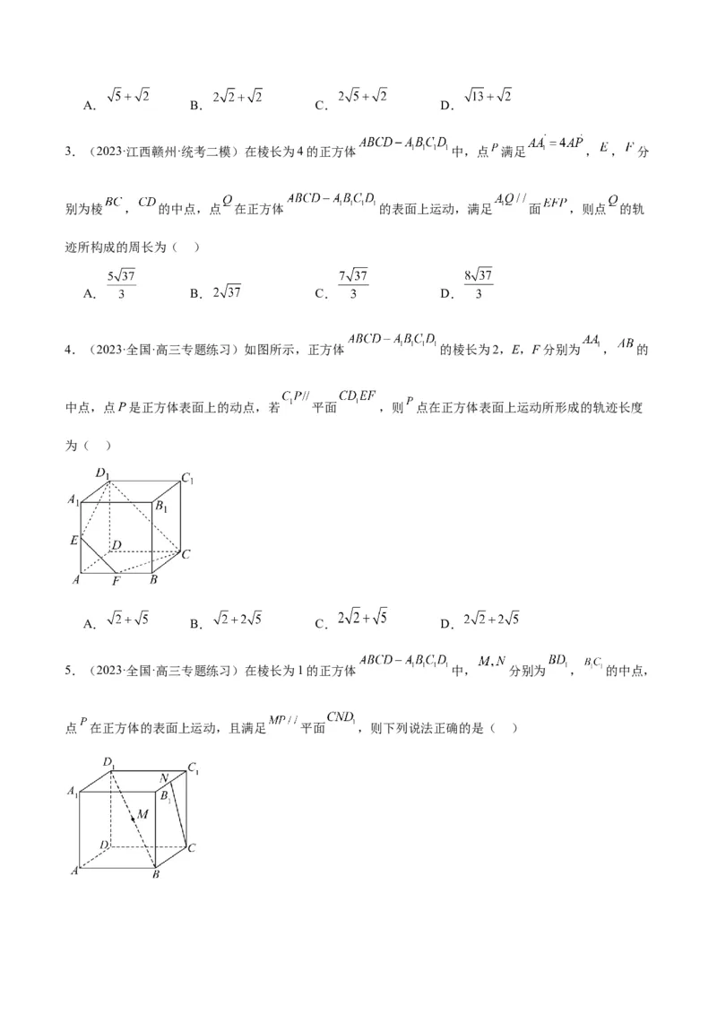
【一轮复习讲义】2024年高考数学高频考点题型归纳与方法总结(新高考通用) 素养拓展 26 立体几何中的轨迹问题(精讲+精 练) 一、知识点梳理 一、立体几何中的轨迹问题 立体几何轨迹问题是以空间图形为素材,去探究符合一定条件的点的运动轨迹,处于解析几何和立体几何的 交汇处,要求学生有较强的空间想象能力、数学转化和化归能力,以及对解析几何和立体几何知识的全面掌 握.常见的轨迹类型有直线、圆雉曲线、球面、椭球面. 二、常用的解决策略 (1)定义法:借助圆雉曲线的定义判断. (2)坐标法:建立合适的坐标系,用方程来表示所求点的轨迹,借助方程来判断轨迹形状. (3)交轨法:运动的点同时在两个空间几何体上,如平面与圆雉、圆柱、球相交,球与球相交,等等. (4)平面化:把空间几何关系转化到同一平面内,进而探究平面内的轨迹问题,使问题更易解决.空间问题平面化 也是解决立体几何题目的一般性思路. 三、轨迹是圆锥曲线的原理剖析 θ(0<θ<90°) 令平面与轴线的夹角为 ,圆雉的母线与轴的夹角为 ,如图②. (1) 当 时,截口曲线为椭圆; (2)当 时,截口曲线为抛物线; (3)当 时,截口曲线为双曲线. 图②我们再从几何角度来证明. (1)如图③,在圆锥内放两个大小不同的球,使它们分别与截面切于点 .在截口曲线上任取一点 ,过点 作圆雉的母线,分别与两球切于点 .由球的性质可知 ,于是为定值,这样截口曲线上的任一点 到两个定点 的距离之和为 常数,由椭圆的定义知,截口曲线是椭圆. (2)如图④,在互相倒置的两个圆雉内放两个大小不同的球,使它们分别与圆雉的侧面、截面相切,两个球分别 与截面切于点 .在截口曲线上任取一点 ,过点 作圆雉的母线,分别与两球切于点 .由球的性质 可知 ,于是 为定值,这样截口曲线上的任一 点 到两个定点 的距离之差的绝对值为常数,由双曲线的定义知,截口曲线是双曲线. (3)如图⑤,用平行于母线 且垂直于轴截面 的平面 去截圆雉.在圆雉内放一个球,使它和圆雉的侧 面与截面 相切,球与截面切于点 .设 为球与圆雉相切时切点构成的圆所在的平面,记 .在截口 曲线上任取一点 ,作直线与球相切于点 ,连结 ,有 .在母线 上取点 ( 为 与 球的切点),使得 .过点 作 ,有点 在 上,且 .另一方面,因为平面 与 垂直,那么 平面 ,有 ,所以 .于是截口曲线是以点 为焦点, 为准线的抛 物线.二、题型精讲精练 1 . 平行、垂直有关的的轨迹问题 ①平行有关的轨迹问题的解题策略 1.线面平行转化为面面平行得轨迹; 2.平行时可利用法向量垂直关系求轨迹. ②垂直有关的轨迹问题的解题策略 1.可利用线线线面垂直,转化为面面垂直,得交线求轨迹; 2.利用空间坐标运算求轨迹; 3.利用垂直关系转化为平行关系求轨迹. 【典例1】如图,在边长为a的正方体ABCD-ABC D 中,E、F、G、H、N分别是CC 、C D、DD 、 1 1 1 1 1 1 1 1 CD、BC的中点,M在四边形EFGH边上及其内部运动,若MN∥面ABD,则点M轨迹的长度是( ) 1 A. a B. a C. D. 【答案】D 【分析】连接GH、HN,有GH∥BA ,HN∥BD,证得面A BD∥面GHN,由已知得点M须在线段GH上运 1 1 动,即满足条件,由此可得选项. 【详解】解:连接GH、HN、GN,∵在边长为a的正方体ABCD-A B C D 中,E、F、G、H分别是 1 1 1 1CC 、C D、DD 、CD的中点,N是BC的中点, 1 1 1 1 则GH∥BA ,HN∥BD,又 面A BD,BA 面A BD,所以 面A BD,同理可证得 面 1 1 1 1 1 A BD, 1 又 ,∴面A BD∥面GHN, 1 又∵点M在四边形EFGH上及其内部运动,MN∥面A BD, 1 则点M须在线段GH上运动,即满足条件,GH= a,则点M轨迹的长度是 a. 【典例2】在正方体 中,Q是正方形 内的动点, ,则Q点的轨迹是( ) A.点 B.线段 C.线段 D.平面 【答案】B 【分析】如图,连接 ,证明 ,又 ,即得解. 【详解】 如图,连接 , 因为 平面 ,所以 平面 , 又 平面 , 所以 ,又 .所以点 在线段 上.故选:B 2 . 距离、角度有关的的轨迹问题 ①距离有关的轨迹问题的解题策略 1.距离,可转化为在一个平面内的距离关系,借助于圆锥曲线定义或者球和圆的定义等知识 求解轨迹; 2.利用空间坐标计算求轨迹.②角度有关的轨迹问题的解题策略 1.直线与面成定角,可能是圆锥侧面; 2.直线与定直线成等角,可能是圆锥侧面; 3.利用空间坐标系计算求轨迹. 【典例3】已知正方体ABCD-ABC D 的棱长为1,P为底面ABCD内一点,若P到棱CD,AD 距离相 1 1 1 1 1 1 等的点,则点P的轨迹是( ) A.直线 B.椭圆 C.抛物线 D.双曲线 【答案】D 【分析】以D为坐标原点建立空间直角坐标系 ,求出点P的轨迹方程即可判断. 【详解】 如图示,过P作PE⊥AB与E,过P作PF⊥AD于F,过F作FG∥AA 交A D 于G,连结PG,由题意可知 1 1 1 PE=PG 以D为坐标原点建立空间直角坐标系 ,设 ,由PE=PG得: ,平方得: 即点P的轨迹是双曲线.故选:D. 【典例4】正方体 中, , 分别为 , 的中点, 是边 上的一个点(包括 端点), 是平面 上一动点,满足直线 与直线 夹角与直线 与直线 的夹角相等,则 点 所在轨迹为( ) A.椭圆 B.双曲线 C.抛物线 D.抛物线或双曲线【答案】D 【分析】根据题设分析可知: 点轨迹为以 为母线, 为轴, 为底面直径的圆锥体,及其关于 反向对称的锥体与平面 的交线,应用数形结合,结合平面与双锥面相交所成曲线的性质判断 所在轨迹的形状. 【详解】由题设, 点轨迹为以 为母线, 为轴, 为底面直径的圆锥体,及其关于 反向对称 的锥体与平面 的交线,如下图示: 当 是边 上移动过程中,只与下方锥体有相交, 点轨迹为抛物线; 当 是边 上移动过程中,与上方锥体也有相交, 点轨迹为双曲线; 故选:D 3 . 翻折有关的的轨迹问题 ①翻折有关的轨迹问题的解题策略 1.翻折过程中寻找不变的垂直的关系求轨迹 2.翻折过程中寻找不变的长度关系求轨迹 3.可以利用空间坐标运算求轨迹 【典例5】1822年,比利时数学家 Dandelin利用圆锥曲线的两个内切球,证明了用一个平面去截圆锥, 可以得到椭圆(其中两球与截面的切点即为椭圆的焦点),实现了椭圆截线定义与轨迹定义的统一性.在 生活中,有一个常见的现象:用手电筒斜照地面上的篮球,留下的影子会形成椭圆.这是由于光线形成的 圆锥被地面所截产生了椭圆的截面.如图,在地面的某个占 正上方有一个点光源,将小球放置在地面, 使得 与小球相切.若 ,小球半径为2,则小球在地面的影子形成的椭圆的离心率为( )A. B. C. D. 【答案】A 【分析】设 ,从而可得 , , ,利用勾股定理可得 ,再由离心 率的定义即可求解. 【详解】在 中,设 , , , , , , ∴长轴长 , , 则离心率 .故选:A 【题型训练2-刷模拟】 1 . 平行、垂直有关的的轨迹问题 一、单选题 1.(2023·全国·高三专题练习)正四棱锥 的底面边长为2,高为2,E是边 的中点,动点P在 表面上运动,并且总保持 ,则动点P的轨迹的周长为( ) A. B. C.4 D. 2.(2023·安徽滁州·安徽省定远中学校考模拟预测)在正四棱柱 中, , , 为 中点, 为正四棱柱表面上一点,且 ,则点 的轨迹的长为( )A. B. C. D. 3.(2023·江西赣州·统考二模)在棱长为4的正方体 中,点 满足 , , 分 别为棱 , 的中点,点 在正方体 的表面上运动,满足 面 ,则点 的轨 迹所构成的周长为( ) A. B. C. D. 4.(2023·全国·高三专题练习)如图所示,正方体 的棱长为2,E,F分别为 , 的 中点,点P是正方体表面上的动点,若 平面 ,则 点在正方体表面上运动所形成的轨迹长度 为( ) A. B. C. D. 5.(2023·全国·高三专题练习)在棱长为1的正方体 中, 分别为 , 的中点, 点 在正方体的表面上运动,且满足 平面 ,则下列说法正确的是( )A.点 可以是棱 的中点 B.线段 的最大值为 C.点 的轨迹是正方形 D.点 轨迹的长度为 6.(2023·全国·高三专题练习)已知棱长为1的正方体 , 是 的中点,动点 在正 方体内部或表面上,且 平面 ,则动点 的轨迹所形成区域的面积是( ) A. B. C. D. 二、填空题 7.(2023·全国·高三专题练习)如图, 为圆柱下底面圆 的直径, 是下底面圆周上一点,已知 ,圆柱的高为5.若点 在圆柱表面上运动,且满足 ,则点 的轨迹所围成图 形的面积为 . 8.(2023·河南·校联考模拟预测)已知正方体 的棱长为 ,动点P在 内,满足 ,则点P的轨迹长度为 . 9.(2023春·四川绵阳·高三四川省绵阳南山中学校考阶段练习)若点 是棱长为 的正方体 的内切球 的球面上的动点,点 为棱 上的一点,且 , ,则动 点的轨迹的长度为 .2 . 距离、角度有关的的轨迹问题 一、单选题 1.(2023春·河南·高三校联考阶段练习)已知长方体 的外接球的表面积为 , , 点P在四边形 内,且直线BP与平面 所成角为 ,则长方体的体积最大时,动点P的轨迹 长为( ) A. B. C. D. 2.(2023·河北·统考模拟预测)已知正四棱锥(底面为正方形,且顶点在底面的射影为正方形的中心的棱 锥为正四棱锥)P-ABCD的底面正方形边长为2,其内切球O的表面积为 ,动点Q在正方形ABCD内运 动,且满足 ,则动点Q形成轨迹的周长为( ) A. B. C. D. 3.(2023·山东淄博·统考三模)设A,B是半径为3的球体O表面上两定点,且 ,球体O表面 上动点P满足 ,则点P的轨迹长度为( ) A. B. C. D. 4.(2023·全国·高三专题练习)在正方体 中,E为 的中点,F为底面ABCD上一动点,且EF与底面ABCD所成的角为 .若该正方体外接球的表面积为 ,则动点F的轨迹长度为( ). A. B. C. D. 5.(2023·云南曲靖·曲靖一中校考模拟预测)已知三棱锥 的底面△ABC为等腰直角三角形,其顶 点P到底面ABC的距离为4,体积为 ,若该三棱锥的外接球O的半径为 ,则满足上述条件的顶点P 的轨迹长度为( ) A. B. C. D. 6.(2023春·上海宝山·高三上海交大附中校考期中)在正四面体 中,点 为 所在平面上的 动点,若 与 所成角为定值 , 则动点 的轨迹是( ) A.圆 B.椭圆 C.双曲线 D.抛物线 7.(2022秋·河南·高三期末)棱长为1的正方体 中,点 是侧面 上的一个动点 (包含边界),则下面结论正确的有( ) ①若点 满足 ,则动点 的轨迹是线段; ②若点 满足 ,则动点 的轨迹是椭圆的一部分; ③在线段 上存在点 ,使直线 与 .所成的角为 ; ④当 在棱 上移动时, 的最小值是 . A.1个 B.2个 C.3个 D.4个 二、填空题 8.(2023春·湖南长沙·高三校联考阶段练习)在棱长为3的正方体 中, 为棱 上一点, 且 ,则正方体表面到 点距离为 的点的轨迹总长度为 . 9.(2023·全国·高三专题练习)已知三棱锥 的外接球 的半径为 , 为等腰直角三角形,若顶点 到底面 的距离为4,且三棱锥 的体积为 ,则满足上述条件的顶点 的轨迹长度是 . 10.(2023·全国·唐山市第十一中学校考模拟预测)已知 为正方体 的内切球球面上的动 点, 为 的中点, ,若动点 的轨迹长度为 ,则正方体的体积是 . 3 . 翻折有关的的轨迹问题 一、单选题 1.已知菱形 的各边长为 .如图所示,将 沿 折起,使得点 到达点 的位置, 连接 ,得到三棱锥 ,此时 , 是线段 的中点,点 在三棱锥 的外接球上运 动,且始终保持 ,则点 的轨迹的周长为( ) A. B. C. D. 2.如图,正方形 的边长为 为 的中点,将 沿 向上翻折到 ,连接 ,在 翻折过程中,下列说法中正确的是( )①四棱锥 的体积最大值为 ②. 中点 的轨迹长度为 ③ 与平面 所成角的正弦值之比为 ④三棱锥 的外接球半径有最小值 ,没有最大值 A.①③ B.②③ C.①③④ D.①②③ 3.如图,在长方形ABCD中,AB= ,BC=1,E为线段DC上一动点,现将 AED沿AE折起,使点D 在面ABC上的射影K在直线AE上,当E从D运动到C,则K所形成轨迹的长度为 A. B. C. D.