当前位置:首页>文档>专题9-2圆锥曲线(解答题)(解析版)_02高考数学_新高考复习资料_2023年新高考资料_二轮复习_2023年高考数学毕业班二轮热点题型归纳与变式演练(新高考专用)287883827

专题9-2圆锥曲线(解答题)(解析版)_02高考数学_新高考复习资料_2023年新高考资料_二轮复习_2023年高考数学毕业班二轮热点题型归纳与变式演练(新高考专用)287883827

  • 2026-04-14 09:44:39 2026-04-14 06:30:43

文档预览

专题9-2圆锥曲线(解答题)(解析版)_02高考数学_新高考复习资料_2023年新高考资料_二轮复习_2023年高考数学毕业班二轮热点题型归纳与变式演练(新高考专用)287883827
专题9-2圆锥曲线(解答题)(解析版)_02高考数学_新高考复习资料_2023年新高考资料_二轮复习_2023年高考数学毕业班二轮热点题型归纳与变式演练(新高考专用)287883827
专题9-2圆锥曲线(解答题)(解析版)_02高考数学_新高考复习资料_2023年新高考资料_二轮复习_2023年高考数学毕业班二轮热点题型归纳与变式演练(新高考专用)287883827
专题9-2圆锥曲线(解答题)(解析版)_02高考数学_新高考复习资料_2023年新高考资料_二轮复习_2023年高考数学毕业班二轮热点题型归纳与变式演练(新高考专用)287883827
专题9-2圆锥曲线(解答题)(解析版)_02高考数学_新高考复习资料_2023年新高考资料_二轮复习_2023年高考数学毕业班二轮热点题型归纳与变式演练(新高考专用)287883827
专题9-2圆锥曲线(解答题)(解析版)_02高考数学_新高考复习资料_2023年新高考资料_二轮复习_2023年高考数学毕业班二轮热点题型归纳与变式演练(新高考专用)287883827
专题9-2圆锥曲线(解答题)(解析版)_02高考数学_新高考复习资料_2023年新高考资料_二轮复习_2023年高考数学毕业班二轮热点题型归纳与变式演练(新高考专用)287883827
专题9-2圆锥曲线(解答题)(解析版)_02高考数学_新高考复习资料_2023年新高考资料_二轮复习_2023年高考数学毕业班二轮热点题型归纳与变式演练(新高考专用)287883827
专题9-2圆锥曲线(解答题)(解析版)_02高考数学_新高考复习资料_2023年新高考资料_二轮复习_2023年高考数学毕业班二轮热点题型归纳与变式演练(新高考专用)287883827
专题9-2圆锥曲线(解答题)(解析版)_02高考数学_新高考复习资料_2023年新高考资料_二轮复习_2023年高考数学毕业班二轮热点题型归纳与变式演练(新高考专用)287883827
专题9-2圆锥曲线(解答题)(解析版)_02高考数学_新高考复习资料_2023年新高考资料_二轮复习_2023年高考数学毕业班二轮热点题型归纳与变式演练(新高考专用)287883827
专题9-2圆锥曲线(解答题)(解析版)_02高考数学_新高考复习资料_2023年新高考资料_二轮复习_2023年高考数学毕业班二轮热点题型归纳与变式演练(新高考专用)287883827
专题9-2圆锥曲线(解答题)(解析版)_02高考数学_新高考复习资料_2023年新高考资料_二轮复习_2023年高考数学毕业班二轮热点题型归纳与变式演练(新高考专用)287883827
专题9-2圆锥曲线(解答题)(解析版)_02高考数学_新高考复习资料_2023年新高考资料_二轮复习_2023年高考数学毕业班二轮热点题型归纳与变式演练(新高考专用)287883827
专题9-2圆锥曲线(解答题)(解析版)_02高考数学_新高考复习资料_2023年新高考资料_二轮复习_2023年高考数学毕业班二轮热点题型归纳与变式演练(新高考专用)287883827
专题9-2圆锥曲线(解答题)(解析版)_02高考数学_新高考复习资料_2023年新高考资料_二轮复习_2023年高考数学毕业班二轮热点题型归纳与变式演练(新高考专用)287883827
专题9-2圆锥曲线(解答题)(解析版)_02高考数学_新高考复习资料_2023年新高考资料_二轮复习_2023年高考数学毕业班二轮热点题型归纳与变式演练(新高考专用)287883827
专题9-2圆锥曲线(解答题)(解析版)_02高考数学_新高考复习资料_2023年新高考资料_二轮复习_2023年高考数学毕业班二轮热点题型归纳与变式演练(新高考专用)287883827
专题9-2圆锥曲线(解答题)(解析版)_02高考数学_新高考复习资料_2023年新高考资料_二轮复习_2023年高考数学毕业班二轮热点题型归纳与变式演练(新高考专用)287883827
专题9-2圆锥曲线(解答题)(解析版)_02高考数学_新高考复习资料_2023年新高考资料_二轮复习_2023年高考数学毕业班二轮热点题型归纳与变式演练(新高考专用)287883827
专题9-2圆锥曲线(解答题)(解析版)_02高考数学_新高考复习资料_2023年新高考资料_二轮复习_2023年高考数学毕业班二轮热点题型归纳与变式演练(新高考专用)287883827
专题9-2圆锥曲线(解答题)(解析版)_02高考数学_新高考复习资料_2023年新高考资料_二轮复习_2023年高考数学毕业班二轮热点题型归纳与变式演练(新高考专用)287883827
专题9-2圆锥曲线(解答题)(解析版)_02高考数学_新高考复习资料_2023年新高考资料_二轮复习_2023年高考数学毕业班二轮热点题型归纳与变式演练(新高考专用)287883827
专题9-2圆锥曲线(解答题)(解析版)_02高考数学_新高考复习资料_2023年新高考资料_二轮复习_2023年高考数学毕业班二轮热点题型归纳与变式演练(新高考专用)287883827
专题9-2圆锥曲线(解答题)(解析版)_02高考数学_新高考复习资料_2023年新高考资料_二轮复习_2023年高考数学毕业班二轮热点题型归纳与变式演练(新高考专用)287883827
专题9-2圆锥曲线(解答题)(解析版)_02高考数学_新高考复习资料_2023年新高考资料_二轮复习_2023年高考数学毕业班二轮热点题型归纳与变式演练(新高考专用)287883827
专题9-2圆锥曲线(解答题)(解析版)_02高考数学_新高考复习资料_2023年新高考资料_二轮复习_2023年高考数学毕业班二轮热点题型归纳与变式演练(新高考专用)287883827
专题9-2圆锥曲线(解答题)(解析版)_02高考数学_新高考复习资料_2023年新高考资料_二轮复习_2023年高考数学毕业班二轮热点题型归纳与变式演练(新高考专用)287883827
专题9-2圆锥曲线(解答题)(解析版)_02高考数学_新高考复习资料_2023年新高考资料_二轮复习_2023年高考数学毕业班二轮热点题型归纳与变式演练(新高考专用)287883827
专题9-2圆锥曲线(解答题)(解析版)_02高考数学_新高考复习资料_2023年新高考资料_二轮复习_2023年高考数学毕业班二轮热点题型归纳与变式演练(新高考专用)287883827
专题9-2圆锥曲线(解答题)(解析版)_02高考数学_新高考复习资料_2023年新高考资料_二轮复习_2023年高考数学毕业班二轮热点题型归纳与变式演练(新高考专用)287883827
专题9-2圆锥曲线(解答题)(解析版)_02高考数学_新高考复习资料_2023年新高考资料_二轮复习_2023年高考数学毕业班二轮热点题型归纳与变式演练(新高考专用)287883827
专题9-2圆锥曲线(解答题)(解析版)_02高考数学_新高考复习资料_2023年新高考资料_二轮复习_2023年高考数学毕业班二轮热点题型归纳与变式演练(新高考专用)287883827
专题9-2圆锥曲线(解答题)(解析版)_02高考数学_新高考复习资料_2023年新高考资料_二轮复习_2023年高考数学毕业班二轮热点题型归纳与变式演练(新高考专用)287883827
专题9-2圆锥曲线(解答题)(解析版)_02高考数学_新高考复习资料_2023年新高考资料_二轮复习_2023年高考数学毕业班二轮热点题型归纳与变式演练(新高考专用)287883827
专题9-2圆锥曲线(解答题)(解析版)_02高考数学_新高考复习资料_2023年新高考资料_二轮复习_2023年高考数学毕业班二轮热点题型归纳与变式演练(新高考专用)287883827
专题9-2圆锥曲线(解答题)(解析版)_02高考数学_新高考复习资料_2023年新高考资料_二轮复习_2023年高考数学毕业班二轮热点题型归纳与变式演练(新高考专用)287883827
专题9-2圆锥曲线(解答题)(解析版)_02高考数学_新高考复习资料_2023年新高考资料_二轮复习_2023年高考数学毕业班二轮热点题型归纳与变式演练(新高考专用)287883827
专题9-2圆锥曲线(解答题)(解析版)_02高考数学_新高考复习资料_2023年新高考资料_二轮复习_2023年高考数学毕业班二轮热点题型归纳与变式演练(新高考专用)287883827
专题9-2圆锥曲线(解答题)(解析版)_02高考数学_新高考复习资料_2023年新高考资料_二轮复习_2023年高考数学毕业班二轮热点题型归纳与变式演练(新高考专用)287883827
专题9-2圆锥曲线(解答题)(解析版)_02高考数学_新高考复习资料_2023年新高考资料_二轮复习_2023年高考数学毕业班二轮热点题型归纳与变式演练(新高考专用)287883827
专题9-2圆锥曲线(解答题)(解析版)_02高考数学_新高考复习资料_2023年新高考资料_二轮复习_2023年高考数学毕业班二轮热点题型归纳与变式演练(新高考专用)287883827
专题9-2圆锥曲线(解答题)(解析版)_02高考数学_新高考复习资料_2023年新高考资料_二轮复习_2023年高考数学毕业班二轮热点题型归纳与变式演练(新高考专用)287883827
专题9-2圆锥曲线(解答题)(解析版)_02高考数学_新高考复习资料_2023年新高考资料_二轮复习_2023年高考数学毕业班二轮热点题型归纳与变式演练(新高考专用)287883827
专题9-2圆锥曲线(解答题)(解析版)_02高考数学_新高考复习资料_2023年新高考资料_二轮复习_2023年高考数学毕业班二轮热点题型归纳与变式演练(新高考专用)287883827
专题9-2圆锥曲线(解答题)(解析版)_02高考数学_新高考复习资料_2023年新高考资料_二轮复习_2023年高考数学毕业班二轮热点题型归纳与变式演练(新高考专用)287883827
专题9-2圆锥曲线(解答题)(解析版)_02高考数学_新高考复习资料_2023年新高考资料_二轮复习_2023年高考数学毕业班二轮热点题型归纳与变式演练(新高考专用)287883827
专题9-2圆锥曲线(解答题)(解析版)_02高考数学_新高考复习资料_2023年新高考资料_二轮复习_2023年高考数学毕业班二轮热点题型归纳与变式演练(新高考专用)287883827
专题9-2圆锥曲线(解答题)(解析版)_02高考数学_新高考复习资料_2023年新高考资料_二轮复习_2023年高考数学毕业班二轮热点题型归纳与变式演练(新高考专用)287883827
专题9-2圆锥曲线(解答题)(解析版)_02高考数学_新高考复习资料_2023年新高考资料_二轮复习_2023年高考数学毕业班二轮热点题型归纳与变式演练(新高考专用)287883827
专题9-2圆锥曲线(解答题)(解析版)_02高考数学_新高考复习资料_2023年新高考资料_二轮复习_2023年高考数学毕业班二轮热点题型归纳与变式演练(新高考专用)287883827
专题9-2圆锥曲线(解答题)(解析版)_02高考数学_新高考复习资料_2023年新高考资料_二轮复习_2023年高考数学毕业班二轮热点题型归纳与变式演练(新高考专用)287883827
专题9-2圆锥曲线(解答题)(解析版)_02高考数学_新高考复习资料_2023年新高考资料_二轮复习_2023年高考数学毕业班二轮热点题型归纳与变式演练(新高考专用)287883827
专题9-2圆锥曲线(解答题)(解析版)_02高考数学_新高考复习资料_2023年新高考资料_二轮复习_2023年高考数学毕业班二轮热点题型归纳与变式演练(新高考专用)287883827
专题9-2圆锥曲线(解答题)(解析版)_02高考数学_新高考复习资料_2023年新高考资料_二轮复习_2023年高考数学毕业班二轮热点题型归纳与变式演练(新高考专用)287883827
专题9-2圆锥曲线(解答题)(解析版)_02高考数学_新高考复习资料_2023年新高考资料_二轮复习_2023年高考数学毕业班二轮热点题型归纳与变式演练(新高考专用)287883827
专题9-2圆锥曲线(解答题)(解析版)_02高考数学_新高考复习资料_2023年新高考资料_二轮复习_2023年高考数学毕业班二轮热点题型归纳与变式演练(新高考专用)287883827
专题9-2圆锥曲线(解答题)(解析版)_02高考数学_新高考复习资料_2023年新高考资料_二轮复习_2023年高考数学毕业班二轮热点题型归纳与变式演练(新高考专用)287883827
专题9-2圆锥曲线(解答题)(解析版)_02高考数学_新高考复习资料_2023年新高考资料_二轮复习_2023年高考数学毕业班二轮热点题型归纳与变式演练(新高考专用)287883827
专题9-2圆锥曲线(解答题)(解析版)_02高考数学_新高考复习资料_2023年新高考资料_二轮复习_2023年高考数学毕业班二轮热点题型归纳与变式演练(新高考专用)287883827
专题9-2圆锥曲线(解答题)(解析版)_02高考数学_新高考复习资料_2023年新高考资料_二轮复习_2023年高考数学毕业班二轮热点题型归纳与变式演练(新高考专用)287883827
专题9-2圆锥曲线(解答题)(解析版)_02高考数学_新高考复习资料_2023年新高考资料_二轮复习_2023年高考数学毕业班二轮热点题型归纳与变式演练(新高考专用)287883827
专题9-2圆锥曲线(解答题)(解析版)_02高考数学_新高考复习资料_2023年新高考资料_二轮复习_2023年高考数学毕业班二轮热点题型归纳与变式演练(新高考专用)287883827
专题9-2圆锥曲线(解答题)(解析版)_02高考数学_新高考复习资料_2023年新高考资料_二轮复习_2023年高考数学毕业班二轮热点题型归纳与变式演练(新高考专用)287883827
专题9-2圆锥曲线(解答题)(解析版)_02高考数学_新高考复习资料_2023年新高考资料_二轮复习_2023年高考数学毕业班二轮热点题型归纳与变式演练(新高考专用)287883827
专题9-2圆锥曲线(解答题)(解析版)_02高考数学_新高考复习资料_2023年新高考资料_二轮复习_2023年高考数学毕业班二轮热点题型归纳与变式演练(新高考专用)287883827
专题9-2圆锥曲线(解答题)(解析版)_02高考数学_新高考复习资料_2023年新高考资料_二轮复习_2023年高考数学毕业班二轮热点题型归纳与变式演练(新高考专用)287883827
专题9-2圆锥曲线(解答题)(解析版)_02高考数学_新高考复习资料_2023年新高考资料_二轮复习_2023年高考数学毕业班二轮热点题型归纳与变式演练(新高考专用)287883827
专题9-2圆锥曲线(解答题)(解析版)_02高考数学_新高考复习资料_2023年新高考资料_二轮复习_2023年高考数学毕业班二轮热点题型归纳与变式演练(新高考专用)287883827
专题9-2圆锥曲线(解答题)(解析版)_02高考数学_新高考复习资料_2023年新高考资料_二轮复习_2023年高考数学毕业班二轮热点题型归纳与变式演练(新高考专用)287883827
专题9-2圆锥曲线(解答题)(解析版)_02高考数学_新高考复习资料_2023年新高考资料_二轮复习_2023年高考数学毕业班二轮热点题型归纳与变式演练(新高考专用)287883827
专题9-2圆锥曲线(解答题)(解析版)_02高考数学_新高考复习资料_2023年新高考资料_二轮复习_2023年高考数学毕业班二轮热点题型归纳与变式演练(新高考专用)287883827
专题9-2圆锥曲线(解答题)(解析版)_02高考数学_新高考复习资料_2023年新高考资料_二轮复习_2023年高考数学毕业班二轮热点题型归纳与变式演练(新高考专用)287883827
专题9-2圆锥曲线(解答题)(解析版)_02高考数学_新高考复习资料_2023年新高考资料_二轮复习_2023年高考数学毕业班二轮热点题型归纳与变式演练(新高考专用)287883827
专题9-2圆锥曲线(解答题)(解析版)_02高考数学_新高考复习资料_2023年新高考资料_二轮复习_2023年高考数学毕业班二轮热点题型归纳与变式演练(新高考专用)287883827
专题9-2圆锥曲线(解答题)(解析版)_02高考数学_新高考复习资料_2023年新高考资料_二轮复习_2023年高考数学毕业班二轮热点题型归纳与变式演练(新高考专用)287883827
专题9-2圆锥曲线(解答题)(解析版)_02高考数学_新高考复习资料_2023年新高考资料_二轮复习_2023年高考数学毕业班二轮热点题型归纳与变式演练(新高考专用)287883827

文档信息

文档格式
docx
文档大小
3.584 MB
文档页数
73 页
上传时间
2026-04-14 06:30:43

文档内容

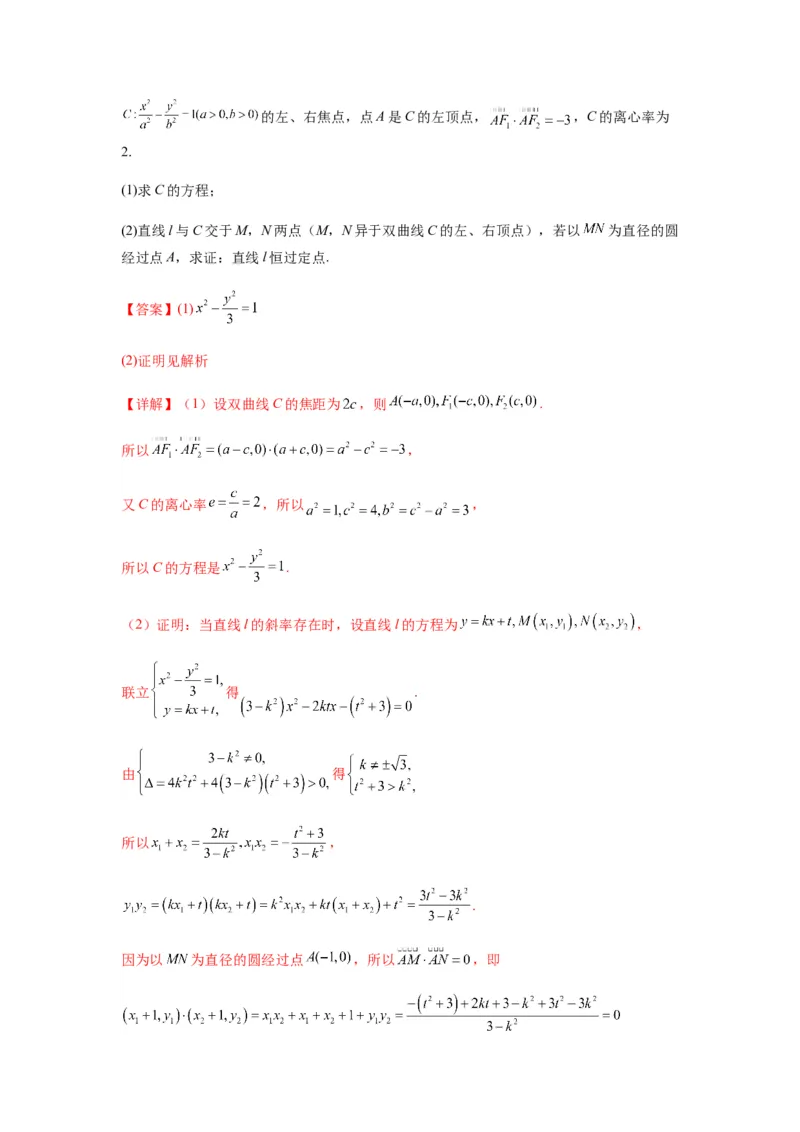
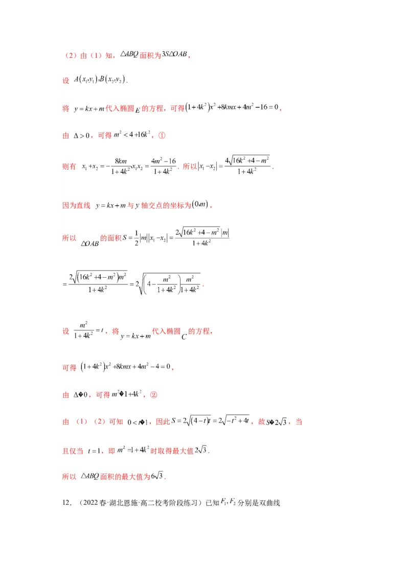
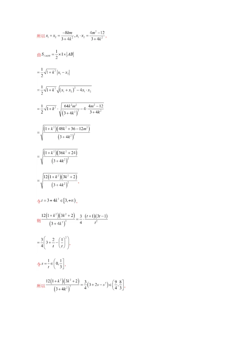
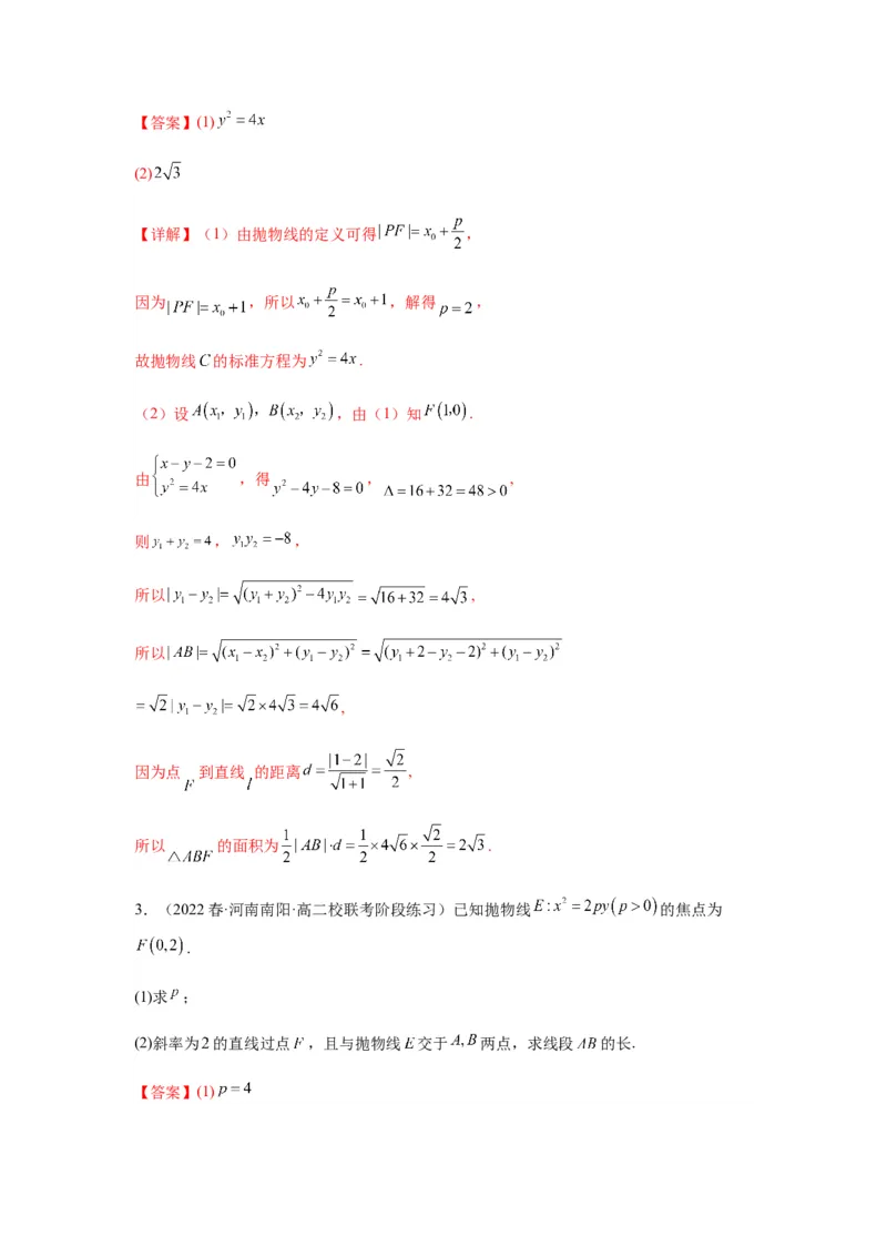
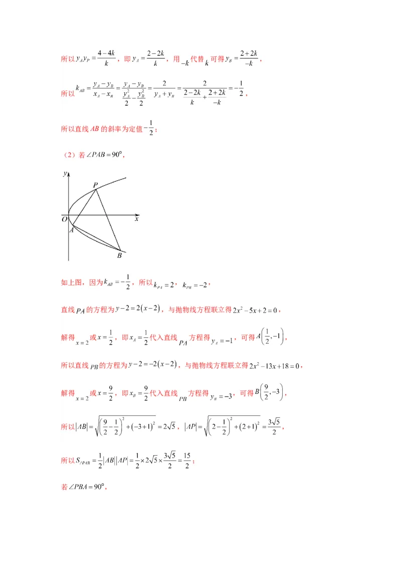
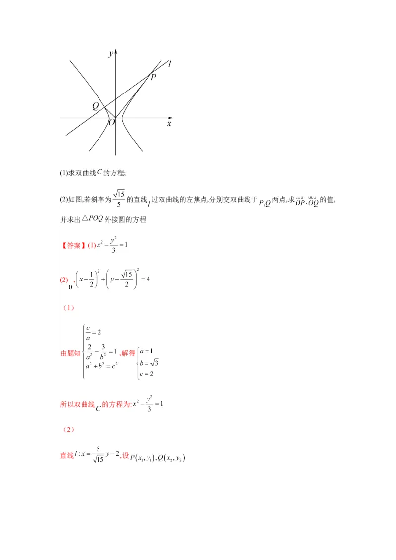
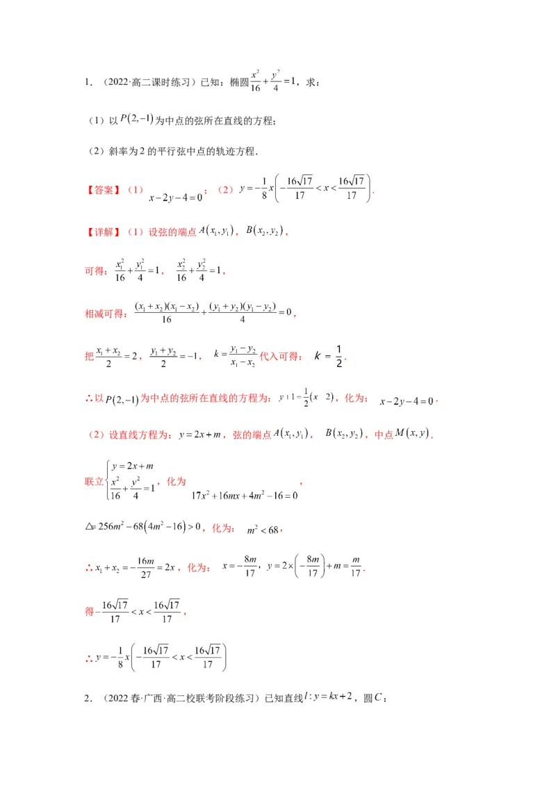
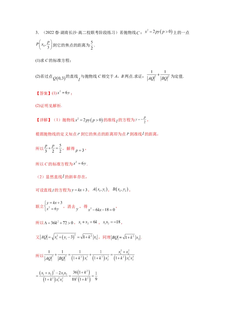
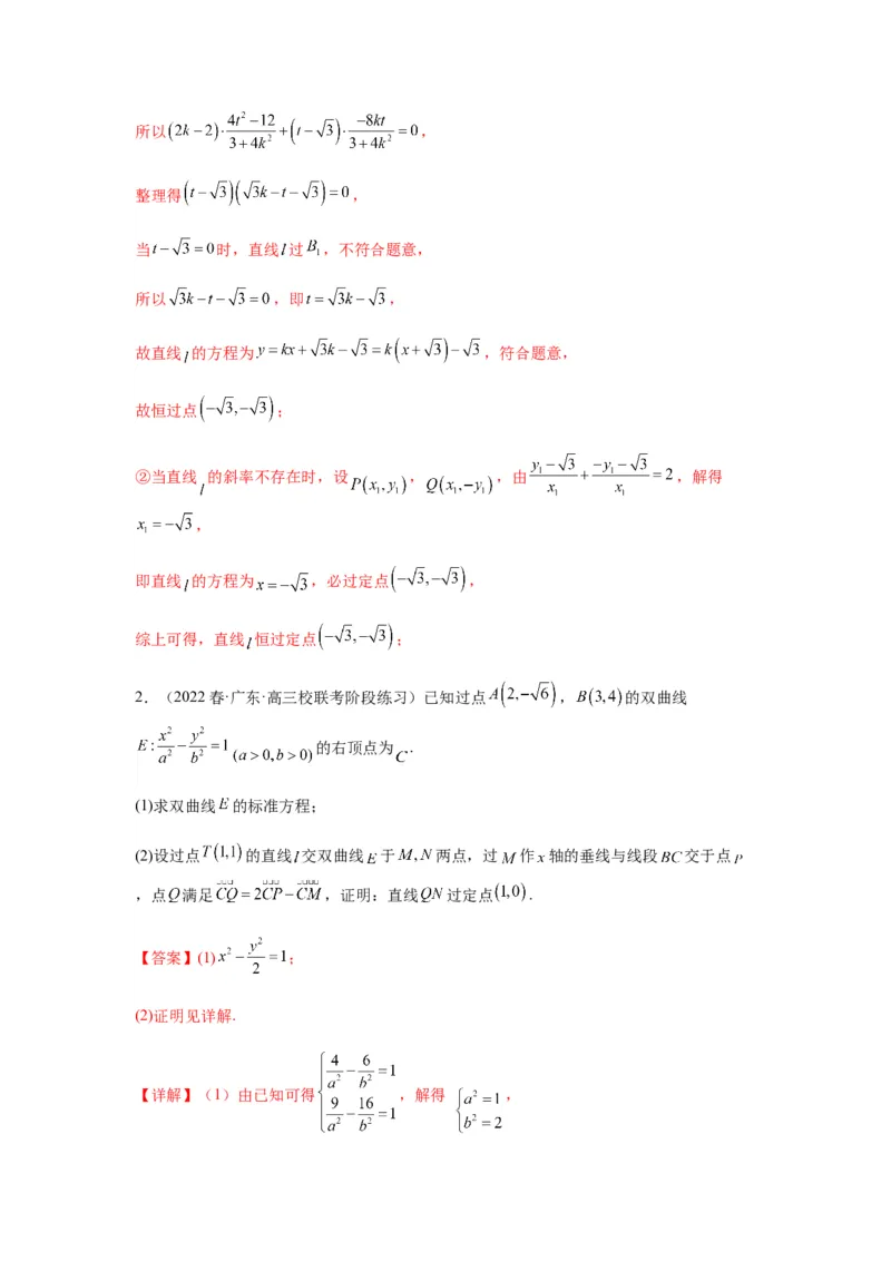
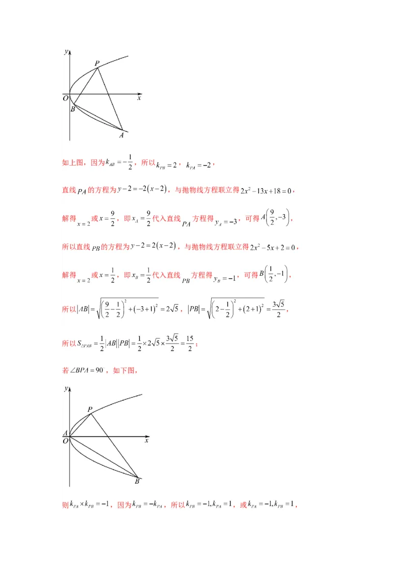
专题 9-2 圆锥曲线(解答题) 目录 专题9-2圆锥曲线(解答题)................................................................................................................1 .....................................................................................1 题型一:中点弦问题................................................................................................................................1 题型二:弦长,三角形(四边形)面积问题........................................................................................7 题型三:椭圆,双曲线,抛物线中的参数范围(最值)问题..........................................................17 题型四:椭圆,双曲线,抛物线中定点问题......................................................................................25 题型五:椭圆,双曲线,抛物线中定值问题......................................................................................35 题型六:椭圆,双曲线,抛物线中定直线问题..................................................................................44 ................................................................53 题型一:中点弦问题 【典例分析】 例题1.(2022春·辽宁葫芦岛·高二校联考期中)已知椭圆 经过点 . (1)求 的标准方程; (2)若直线 与 交于 、 两点,且弦 的中点为 ,求直线 的斜率. 【答案】(1) (2)【详解】(1)解:依题意可得 ,故椭圆 的标准方程为 . (2)解: ,所以,点 在椭圆 内, 若直线 轴,则 的中点在 轴上,不合乎题意, 设点 、 ,由题意可得 , 则 ,两式相减,得 . 即 ,所以直线 的斜率 . 例题2.(2022春·黑龙江哈尔滨·高二尚志市尚志中学校考期中)动点 与定点 的距离和它到定直线 的距离的比是 ,记动点 的轨迹为曲线 . (1)求曲线 的方程; (2)已知过点 的直线与曲线 相交于两点 , ,请问点 能否为线段 的中点, 并说明理由. 【答案】(1) (2)不能,理由见解析. 【详解】(1)解:动点 与定点 的距离和它到定直线 的距离的比 是 则 等式两边平方可得:化简得曲线C的方程为: (2)解:点 不能为线段 的中点,理由如下: 由(1)知,曲线C的方程为: 过点 的直线斜率为 , , 因为过点 的直线与曲线C相交于两点 , 所以 ,两式作差并化简得: ① 当 为 的中点时,则 , ② 将②代入①可得: 此时过点 的直线方程为: 将直线方程与曲线C方程联立得: , ,无解 与过点 的直线与曲线C相交于两点矛盾 所以点 不能为线段 的中点 【提分秘籍】 中点弦问题常用方法: ①点差法(回代检验) ②联立,借助韦达定理. 【变式演练】1.(2022·高二课时练习)已知:椭圆 ,求: (1)以 为中点的弦所在直线的方程; (2)斜率为2的平行弦中点的轨迹方程. 【答案】(1) ;(2) . 【详解】(1)设弦的端点 , , 可得: , , 相减可得: , 把 , , 代入可得: . ∴以 为中点的弦所在直线的方程为: ,化为: . (2)设直线方程为: ,弦的端点 , ,中点 . 联立 ,化为 , ,化为: , ∴ ,化为: . 得 , ∴ 2.(2022春·广西·高二校联考阶段练习)已知直线 ,圆 :,双曲线 : . (1)直线 与圆 有公共点,求 的取值范围; (2)若直线 与 交于 , 两点,且点 为 的中点,若存在,求出 方程,若不存 在,请说明理由. 【答案】(1) (2)不存在,理由见解析 【详解】(1)由已知得,圆 : ,∴圆心 ,半径 , ∵ 与圆有交点, 则圆心 到 的距离 , 整理可得, , 解得, . (2)设存在直线,由题意可知,直线斜率不存在时不成立. 设 、 , 因为 是 的中点,所以 , . 又 , 在双曲线上,所以 , 两式相减得 , 整理可得, , 又 ,∴ ,∴ , ∴ 方程为 ,经检验,该直线与双曲线交于两点.但 不在 上, ∴不存在这样的直线. 3.(2022春·广东江门·高二新会陈经纶中学校考阶段练习)已知抛物线 的焦点 为 ,直线 与C交于A,B两点. (1)若 的倾斜角为 且过点F,求 ; (2)若线段AB的中点坐标为 ,求 的方程. 【答案】(1) (2) 【详解】(1)因为 的倾斜角为 , , 所以直线 的方程为 , 联立 可得 , 设 ,则 , 所以 ; (2)设 ,则 , 所以 , 因为线段AB的中点坐标为 ,所以 , 所以 ,所以 的斜率为 , 所以 的方程为 ,即 .题型二:弦长,三角形(四边形)面积问题 【典例分析】 例题1.(2022·四川达州·统考一模)平面直角坐标系 中, 已知椭圆 ,椭圆 .设点 为椭圆 上任意一点,过点 的直线 交椭圆 于 两点,射线 交椭圆 于点 . (1)求 的值; (2)求 面积的最大值. 【答案】(1)2 (2) 【详解】(1)设 , 由题意知 . 因为 , 又 , 即 , 所以 , 即 . (2)由(1)知, 的面积为 , 设 . 将 代入椭圆 的方程, 可得 , 由 , 可得 ,① 则有 . 所以 .因为直线 与 轴交点的坐标为 , 所以 的面积 . 设 , 将 代入椭圆 的方程, 可得 , 由 , 可得 ,② 由 (1)(2)可知 , 因此 , 故 , 当 且仅当 , 即 时取得最大值 . 所以 面积的最大值为 . 例题2.(2022春·全国·高三校联考阶段练习)已知抛物线 : ,直线 交抛物 线 于 两点, , ,且 . (1)求坐标原点 到直线 的距离的取值范围; (2)设直线 与 轴交于 点,过点 作与直线 垂直的直线 交椭圆 : 于 , 两点,求四边形 的面积的最小值. 【答案】(1) (2) 【详解】(1)显然直线 的斜率不为0,设直线 的方程为 .联立 ,消去 ,整理得 ,所以 , 所以 ,解得 , 所以直线 的方程为 ,即 , 所以原点 到直线 的距离为 , 又 , 所以 ,所以 ,即 , 所以坐标原点 到直线 的距离的取值范围为 . (2)由(1)可知 . 由题意及(1)可知直线 的方程为 . 设 , 联立 ,消去 ,整理得 , 则根据根与系数的关系,得 , 所以 , 所以 , 四边形 设 则 , 四边形因为 在 上单调递增, 所以 , 四边形 所以四边形 的面积的最小值为 . 【提分秘籍】 ①面积公式: (其中底可以选择弦长,利用弦长公式求解,高可以利用点 到 直线的距离公式求解) ②面积也可以通过分割求解. ③涉及到面积最值时,通常可以考虑基本不等式,转化为一元二次函数,求导等方法,求 最值。 【变式演练】 1.(2022·辽宁沈阳·沈阳二十中校考三模)已知椭圆 经过点 ,左焦点 . (1)求椭圆 的方程; (2)过点 作直线 与椭圆 交于 两点,点 满足 ( 为原点),求 四边形 面积的最大值. 【答案】(1) ; (2)2. 【详解】(1)设椭圆的焦距为 ,则 , 又因为椭圆经过点 ,所以 , 又, , , 所以椭圆 的方程为 . (2)因为 ,所以四边形 为平行四边形, 当直线 的斜率不存在时,显然不符合题意; 当直线 的斜率存在时,设直线 的方程为 , 与椭圆交于 , 两点, 由 . 由 , , , 令 ,则 (由上式知 ), ,当且仅当 ,即 时取等号. ∴当 时,平行四边形 的面积最大值为2. 2.(2022春·江苏南京·高三南京市第十三中学校考阶段练习)已知双曲线 为坐标原点,离心率 ,点 在双曲线 上(1)求双曲线 的方程; (2)如图,若斜率为 的直线 过双曲线的左焦点,分别交双曲线于 两点,求 的值, 并求出 外接圆的方程 【答案】(1) (2) , (1) 由题知 ,解得 所以双曲线 的方程为: (2) 直线 ,设联立 ,得 所以 所以 外接圆圆心为 直径为 ,即半径 所以 外接圆的方程为 3.(2022春·广东江门·高二新会陈经纶中学校考阶段练习)已知双曲线C的离心率为 ,且过 点,过双曲线C的右焦点 ,做倾斜角为 的直线交双曲线于A,B两点, O为坐标原点, 为左焦点. (1)求双曲线的标准方程; (2)求 的面积. 【答案】(1) ;(2) .【详解】(1)过 点,所以 , ,所以 ,又 ,所以 , 所以双曲线的方程为 . (2)结合题意可得直线AB的方程为 , 设 , ,联立方程 ,消去y,得 . ∴ , ,∴ , 直线AB的方程变形为 . ∴原点O到直线AB的距离为 ,∴ . 4.(2022春·江苏宿迁·高三沭阳县建陵高级中学校考期中)已知点 是抛物线C: 上一点,A,B是抛物线C上异于P的两点,且直线PA,PB的倾斜角互 补. (1)证明:直线AB的斜率为定值; (2)当△PAB为直角三角形时,求△PAB的面积. 【答案】(1)证明见解析 (2) ,或者 【详解】(1)将点 是代入抛物线方程 ,得 ,所以 , 由题意,PA、PB斜率一定存在且不为0,设直线 的方程为 , 与抛物线方程 联立得 ,所以 ,即 ,用 代替 可得 , 所以 , 所以直线AB的斜率为定值 ; (2)若 , 如上图,因为 ,所以 , , 直线 的方程为 ,与抛物线方程联立得 , 解得 或 ,即 代入直线 方程得 ,可得 , 所以直线 的方程为 ,与抛物线方程联立得 , 解得 或 ,即 代入直线 方程得 ,可得 , 所以 , , 所以 ; 若 ,如上图,因为 ,所以 , , 直线 的方程为 ,与抛物线方程联立得 , 解得 或 ,即 代入直线 方程得 ,可得 , 所以直线 的方程为 ,与抛物线方程联立得 , 解得 或 ,即 代入直线 方程得 ,可得 , 所以 , , 所以 ; 若 ,如下图, 则 ,因为 ,所以 ,或 ,因为 与 同解, 不妨令 ,可得直线 的方程为 ,与抛物线方程联立得 , 解得 或 ,即 代入直线 方程得 ,可得 , 所以直线 的方程为 ,与抛物线方程联立得 , 解得 或 ,即 代入直线 方程得 ,可得 , 所以 , , 所以 ; 综上所述, ,或者 . 题型三:椭圆,双曲线,抛物线中的参数范围(最值)问题 【典例分析】 例题1.(2022·全国·高二假期作业)若椭圆 和椭圆 满足 ,则称这两个椭圆相似, 称为其相似比. (1)求经过点 ,且与椭圆 相似的椭圆方程. (2)设过原点的一条射线 分别与(1)中的两个椭圆交于 、 两点(其中点 在线段 上),求 的最大值和最小值. 【答案】(1) (2)最大值为 ,最小值为【详解】(1)设所求的椭圆方程为 ,则由题意得 ,解得 , 所要求的椭圆方程为 . (2)①当射线与 轴重合时, . ②当射线不与 轴重合时,由椭圆的对称性,我们仅考虑 、 在第一象限或x轴正半轴 的情形. 设其方程为 ,设 , , , , 由 ,解得 , , 由 ,解得 , , , 令 ,则由 ,知 , ,记 ,则 在 上是增函数, , , 由①②知, 的最大值为 , 的最小值为 . 例题2.(2022·湖南岳阳·岳阳一中校考一模)已知抛物线 上一点 ,抛物线 的焦点 在以 为直径的圆上( 为坐标原点).(1)求抛物线 的方程; (2)过点 引圆 的两条切线 、 ,切线 、 与抛物 线 的另一交点分别为 、 ,线段 中点的横坐标记为 ,求实数 的取值范围. 【答案】(1) (2) (1) 由已知条件可得 , , 解得 ,所以,抛物线的方程为 . (2) 由题意可知,过 引圆 的切线斜率存在, 设切线 的方程为 , 则圆心 到切线 的距离 , 整理得, ., 设切线 的方程为 , 同理可得 . 所以, 是方程 的两根, . 设 , ,由 ,得 , 由韦达定理知 , 所以 ,同理可得 . 设点 的横坐标为 ,则 . 设 ,则 , 所以 ,对称轴 ,则 【提分秘籍】 解析几何中求参数的范围常用工具: ①基本不等式;②转化为一元二次函数型;③求导 【变式演练】 1.(2022春·江西·高二统考阶段练习)已知椭圆 的左、右焦点分 别为 ,点 是椭圆 上任意一点,且 的最大值为3, 的最小值为1. (1)求椭圆 的方程; (2)过点 的直线 交椭圆 于 两点,过点 且与直线 垂直的直线与 轴交于点 ,当 取得最大值时,求直线 的方程. 【答案】(1) (2) 或【详解】(1)设焦距为 ,则 , ,解得 , , ,椭圆 的方程为: . (2)由已知得,过点 的直线 可设为: , , 联立得, ,整理得, , 则 ,解得 , 设 , ,得 , , 设过点 且与直线 垂直的直线为 ,得 ,又 , 得 , ,令 , , 则 ,当且仅当 ,即 时,等号成立, 此时 ,解得 ,可得 , 故所求直线 为: 或 2.(2022·全国·高三专题练习)已知双曲线C经过点 ,它的两条渐近线分别为 和 .(1)求双曲线C的标准方程; (2)设双曲线C的左、右焦点分别为 、 ,过左焦点 作直线l交双曲线的左支于A、B两 点,求 周长的取值范围. 【答案】(1) (2) 【详解】(1)设双曲线C的方程为 , 代入点 ,得 , 所以双曲线C的标准方程为 . (2)双曲线C的左焦点为 , 设 、 , ①若直线l的斜率不存在,则 ,得A、B的坐标分别为 和 , 此时 的周长为 . ②若直线l的斜率存在,设直线l的方程为 ,由 得 , 因为直线l交双曲线的左支于A、B两点, 所以 , 得 设 的周长为z, , 设 ,由 ,得 , , , 所以 , 综上,由①②可得 的周长的取值范围 .3.(2022秋·湖南衡阳·高二衡阳市一中校考阶段练习)已知抛物线 : 的焦点为 ,点 在抛物线 上. (1)若 ,求抛物线 的标准方程; (2)若直线 与抛物线 交于 , 两点,点 的坐标为 ,且满足 ,原 点 到直线 的距离不小于 ,求 的取值范围. 【答案】(1) 或 ; (2) . 【详解】(1)由题意及抛物线的定义得: , 又因为点 在抛物线 上,所以 , 由 可得 或 , 所以抛物线 的标准方程为 或 . (2)设 , , 联立 消去 可得: , 则 , , 因为 , 所以 , 所以 ,可得 ,由原点 到直线 的距离不小于 ,可得 ,解得 或 , 因为 ,所以 不成立,所以 , 因为 在 上单调递增, 所以 ,所以 , 即 的取值范围为 . 题型四:椭圆,双曲线,抛物线中定点问题 【典例分析】 例题1.(2022·天津南开·统考三模)已知焦点在 轴上,中心在原点,离心率为 的 椭圆经过点 ,动点 , (不与点 重合)均在椭圆上,且直线 与 的斜率 之和为1. (1)求椭圆的方程; (2)证明直线 经过定点,并求这个定点的坐标. 【答案】(1) (2)证明见解析;定点 (1) 解:设椭圆 , 由离心率为 ,得 , 又因为 , 所以 .由 在椭圆上可得 , 解得 , . 所以椭圆 的方程为 . (2) 当直线 与x轴垂直时,设 ,则 . 由题意得: ,即 .所以直线 的方程为 . 当直线 不与x轴垂直时,可设直线 为 , , , 将 代入 得 , 所以 , . 由已知可得 ①, 将 和 代入①, 并整理得 ②, 将 , 代入②, 并整理得 ,可得 , 因为直线 不经过点 , 所以 ,故 . 所以直线 的方程为 ,经过定点 . 综上所述,直线 经过定点 . 例题2.(2022春·山东菏泽·高二校考期中)如图,在平面直角坐标系 中,已知抛物线 经过点 ,直线 与抛物线 交于 、 两点. (1)若 ,求 的值; (2)当 时,直线 是否过定点?若是过定点,求出该定点;若不过定点,说明理 由. 【答案】(1) (2)过定点,定点为 【详解】(1)解:由 点坐标为 ,知直线 的斜率为 ,且 , 由 ,得 ,且 . 联立直线 的方程 与抛物线方程 ,消 , 整理得 . 则 ,即 ,① 设点 、 , 由韦达定理可得 , , 所以, , 结合①,解得 .(2)解:设 、 , 联立 与 ,消去 ,整理得 , 由题意可得 , ,可得 , 由韦达定理可得 , , 若 或 中有一条直线垂直于 轴,不妨设 轴,则直线 轴, 此时,直线 与抛物线 只有一个公共点,不合乎题意; 所以,直线 、 的斜率都存在且均不为零, ,同理可得 , 由 ,知 ,即 , 所以, , 即 ,即 ,可得 , 所以,直线 的方程为 , 因此,直线 过定点 . 【提分秘籍】 求解直线过定点问题常用方法如下: (1)“特殊探路,一般证明”:即先通过特殊情况确定定点,再转化为有方向、有目的的 一般性证明; (2)“一般推理,特殊求解”:即设出定点坐标,根据题设条件选择参数,建立一个直线 系或曲线的方程,再根据参数的任意性得到一个关于定点坐标的方程组,以这个方程组的 解为坐标的点即为所求点;(3)求证直线过定点 ,常利用直线的点斜式方程 或截距式 来证明. 【变式演练】 1.(2022·河南·校联考模拟预测)已知椭圆 的离心率为 ,左、右顶 点分别为 , ,上下顶点分别为 , ,四边形 的面积为 . (1)求椭圆的标准方程; (2)不过点 的直线l交椭圆于P,Q两点,直线 和直线 的斜率之和为2,证明:直 线l恒过定点. 【答案】(1) (2)证明见解析 【详解】(1)解:由题意可得 , ,即 ,又 ,解得 , , , 则椭圆的方程为 ; (2)证明:由(1)可得 , ①当直线 的斜率存在时,设 , , , 由 ,所以 , 又 , 代入整理得 , 由 消去 整理得 , 所以 , ,所以 , 整理得 , 当 时,直线 过 ,不符合题意, 所以 ,即 , 故直线 的方程为 ,符合题意, 故恒过点 ; ②当直线 的斜率不存在时,设 , ,由 ,解得 , 即直线 的方程为 ,必过定点 , 综上可得,直线 恒过定点 ; 2.(2022春·广东·高三校联考阶段练习)已知过点 , 的双曲线 的右顶点为 . (1)求双曲线 的标准方程; (2)设过点 的直线 交双曲线 于 两点,过 作 轴的垂线与线段 交于点 ,点 满足 ,证明:直线 过定点 . 【答案】(1) ; (2)证明见详解. 【详解】(1)由已知可得 ,解得 ,所以双曲线 的标准方程为 . (2)证明:由(1)可得, ,设 , , ,直线 的方程为 . 由 可得 ,即点 是线段 的中点. 假设直线 的斜率不存在,此时直线 的方程为 ,此时直线 与双曲线相切,只有一个 交点,不满足,所以直线斜率一定存在. 设斜率为 ,则直线 的方程为 ,即 . 因为点 是线段 的中点,且 ,设 , 则有 ,所以 ,所以 . 于是 的方程为 . 下面证明:直线 过定点 . 即证 ,即证 , 即证 . 又 , 代入左边可得, (*) 联立直线 的方程与双曲线的方程 ,可得 ,由已知应满足 ,解得 且 , 且 ,代入(*)式可得, 恒成立, 所以,直线 过定点 . 3.(2022春·江西抚州·高二校联考阶段练习)已知 为坐标原点,点 在双曲线 上,直线 交 于 , 两点. (1)若直线 过 的右焦点,且斜率为 ,求 的面积; (2)若直线 , 与 轴分别相交于 , 两点,且 ,证明:直线 过定点. 【答案】(1) (2)证明见解析 【详解】(1)将点 代入 的方程,得 ,解得 , 所以 的方程为 .直线 的方程为 , 联立方程 整理得, ,解得 , 不妨设 , , 则 ,点 到直线 的距离为 ,所以 的面积为 ; (2) 依题意作上图,设 ,则 , , , 直线AP的方程为: ,直线AQ的方程为: ; 联立方程: ,解得: , 显然 ,即 ; , , 联立方程: ,解得: ,显然 ,即 , , 即当 时, 直线PQ的方程为: ,将上面求得的 解析式代入得: ,整理得: , 所以直线PQ过定点 . 4.(2022秋·云南昆明·高二校联考期中)已知一个边长为 的等边三角形的一个顶点位 于原点,另外两个顶点在抛物线 上. (1)求抛物线 的方程; (2)过点 作两条互相垂直的直线 和 , 交抛物线 于 、 两点, 交抛物线 于 , 两点,若线段 的中点为 ,线段 的中点为 ,证明:直线 过定点. 【答案】(1) (2)证明见解析 (1) 由对称性可知等边三角形的顶点 在 上, 代入得: ,解得: , 所以抛物线方程为: ; (2)由题意知 和 斜率均存在, ,设直线 方程为 , 则直线 方程为 , 由 联立得: , 设 ,则 , 故 ,同理得 故直线MN方程为 整理得: ,故直线MN过定点 题型五:椭圆,双曲线,抛物线中定值问题 【典例分析】 例题1.(2022春·北京西城·高三北京师大附中校考阶段练习)已知椭圆 的左右焦点分别为 ,连接椭圆 的四个顶点所成的 四边形的周长为 . (1)求椭圆 的方程和离心率; (2)已知过点 的直线 与椭圆交于 两点,过点 且与直线 垂直的直线 与椭圆交于 两点,求 的值. 【答案】(1)标准方程: ,离心率: .(2) 【详解】(1)根据题意 , 所以 , 椭圆顶点围成的四边形周长为: , 所以 , 又因为 , 所以 , , 故椭圆方程为: , 椭圆离心率为 . (2)①当直线PQ斜率不存在时, |PQ| ,|MN| , 此时 . ②当直线PQ斜率为0时, |PQ| ,|MN| , 此时 . ③当直线PQ斜率存在且不为0时,设直线PQ: ,直线MN: 联立所以 所以 , 所以 , PQ 同理可得, . 此时 . 综上所述, 的值为 . 例题2.(2022春·广东广州·高三广州市禺山高级中学校考阶段练习)双曲线 的左、右顶点分别为 , ,过点 且垂直于 轴的直线 与该双 曲线 交于点 , ,设直线 的斜率为 ,直线 的斜率为 . (1)求曲线 的方程; (2)动点 , 在曲线 上,已知点 ,直线 , 分别与 轴相交的两点关于 原点对称,点 在直线 上, ,证明:存在定点 ,使得 为定值.【答案】(1) ; (2)证明见解析. 【详解】(1)当 轴时,把 代入双曲线方程中,得 , 设 , , , 所以 ,得 , 所以 的方程: ; (2)证明:设直线 的方程为 , , , ,整理得 , 则 , , , 直线 , 分别与 轴相交的两点为 , , ∴直线 方程为 , 令 ,则 ,同理 , 可得 ∴∴ ∴ ∴ ∴ ∴ , 当 时, , 此时直线 方程为 恒过定点 ,显然不可能, ∴ ,直线 方程为 ,恒过定点 ∵ ,设 中点为 ,∴ ∴ 为定值,∴存在 使 为定值 . 例题3.(2022·吉林长春·统考模拟预测)已知抛物线 的焦点为 ,直 线 过点 ,与抛物线交于 , 两点, 的最小值为4. (1)求抛物线的方程: (2)若点 的坐标为 ,设直线 和 的斜率分别为 、 ,问 是否为定 值,若是,求出该定值,否则,请说明理由. 【答案】(1) (2)是,定值为 【详解】(1)设直线l的方程为 ,l与抛物线交于 , ,联立直线l与抛物线方程 , 可得 ,即 , , . 由抛物线的定义可知 , 当 时, 取最小值为2p,则2p=4.即抛物线方程为 . (2)由题意可知: , , 由 , , , , 即 为定值 . 【提分秘籍】 求定值问题常见的解题方法有两种: ①先猜后证(特例法):从特殊入手,求出定值,再证明这个定值与变量无关; ②引起变量法(直接法):直接推理、计算,并在计算推理过程中消去参数,从而得到定 值。 【变式演练】 1.(2022春·河南·高三校联考阶段练习)已知椭圆 的长轴比短轴 长2,焦距为 .(1)求椭圆C的方程; (2)已知 ,过点P的直线l与C交于A,B两点,延长 到D,延长 到 E,且满足 轴.证明:D,E两点到直线 的距离之积为定值. 【答案】(1) ; (2)证明见解析. 【详解】(1)由长轴比短轴长2,则 ,即 ①, 由焦距为 ,则 ,即 ②, ①②联立,得 , 则 , 所以C的方程为 ; (2)由题意可知,直线l的斜率不为0. 当l的斜率不存在时,直线l的方程为 , 由对称性可知,四边形 为矩形, 则D,E两点到直线 的距离之积为 . 当l的斜率存在时,设l的方程为 , 结合题意可设 . 由 ,可得 , 整理得 , .由A,Q,D三点共线,可知 ,即 ①, 由B,Q,E三点共线,可知 ,即 ②, ①×②得: , 又 ,则 . , 则 . 故D,E两点到直线 的距离之积为定值 . 2.(2022·全国·模拟预测)在平面直角坐标系 中,已知点 , ,点 到 的距离比到 的距离大2,点 的轨迹为曲线 . (1)求 的方程; (2)过点 且斜率不为0的直线 与 交于 两点, 与点 关于原点对称,求直线 与 斜率的比值. 【答案】(1) (2) 【详解】(1)由已知可得 ,所以曲线 是以点 , 为焦点的双曲线的左支,设 的方程为 ( , , ), 根据题意得 ,得 ,所以 方程为 . (2)由题意可得 ,设直线 , 的斜率分别为 , , ①当 的斜率不存在时,易知 的坐标分别为 , 或 , , 当 , 时, , ,所以 . 当 , 时, , ,所以 . 所以当l的斜率不存在时, ; ②当 的斜率存在时,设 , , 的方程为 , 将直线 代入 的方程得 , 所以 , ,所以 , 所以 , 因为 , 所以 ,即 , 综上,直线 与 斜率的比值为 .3.(2022春·湖南长沙·高二校联考阶段练习)若抛物线 : 上的一点 到它的焦点的距离为 . (1)求C的标准方程; (2)若过点 的直线 与抛物线C相交于A,B两点.求证: 为定值. 【答案】(1) ; (2)证明见解析. 【详解】(1)抛物线 的准线 的方程为 , 根据抛物线的定义知点 到它的焦点的距离即为点 到准线 的距离, 所以 ,解得 , 所以C的标准方程为 . (2)显然直线 的斜率存在, 可设直线 的方程为 , , , 联立 ,消去 ,得 , 所以 , , , 又 ,同理 . 所以所以 为定值. 题型六:椭圆,双曲线,抛物线中定直线问题 【典例分析】 例题1.(2022·全国·模拟预测)已知 为椭圆 的左焦点,直线 与 交于 , 两点,且 的周长为 ,面积为2. (1)求 的标准方程; (2)若 关于原点的对称点为 ,不经过点 且斜率为 的直线 与 交于点 , , 直线 与 交于点 ,证明:点 在定直线上. 【答案】(1) (2)证明见解析 (1) 解:将 代入 中,解得 ,则 , 所以 的面积为 ,所以 .① 设C的右焦点为 ,连接 ,由椭圆的对称性可知 , 所以 的周长为 ,所以,② 由①②解得 , , 所以C的标准方程为 . (2) 解:设 , ,直线l的方程为 , ,联立直线l与椭圆C的 方程,并消去y得 , 则 ,得 且 ,且 , , , 所以直线PD的方程为 ,即 , 直线QE的方程为 ,即 , 联立直线PD与直线QE的方程,得 , 得 , ,所以 . 所以 ,即点M在定直线 上. 例题2.(2022·全国·高三专题练习)设抛物线 的焦点为 ,过 且斜率 的直线 与 交于 , 两点, .(1)求 ; (2)若 在 上,过点 作 的弦 , ,若 ,证明:直线 过定 点,并求出定点的坐标. 【答案】(1) ;(2)证明见解析,定点 . 【详解】解:(1)由题意得 , 的方程为 , , 设 , , 由 ,得 , ,故 , 所以 , 解得 (舍), . (2)因为 在 上,所以 , 设直线 的方程为 , , . 联立 ,得 , 由 得 , , . 因为 ,所以 . 所以 ,又因为 , , 所以 , 所以 或 , 所以 或 .因为 恒成立,所以 , 所以直线 的方程 , 所以直线 过定点 . 【提分秘籍】 求定线问题常见的方法有两种: ①从特殊入手,求出定直线,再证明这条线与变量无关. ②“设而不求”. 【变式演练】 1.(2022·江西萍乡·统考一模)在平面直角坐标系 中,已知椭圆 的离心率为 ,且过点 .如图所示,斜率为 且过点 的直线 交椭圆 于 , 两点,线段 的中点为 ,射线 交椭圆 于点 , 若 在射线 上,且 . (1)求椭圆 的标准方程; (2)求证:点 在定直线上. 【答案】(1) ;(2)证明见解析. 【详解】(1)已知椭圆 的离心率为 ,且过点 , 所以 ,又 ,则 ,所以 , 故椭圆 的标准方程为 . (2)设直线 的方程为 , , , 联立 得 , 由题意知 恒成立, 由韦达定理得 ,所以 , 由于 为线段 的中点,因此 , , 此时 . 所以 所在直线方程为 , 将其代入椭圆 的方程,并由 , 解得 , 又 , 由 得 , 因此,点 在定直线 上. 2.(2022·全国·高三专题练习)已知双曲线 的一条渐近线的方程为,它的右顶点与抛物线 的焦点重合,经过点 且不垂直于 轴的直线与双曲线 交于 、 两点. (1)求双曲线 的标准方程; (2)若点 是线段 的中点,求点 的坐标; (3)设 、 是直线 上关于 轴对称的两点,求证:直线 与 的交点必在直线 上. 【答案】(1) (2)点 的坐标为 或 (3)证明见解析 【详解】(1)由题意得 ,解得 , 所以双曲线 的标准方程为 ; (2)设 , ,因为 是线段 的中点,所以 , 则得 , 解得 , , 所以所求点 的坐标为 或 ; (3)证明:由题意可设直线 的方程为 , 联立方程组 ,消去 ,并整理得 ,设 , , , , 由一元二次方程根与系数的关系,得 , 又设 , , ,则得直线 的方程为 , 直线 的方程为 ,两个方程相减得 ①, 因为 , 把它代入①得 , 所以 , 因此直线 与 的交点在直线 上. 3.(2022·全国·高三专题练习)已知抛物线 ,圆 , 直线 与抛物线 和圆 同时相切. (1)求 和 的值; (2)若点 的坐标为 ,过点 且斜率为 的直线 与抛物线 分别相交于 、 两 点(点 在点 的右边),过点 的直线 与抛物线 分别相交于 、 两点,直线 与 不重合,直线 与直线 相交于点 ,求证:点 在定直线上. 【答案】(1) , ;(2)证明见解析. 【详解】(1)圆 的标准方程为 ,可知圆 的圆心为 ,半径为 , 由直线 与圆 相切,可得 ,解得 或 (舍去),联立方程 ,消去 后整理为 , 因为直线与抛物线相切,所以 ,得 , 故 , . (2)证明:直线 的方程为 , 联立方程 ,解得 或 , 则点 的坐标为 ,点 的坐标为 , 设直线 的方程为 , 点 的坐标为 ,点 的坐标为 联立方程 ,消去 整理为 , 有 , , , 由 得 或 , 直线 的斜率为 , 直线 的斜率为 , 直线 的方程为 ,化为 ,直线 的方程为 ,化为 , 联立直线 、 的方程消去 后得 , 得 ,因为直线 与 不重合,所以 ,所以 , 故点 在定直线 上. 1.(2022春·黑龙江·高二黑龙江实验中学校考期中)已知定点 ,圆 , 为圆 上的动点,线段 的垂直平分线和半径 相交于点 . (1)求点 的轨迹 的方程; (2)过 的直线 与轨迹 交于 两点,若点 满足 ,求四边形 面积 的最大值. 【答案】(1) (2) 【详解】(1)因为 为圆 上的动点,线段 的垂直平分线和半径 相交于点 , 所以由线段垂直平分线的性质可得: , 所以 , 故点 的轨迹是以 、 为焦点的椭圆.其中 , , 所以 , 故点 的轨迹 的方程为 .(2)由题意,设直线 的方程为 , , , 联立 ,整理可得: , 所以 , 所以 点 到直线 的距离 , 所以 当且仅当 ,即 时等号成立, 因为 所以 所以四边形 面积的最大值为 . 2.(2022春·山东滨州·高二校考期中)已知抛物线 的焦点为 ,点 在抛物线C上,且 . (1)求抛物线C的标准方程; (2)若直线 与抛物线 交于 两点,求 的面积.【答案】(1) (2) 【详解】(1)由抛物线的定义可得 , 因为 ,所以 ,解得 , 故抛物线 的标准方程为 . (2)设 ,由(1)知 . 由 ,得 , , 则 , , 所以 , 所以 , 因为点 到直线 的距离 , 所以 的面积为 . 3.(2022春·河南南阳·高二校联考阶段练习)已知抛物线 的焦点为 . (1)求 ; (2)斜率为 的直线过点 ,且与抛物线 交于 两点,求线段 的长. 【答案】(1)(2) 【详解】(1) 为抛物线 的焦点, ,解得: . (2)由(1)知:抛物线 ; 直线 , 由 得: , 设 , ,则 , , . 4.(2022春·山西·高三校联考阶段练习)已知中心为坐标原点,焦点在坐标轴上的椭圆 经过点 , . (1)求 的方程; (2)已知点 ,直线 与 交于 两点,且直线 的斜率 之和为 ,证明:点 在一条定抛物线上. 【答案】(1) (2)证明见解析 【详解】(1)依题意设 的方程为 , 因为 经过点 , , 所以 ,解得 , 故 的方程为 .(2)证明:设直线 的斜率分别为 , , , . 将 代入 ,得 . 由题设可知 , , , 所以 , 所以 , 所以 . 因为 , 所以 , 所以 , 故点 在抛物线 上,即点 在一条定抛物线上. 5.(2022春·陕西西安·高二统考期中)已知抛物线 的焦点 , 为坐标原点, 、 是抛物线 上异于 的两点. (1)求抛物线 的方程; (2)若直线 、 的斜率之积为 ,求证:直线 过 轴上一定点. 【答案】(1) ; (2)证明见解析. 【详解】(1)根据题意, ,则 ,故抛物线方程为: .(2)显然直线 的斜率不为零,且不过原点,故设其方程为 , 联立抛物线方程 可得: , 时, 设 两点的坐标分别为 ,则 , , 由题可知, ,即 ,解得 ,此时满足 , 故直线 恒过 轴上的定点 . 6.(2022春·山东济南·高二山东省济南市莱芜第一中学校考阶段练习)已知椭圆 : ,A为椭圆与y轴交点, , 为椭圆左、右焦点, 为等腰直 角三角形,且椭圆上的点到焦点的最短距离为 (1)求椭圆 的方程; (2)若直线 与椭圆C交于 ,N两点,点 ,记直线PM的斜率为 ,直线PN的斜 率为 ,当 时,求证直线 恒过一定点? 【答案】(1) (2)证明见解析 【详解】(1)由题意得 ,解得 所以求椭圆 的方程为 . (2)由题意易知直线 的斜率不为0, 故可设 , , ,联立 得 , 由 得 , 所以 , , , 即 , 所以直线 的方程为 ,即 , 所以证直线 恒过一定点 . 7.(2022春·山东潍坊·高二山东省安丘市第一中学校考阶段练习)设椭圆中心在原点 上,焦点在 轴上,离心率为 ,椭圆上一点 到两焦点的距离的和等于 : (1)求椭圆的方程; (2)若直线 交椭圆于 , 两点,且 ,求 的值; (3)在(2)的结论下,求 的长. 【答案】(1) (2) (3) 【详解】(1)因为椭圆焦点在 轴上,所以设椭圆的方程为: ,,又椭圆上一点到两焦点的距离和为 ,所以 , , 所以 , , 所以椭圆的方程为: . (2)由(1)知,椭圆的方程为: ,即: , 设 , ,有: ,得: , 又 ,所以 , 的斜率之积为 ,即: , 即: ,又: ,所以: , 整理得: ,又: , , 即有: ,整理得: ,所以 . (3) , 当 时:直线方程为: ,联立方程组得: , 解得: , 所以: , 所以: ,由对称性可知:当 时,也有 , 所以: . 8.(2022·陕西宝鸡·统考一模)已知点 在抛物线 上,且 到 的焦点 的距离与到 轴的距离之差为 . (1)求 的方程; (2)当 时, 是 上不同于点 的两个动点,且直线 的斜率之积为 为垂足.证明:存在定点 ,使得 为定值. 【答案】(1) 或 (2)证明见解析 【详解】(1)解:抛物线 的焦点为 ,准线为 , 又点 在抛物线 上,即 ,所以 ,即 , 依题意可得 ,解得 或 , 或 . (2)解: , , . 设 : , , ,联立 , 消去 整理得 , ①, 且 , ,, ,即 , 适合①, 将 m代入 得 ,令 ,解得 , 直线 恒过定点 . 又 , 点 在以为 直径的圆上,因为 、 的中点为 , , 所以以 为直径的圆方程为 , 所以存在 使得 . 9.(2022春·云南昆明·高三云南师大附中校考阶段练习)已知椭圆 的左、右焦点是 ,且以 为直径的圆的面积为 ,点P是椭圆 C上任一点,且 的面积的最大值为 . (1)求椭圆C的方程; (2)若直线l与椭圆C交于A,B两点,且原点O到直线l的距离为1,求 面积的取值范 围. 【答案】(1) (2) 【详解】(1)解:由题知以 为直径的圆的半径为c, 所以 ,故 ,由 的面积最大值为 , 所以 ,故 , 所以 , 所以椭圆C的方程为 ; (2)当直线l的斜率不存在时,由题意知直线l的方程为 , 所以 , 所以 ; 当直线l的斜率存在时, 令直线l的方程为 , 由原点O到直线l的距离为1, 所以 , 即 , 联立方程 , 消去y得: , 则有 , 即 , 令 ,所以 , 由 , 令 , 则 , 令 , 所以 ,所以 , 综上所述, . 10.(2022春·黑龙江·高二黑龙江实验中学校考期中)已知抛物线 : 上 一点 到焦点 的距离为 , (1)求抛物线 的方程; (2)若 在第一象限,不过 的直线 与抛物线 相交于 , 两点,且直线 , 的斜 率之积为 ,证明:直线 过定点. 【答案】(1) (2)答案见解析 【详解】(1)由抛物线方程可得,准线方程为 , 因为抛物线 : 上一点 到焦点 的距离为 , 所以 ,解得 , 所以抛物线的方程为: ; (2)抛物线的方程为 , 在抛物线上,所以 , 因为 在第一象限,故 ,所以 , 依题意,直线 的斜率存在 若不存在,则与抛物线只有一个交点 , 设直线 的方程为 , , , 联立 ,消去 ,得 , 则 , , ,因为直线 , 的斜率之积为1,即 , 故 , 整理得 , 所以 ,得 , 故直线 的方程为 , 所以直线 过定点 . 11.(2022·四川达州·统考一模)平面直角坐标系 中,已知椭圆 ,椭圆 .设点 为椭圆 上任意一点,过点 的直线 交椭圆 于 两点, 射线 交椭圆 于点 . (1)求证: ; (2)求 面积的最大值. 【答案】(1)证明见解析 (2) . 【详解】(1)设 ,由题意知 . 因为 ,又 ,即 ,所以 , 即 .(2)由(1)知, 面积为 , 设 . 将 代入椭圆 的方程,可得 , 由 ,可得 ,① 则有 . 所以 . 因为直线 与 轴交点的坐标为 , 所以 的面积 . 设 ,将 代入椭圆 的方程, 可得 , 由 ,可得 ,② 由 (1)(2)可知 ,因此 ,故 ,当 且仅当 ,即 时取得最大值 . 所以 面积的最大值为 . 12.(2022春·湖北恩施·高二校考阶段练习)已知 分别是双曲线的左、右焦点,点A是C的左顶点, ,C的离心率为 2. (1)求C的方程; (2)直线l与C交于M,N两点(M,N异于双曲线C的左、右顶点),若以 为直径的圆 经过点A,求证:直线l恒过定点. 【答案】(1) (2)证明见解析 【详解】(1)设双曲线C的焦距为 ,则 . 所以 , 又C的离心率 ,所以 , 所以C的方程是 . (2)证明:当直线l的斜率存在时,设直线l的方程为 , 联立 得 . 由 得 所以 , . 因为以 为直径的圆经过点 ,所以 ,即整理得 ,所以 或 . 当 时,直线l的方程为 ,所以直线l过左顶点 ,不符合题意; 当 时,直线l的方程为 ,所以直线l恒过定点 . 当直线l的斜率不存在时,设直线l的方程为 , 代入 ,得 ,所以 . 因为 ,整理得 , 解得 ( 舍去), 此时直线l的方程为 ,直线l也过点 . 综上所述,直线l恒过定点 . 13.(2022春·陕西渭南·高二统考期末)已知抛物线 的焦点为 ,点 在 抛物线 上,且 . (1)求抛物线 的方程; (2)过点 且斜率存在的直线 交抛物线 于不同的两点 ,设 为坐标原点,直线 的斜率分别为 ,求证: 为定值. 【答案】(1) (2)见解析 【详解】(1)解: 点 在抛物线 上,且 , ,解得 , 抛物线 的方程为 ; (2)证明依题意,设直线 ,联立 ,得 , 则 , 故 为定值 . 14.(2022春·山东聊城·高三山东聊城一中校考阶段练习)已知椭圆 的半焦距 ,离心率 ,且过点 ,O为坐标原点. (1)求椭圆C的方程; (2)设过点 的直线l与椭圆C分别交于不同的两点A,B,若 ,求 的取值范围. 【答案】(1) (2) 【详解】(1)由题意得 , 整理得 , 即 , 解得 或 . 当 时, ,此时C的离心率 ,符合题意; 当 时, ,此时C的离心率 ,不合题意,舍去,所以椭圆C的方程为 . (2)当直线l的斜率存在时,设直线l的方程为 , 联立 得 , 因为直线l与椭圆C分别交于不同的两点A,B, 所以 ,整理得 . 设 ,则 , 所以 , 因为 ,所以令 ,则 , 由 ,得 ,即 , 因为 ,所以 , 解得 , 当直线l的斜率不存在时,直线l的方程为 , 此时直线l与椭圆C的两交点分别为 , 不妨取 ,则 , 所以 ,所以 ,解得 , 综上所述, 的取值范围为 .