当前位置:首页>文档>素养拓展37圆锥曲线中的存在性和探索性问题(解析版)_02高考数学_新高考复习资料_2024年新高考资料_一轮复习资料_一轮复习讲义—素养拓展(精讲+精练)(新高考通用)

素养拓展37圆锥曲线中的存在性和探索性问题(解析版)_02高考数学_新高考复习资料_2024年新高考资料_一轮复习资料_一轮复习讲义—素养拓展(精讲+精练)(新高考通用)

  • 2026-04-20 00:35:10 2026-04-20 00:35:10

文档预览

素养拓展37圆锥曲线中的存在性和探索性问题(解析版)_02高考数学_新高考复习资料_2024年新高考资料_一轮复习资料_一轮复习讲义—素养拓展(精讲+精练)(新高考通用)
素养拓展37圆锥曲线中的存在性和探索性问题(解析版)_02高考数学_新高考复习资料_2024年新高考资料_一轮复习资料_一轮复习讲义—素养拓展(精讲+精练)(新高考通用)
素养拓展37圆锥曲线中的存在性和探索性问题(解析版)_02高考数学_新高考复习资料_2024年新高考资料_一轮复习资料_一轮复习讲义—素养拓展(精讲+精练)(新高考通用)
素养拓展37圆锥曲线中的存在性和探索性问题(解析版)_02高考数学_新高考复习资料_2024年新高考资料_一轮复习资料_一轮复习讲义—素养拓展(精讲+精练)(新高考通用)
素养拓展37圆锥曲线中的存在性和探索性问题(解析版)_02高考数学_新高考复习资料_2024年新高考资料_一轮复习资料_一轮复习讲义—素养拓展(精讲+精练)(新高考通用)
素养拓展37圆锥曲线中的存在性和探索性问题(解析版)_02高考数学_新高考复习资料_2024年新高考资料_一轮复习资料_一轮复习讲义—素养拓展(精讲+精练)(新高考通用)
素养拓展37圆锥曲线中的存在性和探索性问题(解析版)_02高考数学_新高考复习资料_2024年新高考资料_一轮复习资料_一轮复习讲义—素养拓展(精讲+精练)(新高考通用)
素养拓展37圆锥曲线中的存在性和探索性问题(解析版)_02高考数学_新高考复习资料_2024年新高考资料_一轮复习资料_一轮复习讲义—素养拓展(精讲+精练)(新高考通用)
素养拓展37圆锥曲线中的存在性和探索性问题(解析版)_02高考数学_新高考复习资料_2024年新高考资料_一轮复习资料_一轮复习讲义—素养拓展(精讲+精练)(新高考通用)
素养拓展37圆锥曲线中的存在性和探索性问题(解析版)_02高考数学_新高考复习资料_2024年新高考资料_一轮复习资料_一轮复习讲义—素养拓展(精讲+精练)(新高考通用)
素养拓展37圆锥曲线中的存在性和探索性问题(解析版)_02高考数学_新高考复习资料_2024年新高考资料_一轮复习资料_一轮复习讲义—素养拓展(精讲+精练)(新高考通用)
素养拓展37圆锥曲线中的存在性和探索性问题(解析版)_02高考数学_新高考复习资料_2024年新高考资料_一轮复习资料_一轮复习讲义—素养拓展(精讲+精练)(新高考通用)
素养拓展37圆锥曲线中的存在性和探索性问题(解析版)_02高考数学_新高考复习资料_2024年新高考资料_一轮复习资料_一轮复习讲义—素养拓展(精讲+精练)(新高考通用)
素养拓展37圆锥曲线中的存在性和探索性问题(解析版)_02高考数学_新高考复习资料_2024年新高考资料_一轮复习资料_一轮复习讲义—素养拓展(精讲+精练)(新高考通用)
素养拓展37圆锥曲线中的存在性和探索性问题(解析版)_02高考数学_新高考复习资料_2024年新高考资料_一轮复习资料_一轮复习讲义—素养拓展(精讲+精练)(新高考通用)
素养拓展37圆锥曲线中的存在性和探索性问题(解析版)_02高考数学_新高考复习资料_2024年新高考资料_一轮复习资料_一轮复习讲义—素养拓展(精讲+精练)(新高考通用)
素养拓展37圆锥曲线中的存在性和探索性问题(解析版)_02高考数学_新高考复习资料_2024年新高考资料_一轮复习资料_一轮复习讲义—素养拓展(精讲+精练)(新高考通用)
素养拓展37圆锥曲线中的存在性和探索性问题(解析版)_02高考数学_新高考复习资料_2024年新高考资料_一轮复习资料_一轮复习讲义—素养拓展(精讲+精练)(新高考通用)
素养拓展37圆锥曲线中的存在性和探索性问题(解析版)_02高考数学_新高考复习资料_2024年新高考资料_一轮复习资料_一轮复习讲义—素养拓展(精讲+精练)(新高考通用)
素养拓展37圆锥曲线中的存在性和探索性问题(解析版)_02高考数学_新高考复习资料_2024年新高考资料_一轮复习资料_一轮复习讲义—素养拓展(精讲+精练)(新高考通用)
素养拓展37圆锥曲线中的存在性和探索性问题(解析版)_02高考数学_新高考复习资料_2024年新高考资料_一轮复习资料_一轮复习讲义—素养拓展(精讲+精练)(新高考通用)
素养拓展37圆锥曲线中的存在性和探索性问题(解析版)_02高考数学_新高考复习资料_2024年新高考资料_一轮复习资料_一轮复习讲义—素养拓展(精讲+精练)(新高考通用)
素养拓展37圆锥曲线中的存在性和探索性问题(解析版)_02高考数学_新高考复习资料_2024年新高考资料_一轮复习资料_一轮复习讲义—素养拓展(精讲+精练)(新高考通用)
素养拓展37圆锥曲线中的存在性和探索性问题(解析版)_02高考数学_新高考复习资料_2024年新高考资料_一轮复习资料_一轮复习讲义—素养拓展(精讲+精练)(新高考通用)
素养拓展37圆锥曲线中的存在性和探索性问题(解析版)_02高考数学_新高考复习资料_2024年新高考资料_一轮复习资料_一轮复习讲义—素养拓展(精讲+精练)(新高考通用)
素养拓展37圆锥曲线中的存在性和探索性问题(解析版)_02高考数学_新高考复习资料_2024年新高考资料_一轮复习资料_一轮复习讲义—素养拓展(精讲+精练)(新高考通用)
素养拓展37圆锥曲线中的存在性和探索性问题(解析版)_02高考数学_新高考复习资料_2024年新高考资料_一轮复习资料_一轮复习讲义—素养拓展(精讲+精练)(新高考通用)
素养拓展37圆锥曲线中的存在性和探索性问题(解析版)_02高考数学_新高考复习资料_2024年新高考资料_一轮复习资料_一轮复习讲义—素养拓展(精讲+精练)(新高考通用)
素养拓展37圆锥曲线中的存在性和探索性问题(解析版)_02高考数学_新高考复习资料_2024年新高考资料_一轮复习资料_一轮复习讲义—素养拓展(精讲+精练)(新高考通用)
素养拓展37圆锥曲线中的存在性和探索性问题(解析版)_02高考数学_新高考复习资料_2024年新高考资料_一轮复习资料_一轮复习讲义—素养拓展(精讲+精练)(新高考通用)
素养拓展37圆锥曲线中的存在性和探索性问题(解析版)_02高考数学_新高考复习资料_2024年新高考资料_一轮复习资料_一轮复习讲义—素养拓展(精讲+精练)(新高考通用)
素养拓展37圆锥曲线中的存在性和探索性问题(解析版)_02高考数学_新高考复习资料_2024年新高考资料_一轮复习资料_一轮复习讲义—素养拓展(精讲+精练)(新高考通用)
素养拓展37圆锥曲线中的存在性和探索性问题(解析版)_02高考数学_新高考复习资料_2024年新高考资料_一轮复习资料_一轮复习讲义—素养拓展(精讲+精练)(新高考通用)
素养拓展37圆锥曲线中的存在性和探索性问题(解析版)_02高考数学_新高考复习资料_2024年新高考资料_一轮复习资料_一轮复习讲义—素养拓展(精讲+精练)(新高考通用)
素养拓展37圆锥曲线中的存在性和探索性问题(解析版)_02高考数学_新高考复习资料_2024年新高考资料_一轮复习资料_一轮复习讲义—素养拓展(精讲+精练)(新高考通用)
素养拓展37圆锥曲线中的存在性和探索性问题(解析版)_02高考数学_新高考复习资料_2024年新高考资料_一轮复习资料_一轮复习讲义—素养拓展(精讲+精练)(新高考通用)
素养拓展37圆锥曲线中的存在性和探索性问题(解析版)_02高考数学_新高考复习资料_2024年新高考资料_一轮复习资料_一轮复习讲义—素养拓展(精讲+精练)(新高考通用)
素养拓展37圆锥曲线中的存在性和探索性问题(解析版)_02高考数学_新高考复习资料_2024年新高考资料_一轮复习资料_一轮复习讲义—素养拓展(精讲+精练)(新高考通用)
素养拓展37圆锥曲线中的存在性和探索性问题(解析版)_02高考数学_新高考复习资料_2024年新高考资料_一轮复习资料_一轮复习讲义—素养拓展(精讲+精练)(新高考通用)
素养拓展37圆锥曲线中的存在性和探索性问题(解析版)_02高考数学_新高考复习资料_2024年新高考资料_一轮复习资料_一轮复习讲义—素养拓展(精讲+精练)(新高考通用)
素养拓展37圆锥曲线中的存在性和探索性问题(解析版)_02高考数学_新高考复习资料_2024年新高考资料_一轮复习资料_一轮复习讲义—素养拓展(精讲+精练)(新高考通用)
素养拓展37圆锥曲线中的存在性和探索性问题(解析版)_02高考数学_新高考复习资料_2024年新高考资料_一轮复习资料_一轮复习讲义—素养拓展(精讲+精练)(新高考通用)
素养拓展37圆锥曲线中的存在性和探索性问题(解析版)_02高考数学_新高考复习资料_2024年新高考资料_一轮复习资料_一轮复习讲义—素养拓展(精讲+精练)(新高考通用)
素养拓展37圆锥曲线中的存在性和探索性问题(解析版)_02高考数学_新高考复习资料_2024年新高考资料_一轮复习资料_一轮复习讲义—素养拓展(精讲+精练)(新高考通用)
素养拓展37圆锥曲线中的存在性和探索性问题(解析版)_02高考数学_新高考复习资料_2024年新高考资料_一轮复习资料_一轮复习讲义—素养拓展(精讲+精练)(新高考通用)
素养拓展37圆锥曲线中的存在性和探索性问题(解析版)_02高考数学_新高考复习资料_2024年新高考资料_一轮复习资料_一轮复习讲义—素养拓展(精讲+精练)(新高考通用)
素养拓展37圆锥曲线中的存在性和探索性问题(解析版)_02高考数学_新高考复习资料_2024年新高考资料_一轮复习资料_一轮复习讲义—素养拓展(精讲+精练)(新高考通用)
素养拓展37圆锥曲线中的存在性和探索性问题(解析版)_02高考数学_新高考复习资料_2024年新高考资料_一轮复习资料_一轮复习讲义—素养拓展(精讲+精练)(新高考通用)
素养拓展37圆锥曲线中的存在性和探索性问题(解析版)_02高考数学_新高考复习资料_2024年新高考资料_一轮复习资料_一轮复习讲义—素养拓展(精讲+精练)(新高考通用)
素养拓展37圆锥曲线中的存在性和探索性问题(解析版)_02高考数学_新高考复习资料_2024年新高考资料_一轮复习资料_一轮复习讲义—素养拓展(精讲+精练)(新高考通用)
素养拓展37圆锥曲线中的存在性和探索性问题(解析版)_02高考数学_新高考复习资料_2024年新高考资料_一轮复习资料_一轮复习讲义—素养拓展(精讲+精练)(新高考通用)
素养拓展37圆锥曲线中的存在性和探索性问题(解析版)_02高考数学_新高考复习资料_2024年新高考资料_一轮复习资料_一轮复习讲义—素养拓展(精讲+精练)(新高考通用)
素养拓展37圆锥曲线中的存在性和探索性问题(解析版)_02高考数学_新高考复习资料_2024年新高考资料_一轮复习资料_一轮复习讲义—素养拓展(精讲+精练)(新高考通用)
素养拓展37圆锥曲线中的存在性和探索性问题(解析版)_02高考数学_新高考复习资料_2024年新高考资料_一轮复习资料_一轮复习讲义—素养拓展(精讲+精练)(新高考通用)
素养拓展37圆锥曲线中的存在性和探索性问题(解析版)_02高考数学_新高考复习资料_2024年新高考资料_一轮复习资料_一轮复习讲义—素养拓展(精讲+精练)(新高考通用)
素养拓展37圆锥曲线中的存在性和探索性问题(解析版)_02高考数学_新高考复习资料_2024年新高考资料_一轮复习资料_一轮复习讲义—素养拓展(精讲+精练)(新高考通用)
素养拓展37圆锥曲线中的存在性和探索性问题(解析版)_02高考数学_新高考复习资料_2024年新高考资料_一轮复习资料_一轮复习讲义—素养拓展(精讲+精练)(新高考通用)
素养拓展37圆锥曲线中的存在性和探索性问题(解析版)_02高考数学_新高考复习资料_2024年新高考资料_一轮复习资料_一轮复习讲义—素养拓展(精讲+精练)(新高考通用)
素养拓展37圆锥曲线中的存在性和探索性问题(解析版)_02高考数学_新高考复习资料_2024年新高考资料_一轮复习资料_一轮复习讲义—素养拓展(精讲+精练)(新高考通用)
素养拓展37圆锥曲线中的存在性和探索性问题(解析版)_02高考数学_新高考复习资料_2024年新高考资料_一轮复习资料_一轮复习讲义—素养拓展(精讲+精练)(新高考通用)
素养拓展37圆锥曲线中的存在性和探索性问题(解析版)_02高考数学_新高考复习资料_2024年新高考资料_一轮复习资料_一轮复习讲义—素养拓展(精讲+精练)(新高考通用)
素养拓展37圆锥曲线中的存在性和探索性问题(解析版)_02高考数学_新高考复习资料_2024年新高考资料_一轮复习资料_一轮复习讲义—素养拓展(精讲+精练)(新高考通用)

文档信息

文档格式
docx
文档大小
4.223 MB
文档页数
58 页
上传时间
2026-04-20 00:35:10

文档内容

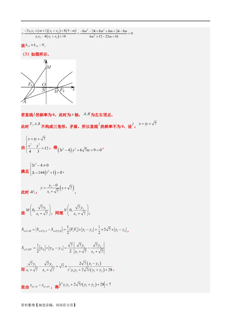
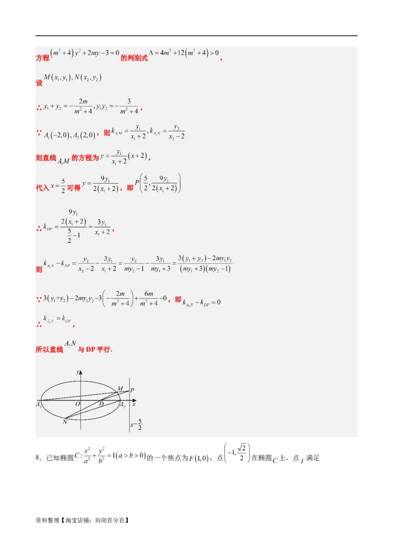
【一轮复习讲义】2024年高考数学高频考点题型归纳与方法总结(新高考通用) 素养拓展 37 圆锥曲线中的存在性和探索性问题(精讲+精 练) 一、知识点梳理 一、圆锥曲线中的存在性问题 1.存在性问题通常采用“肯定顺推法”,将不确定性问题明朗化. 一般步骤为: ①假设满足条件的元素(点、直线、曲线或参数)存在, ②用待定系数法设出, ③列出关于待定系数的方程组,若方程组有实数解,则元素(点、直线、曲线或参数)存在;否则,元素(点、直 线、曲线或参数)不存在. 注:反证法与验证法也是求解存在性问题常用的方法. 【一般策略】 求解字母参数值的存在性问题时,通常的方法是首先假设满足条件的参数值存在,然后利用这些条件并结 合题目的其他已知条件进行推理与计算,若不出现矛盾,并且得到了相应的参数值,就说明满足条件的参 数值存在;若在推理与计算中出现了矛盾,则说明满足条件的参数值不存在,同时推理与计算的过程就是说 明理由的过程. 二、圆锥曲线中的探索性性问题 1.对于探索性问题,一般先假设存在,推证满足条件的结论,若结论正确则存在,若结论不正确则不存在. 要注意:(1)当条件和结论不唯一时要分类讨论; (2)当给出结论而要推导出存在的条件时,先假设成立,再推出条件; (3)当条件和结论都不知,按常规方法解题很难时,要开放思维,采取另外合适的方法. 二、题型精讲精练 【典例1】已知双曲线E: 与直线l: 相交于A、B两点,M为线段AB的中点. (1)当k变化时,求点M的轨迹方程; (2)若l与双曲线E的两条渐近线分别相交于C、D两点,问:是否存在实数k,使得A、B是线段CD的两 个三等分点?若存在,求出k的值;若不存在,说明理由. 资料整理【淘宝店铺:向阳百分百】【分析】(1)设 , , ,联立直线l与双曲线E的方程,消去y,得 ,根据已知直线l与双曲线E相交于A、B两点,得 且 ,即 且 ,由韦达定理,得 , 则 , ,联立消去k,得 ,再根据 的范围得出 的范围,即可得出答 案; (2)设 , ,根据双曲线E的渐近线方程与直线l的方程联立即可得出 , ,则 ,即线段AB的中点M也是线段CD的中点,若A,B为线段CD的两 个三等分点,则 ,结合弦长公式列式得 ,即可化简代入得出 ,即可解出答案. 【详解】(1)设 , , ,联立直线l与双曲线E的方程,得 , 消去y,得 .由 且 ,得 且 . 由韦达定理,得 .所以 , . 由 消去k,得 . 由 且 ,得 或 .所以,点M的轨迹方程为 ,其中 或 . (2)双曲线E的渐近线方程为 . 资料整理【淘宝店铺:向阳百分百】设 , ,联立 得 ,同理可得 , 因为 ,所以,线段AB的中点M也是线段CD的中点. 若A,B为线段CD的两个三等分点,则 .即 , . 而 , . 所以, ,解得 , 所以 ,存在实数,使得A、B是线段CD的两个三等分点. 【典例2】在平面直角坐标系 中,动点 ,满足 ,记点 的轨迹 为 . (1)请说明 是什么曲线,并写出它的方程; (2)设不过原点 且斜率为 的直线 与 交于不同的两点 , ,线段 的中点为 ,直线 与 交于两 点 , ,请判断 与 的关系,并证明你的结论. 【解析】(1)设 , ,则因为 ,满足 ,即动点 表示以点 , 为左、右焦点,长轴长为4,焦距为 的椭圆,其轨迹的方程 为 ; (2)可以判断出 , 资料整理【淘宝店铺:向阳百分百】下面进行证明:设直线 的方程为 , , , 由方程组 ,得 ①, 方程①的判别式为 ,由 ,即 ,解得 且 . 由①得 , , 所以 点坐标为 ,直线 方程为 , 由方程组 ,得 , , 所以 . 又 . 所以 资料整理【淘宝店铺:向阳百分百】【题型训练-刷模拟】 1 . 存在性问题 一、解答题 1.双曲线 : 的渐近线方程为 ,一个焦点到该渐近线的距离为1. (1)求 的方程; (2)是否存在直线 ,经过点 且与双曲线 于A, 两点, 为线段 的中点,若存在,求 的方 程;若不存在,说明理由. 【答案】(1) (2)存在, . 【分析】(1)利用双曲线的性质及点到直线距离公式计算即可; (2)利用点差法计算即可. 【详解】(1)令 ,所以 , 又由题意可知双曲线的焦点 到渐近线的距离 , 所以双曲线的标准方程为: ; (2)假设存在, 由题意知:该直线的斜率存在,设 , ,直线 的斜率为 , 则 , , 又有 , , 两式相减得 ,即 即 ,所以 ,解得 , 资料整理【淘宝店铺:向阳百分百】所以直线 的方程为 ,即 , 联立直线与双曲线方程 得: , 即直线 与双曲线 有两个交点,满足条件,所以存在直线 ,其方程为 . 2.已知椭圆方程为 ,过点 , 的直线倾斜角为 ,原点到该直线的距 离为 . (1)求椭圆的方程; (2)对于 ,是否存在实数k,使得直线 分别交椭圆于点P,Q,且 ,若存在,求 出k的值;若不存在,请说明理由. 【答案】(1) (2)满足条件的k不存在,理由见解析 【分析】(1)根据斜率定义得到 ,求出过点 , 的直线方程,由点到直线距离公式 得到方程,求出 ,进而得到 ,得到椭圆方程; (2)联立直线与椭圆方程,得到两根之和,两根之积,设PQ的中点为M,由 得到 , 由斜率关系得到方程,求出 或 ,经过检验,均不合要求. 【详解】(1)因为过点 , 的直线倾斜角为 , 所以 ,即 , 资料整理【淘宝店铺:向阳百分百】过点 , 的直线方程为 , 故原点到该直线的距离为 ,解得 , 故 ,所以椭圆的方程是 . (2)记 , .将 代入 得, , 则 ,解得 或 , 设PQ的中点为M,则 , . 由 ,得 , ∴ , ∴ ,得 或 , 由于 或 , 故 , 均使方程没有两相异实根, ∴满足条件的k不存在. 3.已知椭圆 : ,点 、 分别是椭圆 的左焦点、左顶点,过点 的直线 (不与x轴重合)交椭圆 于A,B两点. 资料整理【淘宝店铺:向阳百分百】(1)求椭圆M的标准方程; (2)若 ,求 的面积; (3)是否存在直线 ,使得点B在以线段 为直径的圆上,若存在,求出直线 的方程;若不存在,请说明 理由. 【答案】(1) (2) (3)不存在,理由见详解 【分析】(1)根据题意可得 ,进而可求 和椭圆标准方程; (2)可根据直线方程与椭圆方程联立方程组解出交点坐标,再根据点的坐标,求三角形面积.△ 的 面积可分割成两个小三角形,其底皆为 ; (3)存在性问题,一般从计算出发,即垂直关系结合椭圆方程交点求出B点坐标: 或 ,而由椭 圆范围知这样的B点不存在. 【详解】(1)由左焦点 、左顶点 可知: ,则 , 所以椭圆 的标准方程为 . (2)因为 , , 则过 的直线 的方程为: ,即 , 资料整理【淘宝店铺:向阳百分百】解方程组 ,解得 或 , 所以 的面积 . (3)若点B在以线段 为直径的圆上,等价于 ,即 , 设 ,则 , 因为 ,则 , 令 , 解得: 或 , 又因为 ,则不存在点 ,使得 , 所以不存在直线 ,点B在以线段 为直径的圆上. 4.已知抛物线 ,直线 垂直于 轴,与 交于 两点, 为坐标原点,过点 且平行于 轴的直线与直线 交于点 ,记动点 的轨迹为曲线 . (1)求曲线 的方程; (2)点 在直线 上运动,过点 作曲线 的两条切线,切点分别为 ,在平面内是否存在定点 , 使得 ?若存在,请求出定点 的坐标;若不存在,请说明理由. 【答案】(1) (2)存在定点 【分析】(1)由相关点代入法求轨迹方程即可; (2)先由特殊位置确定定点在 轴上,设定点,由相切求出切点满足的关系式,再由垂直的坐标条件求解. 资料整理【淘宝店铺:向阳百分百】【详解】(1)设 ,则 , 由题意线 垂直于 轴,与 交于 两点,知 , 过点 且平行于 轴的直线方程为: , 直线 的方程为: , 令 ,得 ,即 , 由 得 , 因为 在抛物线 上,即 , 则 ,化简得 , 由题意知 不重合,故 , 所以曲线 的方程为 (2)由(1)知曲线 的方程为 , 点 在直线 上运动, 当点 在特殊位置 时, 两个切点 关于 轴对称, 故要使得 ,则点 在 轴上. 资料整理【淘宝店铺:向阳百分百】故设 , 曲线 的方程为 ,求导得 , 所以切线 的斜率 , 直线 的方程为 , 又点 在直线 上, 所以 , 整理得 , 同理可得 , 故 和 是一元二次方程 的根, 由韦达定理得 , , 资料整理【淘宝店铺:向阳百分百】当 时, 恒成立, 所以存在定点 ,使得 恒成立. 5.在直角坐标系 中,抛物线 与直线 交于M,N两点. (1)若M,N的横坐标分别为 ,4,求直线l的方程及MN的中垂线所在的直线方程; (2)y轴上是否存在点P,使得当k变动时,总有 ?说明理由. 【答案】(1)答案见详解 (2)存在,理由见详解 【分析】(1)根据抛物线C的方程,求出点M、N的坐标,进而求相应的直线方程; (2)设点P 为符合题意的点,将直线l的方程与抛物线C的方程联立,列出韦达定理,利用斜率公 式计算直线PM和直线PN的斜率之和为0,求出 的值,即可解决该问题. 【详解】(1)由题意可知 , ,则直线 的斜率 , 所以直线l的方程为 ,即 ; 可得线段 的中点坐标为 ,线段MN的中垂线所在的直线的斜率 线段MN的中垂线所在的直线方程为 ,即 . (2)存在符合题意的点 ,理由如下: 设点 为符合题意的点, , ,直线 , 的斜率分别为 , . 资料整理【淘宝店铺:向阳百分百】联立方程 ,得 , 因为 ,则 ,可得 , , 从而 , 因为 不恒为0,可知当且仅当 时,恒有 , 则直线 与直线 的倾斜角互补,故 , 所以点 符合题意. 6.如图, 为抛物线 上四个不同的点,直线AB与直线MN相交于点 ,直线AN 过点 (1)记A,B的纵坐标分别为 ,求 ; (2)记直线AN,BM的斜率分别为 ,是否存在实数 ,使得 ?若存在,求出 的值,若不存在 资料整理【淘宝店铺:向阳百分百】说明理由 【答案】(1) (2)存在, 【分析】(1)设出直线 的方程并与抛物线方程联立,化简写出根与系数关系,从而求得正确答案. (2)先求得 ,然后由 求得正确答案. 【详解】(1)设直线 的方程为 , 由 消去 并化简得 , 则 . (2)设直线 的方程为 ,同(1)可求得 , 设直线 的方程为 , 由 消去 并化简得 , 所以 . , 同理可求得 , 则 , 所以存在 使得 . 7.已知椭圆 : 过点 ,离心率为 ,斜率不为零的直线 过右焦点 交椭圆 于 两点. (1)求椭圆 的方程; 资料整理【淘宝店铺:向阳百分百】(2)在 轴上是否存在定点 ,使得 ,如果存在,求出 点坐标,如果不存在, 说明理由. 【答案】(1) (2)存在, 【分析】(1)由椭圆上的点和离心率,求椭圆 的方程; (2)因为 ,所以 ,设直线方程,与椭圆方程联立,利用韦达定理代入 ,求出 点坐标. 【详解】(1)因为椭圆过点 ,离心率为 , 所以 ,解得 , 所以椭圆C的方程为 (2)假设在 轴上存在定点 , 使得 , 设直线L的方程为 , , , 因为 ,所以 , 即 ,所以 , 资料整理【淘宝店铺:向阳百分百】即 , 所以 (*) , 由 ,得 , 所以 代入(*), 得 , 所以 ,故在 轴上存在定点 ,使得 . 另解: ①当 斜率存在时,设 的方程为 , 因为 ,所以 , 即 ,所以 , 即 , 即 (*), 由 得 , 则 ,代入(*) 得 , 所以 ,故在 轴上存在定点 ,使得 . ②当 斜率不存在时,显然 资料整理【淘宝店铺:向阳百分百】综上所述:在 轴上存在定点 ,使得 . 8.已知离心率为 的椭圆C的中心在原点O,对称轴为坐标轴,F,F 为左右焦点,M为椭圆上的点, 1 2 且 .直线l过椭圆外一点 ,与椭圆交于 , 两点,满足 . (1)求椭圆C的标准方程; (2)对于任意点P,是否总存在唯一的直线l,使得 成立,若存在,求出点 对应的直线l的 斜率;否则说明理由. 【答案】(1) (2)存在, 【分析】(1)由椭圆定义得出 ,再应用离心率得出椭圆方程即可; (2)设直线l方程为 联立 与椭圆方程可得韦达定理,再结合向量共线计算唯一性可 得. 【详解】(1)由题可设椭圆方程为 ,则 , 由椭圆定义可得 , 则 , , , 所以椭圆的方程为: . (2)设直线l方程为 (斜率必存在), 则 , , 资料整理【淘宝店铺:向阳百分百】, , , 化简得 ①, 联立 与椭圆方程可得, , , , , 代入①得, , ②, , 代入②得: ,故 , 而点A、B在x轴上方,所以对于任意一个 ,存在唯一的 使得 成立, 故满足题意的直线l有且只有一条. 例如, 时: 9.已知椭圆 过点 ,且上顶点与右顶点的距离为 . (1)求椭圆 的方程; 资料整理【淘宝店铺:向阳百分百】(2)若过点 的直线 交椭圆 于 两点, 轴上是否存在点 使得 ,若存在,求出 点 的坐标;若不存在,请说明理由. 【答案】(1) (2)存在;点 【分析】(1)根据上顶点与右顶点距离和椭圆所过点可构造方程组求得 ,进而得到椭圆方程; (2)当直线 与 轴不重合时,假设直线方程,与椭圆方程联立可得韦达定理的结论,根据 可 构造方程求得 点坐标;当直线 与 轴重合时,验证所求 点坐标满足条件;综合两种情况可得结论. 【详解】(1) 椭圆 上顶点与右顶点的距离为 , ; 又椭圆 过点 , ; 两式联立可解得: , , 椭圆 的方程为: . (2)当直线 与 轴不重合时,设其方程为 , , 由 得: , 则 ,解得: 或 , , , 假设存在点 使得 ,即存在点 使得 , 资料整理【淘宝店铺:向阳百分百】设点 ,则 , , ,又 , ,解得: , ; 当直线 与 轴重合时, 分别为椭圆 左右顶点, 若 ,此时 显然成立; 综上所述: 轴上存在点 满足题意. 10.已知椭圆 的离心率为 ,椭圆上的点到焦点的最小距离是3. (1)求椭圆 的方程; (2)是否存在过点 的直线交曲线 于 两点,使得 为 中点?若存在,求该直线方程,若不存 在,请说明理由. 【答案】(1) (2)存在,该直线方程为 【分析】(1)设椭圆上一点 , ,表达出 ,得到 ,结 合离心率得到 ,求出椭圆方程; (2)根据点差法求出斜率,再根据点斜式可求出结果. 【详解】(1)由题意得 ,设椭圆右焦点坐标为 , 设椭圆上一点 , , 资料整理【淘宝店铺:向阳百分百】则 ,故 , , 因为 ,所以 , , 故 , 故椭圆上的点到又焦点的最小距离是 ,所以 , 联立 与 ,解得 ,故 , 故椭圆 的方程为 . (2)假设存在过点 的直线交曲线 于 两点,使得 为 中点, 设 , , 则 ,两式相减得 , 得 ,即 , 直线 方程为 ,即 . 所以存在过点 的直线交曲线 于 两点,使得 为 中点, 且该直线方程为 . 11.已知双曲线 的左、右焦点分别为 , , 是 的左顶点, 的离心率为2.设过 资料整理【淘宝店铺:向阳百分百】的直线 交 的右支于 、 两点,其中 在第一象限. (1)求 的标准方程; (2)是否存在常数 ,使得 恒成立?若存在,求出 的值;否则,说明理由. 【答案】(1) (2)存在, 【分析】(1)根据离心率,以及 ,结合 ,即可求得曲线 方程; (2)求得直线 不存在斜率时满足的 ,当斜率存在时,将所求问题,转化为直线 斜率之间的关 系,结合点 的坐标满足曲线 方程,求解即可. 【详解】(1)由题可得 ,故可得 ,则 , 故 的标准方程为 . (2)当直线 斜率不存在时, 对曲线 ,令 ,解得 , 故点 的坐标为 ,此时 , 在三角形 中, ,故可得 , 则存在常数 ,使得 成立; 当直线 斜率存在时, 资料整理【淘宝店铺:向阳百分百】不妨设点 的坐标为 , ,直线 的倾斜角为 ,直线 的倾斜角为 , 则 , , 假设存在常数 ,使得 成立,即 , 则一定有: ,也即 ; 又 ; ; 又点 的坐标满足 ,则 , 故 ; 故假设成立,存在实数常数 ,使得 成立; 综上所述,存在常数 ,使得 恒成立. 12.已知动点 到定点 的距离与动点 到定直线 的距离之比为 . (1)求点 的轨迹 的方程; (2)对 ,曲线 上是否始终存在两点 , 关于直线 对称?若存在,求实数 的取值范围; 若不存在,请说明理由. 【答案】(1) (2)存在, 【分析】(1)设 ,则 ,整理即可得解; (2)当 时,设直线 方程为 , , ,联立直线与椭圆方程,消元、列 资料整理【淘宝店铺:向阳百分百】出韦达定理,设 的中点为 ,则 满足 ,即可得 ,再由 求出 的 值,即可得解. 【详解】(1)设 ,则 , 即 ,整理得 , 所以点 的轨迹 的方程为 . (2)假设曲线 上始终存在两点 , 关于直线 对称, 当 时,设直线 方程为 , , , 联立 ,整理得 , 则 , 所以 , . 设 的中点为 , 则 , , 将 代入 ,则 , 所以 ,所以 对 恒成立, 即 对 恒成立, 因为 ,所以 ,则 . 资料整理【淘宝店铺:向阳百分百】易知当 时,曲线 上存在两点,关于直线 对称. 所以 的取值范围为 . 13.已知抛物线 经过点 ,直线 与 交于 , 两点(异于坐标原 点 ). (1)若 ,证明:直线 过定点. (2)已知 ,直线 在直线 的右侧, , 与 之间的距离 , 交 于 , 两点,试问是否 存在 ,使得 ?若存在,求 的值;若不存在,说明理由. 【答案】(1)证明见解析 (2)存在, 【分析】(1)将点 代入抛物线方程求出 ,直线与抛物线联立方程组,由 ,利用向 量数量积和韦达定理,求出 ,可得直线所过定点. (2)设两条直线 与 的方程,分别与抛物线方程联立,求出弦长,由 和 ,求 的值. 【详解】(1)证明:将点 代入 ,得 ,即 . 资料整理【淘宝店铺:向阳百分百】联立 得 , 由 ,设 , ,则 , . 因为 ,所以 恒成立,则 , 所以 的方程为 ,故直线 过定点 . (2)联立 得 ,则 且 ,即 , , 设 ,同理可得 . 资料整理【淘宝店铺:向阳百分百】因为直线 在 的右侧,所以 ,则 ,即 . 所以 ,即 ,解得 , 因为 ,所以满足条件的 存在, . 【点睛】方法点睛: 解答直线与抛物线的题目时,时常把两个曲线的方程联立,消去x(或y)建立一元二次方程,然后借助根与 系数的关系,并结合题设条件建立有关参变量的等量关系.注意观察应用题设中的每一个条件,明确确定 直线、抛物线的条件;强化有关直线与抛物线联立得出一元二次方程后的运算能力,重视根与系数之间的 关系、弦长、斜率、三角形的面积等问题. 14.已知椭圆 的焦距为2,且经过点 . (1)求椭圆C的方程; (2)经过椭圆右焦点F且斜率为 的动直线l与椭圆交于A、B两点,试问x轴上是否存在异于点F的 定点T,使 恒成立?若存在,求出T点坐标,若不存在,说明理由. 【答案】(1) (2)存在;点 【分析】(1)根据题意,得到 ,再由椭圆 经过点 ,联立方程组,求得 ,即可 求解. (2)设直线l的方程为 ,联立方程组,得到 ,设 点坐标为 , 由 ,得到 ,得到 ,得到 ,列出 方程,求得 ,即可求解. 【详解】(1)解:由椭圆 的焦距为2,故 ,则 , 资料整理【淘宝店铺:向阳百分百】又由椭圆 经过点 ,代入 得 ,解得 , 所以椭圆 的方程为 . (2)解:根据题意,直线l的斜率显然不为零,令 , 由椭圆右焦点 ,故可设直线l的方程为 , 联立方程组 ,整理得 , 则 , 设 , ,且 , 设存在点 ,设 点坐标为 ,由 ,可得 , 又因为 , 所以 ,所以 , 所以直线 和 关于 轴对称,其倾斜角互补,即有 , 则 ,所以 , 所以 ,整理得 , 即 ,即 , 解得 ,符合题意,即存在点 满足题意. 15.已知双曲线 : 的左、右焦点为 、 ,直线 与双曲线 交于 , 两点. (1)已知 过 且垂直于 ,求 ; 资料整理【淘宝店铺:向阳百分百】(2)已知直线 的斜率为 ,且直线 不过点 ,设直线 、 的斜率分别为 、 ,求 的值; (3)当直线 过 时,直线 交 轴于 ,直线 交 轴于 .是否存在直线 ,使得 ,若存 在,求出直线 的方程;若不存在,请说明理由. 【答案】(1)3 (2)0 (3)存在, 【分析】(1)直接代入横坐标求解纵坐标,从而求出 的值; (2)先设出直线和得到韦达定理,然后列出斜率之和的式子带入即可; (3)先设直线和得到韦达定理,在分别得到两个三角形的面积公式,要求相等,代入韦达定理求出参数 的值即可. 【详解】(1)因为 ,所以 , 所以 ,当直线 过点 且 时,此时 轴,所以 , 代入可得 ,所以 ; (2)设直线 ,因为直线不经过点 ,所以 , 联立 ,得 , 所以 , 由韦达定理 , 资料整理【淘宝店铺:向阳百分百】故 . (3)如图所示, 若直线 的斜率为0,此时为 轴, 为左右顶点, 此时 不构成三角形,矛盾,所以直线 的斜率不为0,设 : 由 ,得 , 满足 , 此时 : , 故 ,同理 , , 而 , 故由 ,得 资料整理【淘宝店铺:向阳百分百】而 , 代入可得 ,解得 或 (舍), 所有 ,经检验此时满足 且 , 故存在满足条件的直线 ,其方程为 法二: 即 , 由相似三角形可知 , 所以 (*). 若 斜率不存在,则 均在右支,此时 ,矛盾,舍去; 所以设 : , 联立 ,可得 (**), 需满足 , 由韦达定理, , , 代入(*)得 或者 , 解得 (舍)或者 ,所以 , 经检验,此时满足 且 . 资料整理【淘宝店铺:向阳百分百】故 方程为: . 【点睛】关键点睛:碰到面积相等或者成比例的题的时候,往往可以利用同角的边成比例来解决,可以降 低思维量和运算量. 2 . 探索性问题 一、解答题 1.已知椭圆 : 的左、右焦点分别为 , ,过点 且斜率为k的直线 与椭圆 交于A,B两点.当A为椭圆E的上顶点时, . (1)求椭圆 的标准方程; (2)当 时,试判断以AB为直径的圆是否经过点 ,并说明理由. 【答案】(1) (2)以 为直径的圆不经过点 ,理由见解析 【分析】(1)将直线方程求出来,再带入向量等式即可求出椭圆方程; (2)联立计算出 的值,即可判断是否经过 . 【详解】(1)由题意,得椭圆 的半焦距 , 当 为椭圆 的上顶点时, ,设 , 则 , . 由 ,得 , , ∴ , 将点 的坐标代入椭圆 的方程,得 ,解得 . 资料整理【淘宝店铺:向阳百分百】又 ,∴ , ∴椭圆 的标准方程是 . (2)以AB为直径的圆不经过点 ,理由如下: 依题意,知直线 的方程为 . 联立 ,消去 ,并整理得 . 设 , ,则由根与系数的关系,得 , . 易知,直线 , 的斜率都存在且不为0. 若以 为直径的圆经过点 ,则 ,所以直线 , 的斜率之积为-1,即 , 而 , 所以以 为直径的圆不经过点 . 2.过抛物线 焦点 ,斜率为 的直线 与抛物线交于 、 两点, . (1)求抛物线 的方程; (2)过焦点 的直线 ,交抛物线 于 、 两点,直线 与 的交点是否在一条直线上.若是,求出 该直线的方程;否则,说明理由. 【答案】(1) (2)直线 与直线 的交点都在 上 【分析】(1)设直线 ,与抛物线方程联立,根据抛物线定义及 求得 ; 资料整理【淘宝店铺:向阳百分百】(2)分别表示出直线 与 方程,联立得交点的横坐标为定值. 【详解】(1)由题意设直线 , , , 联立方程组 ,消 得, , 所以 , ,解得 , 即指物线 的方程为 . (2)由(1)可知 , , . 设直线 , , , 联立方程组 ,消 得 , 所以 , . 直线 的斜率为 , 所以直线 ,即 , 同理可得直线 ,从而 , 即 , 解得 ,所以直线 与直线 的交点都在 上. 资料整理【淘宝店铺:向阳百分百】3.在以 为圆心,6为半径的圆A内有一点 ,点P为圆A上的任意一点,线段BP的垂直平分 线 和半径AP交于点M. (1)判断点M的轨迹是什么曲线,并求其方程; (2)记点M的轨迹为曲线 ,过点B的直线与曲线 交于C、D两点,求 的最大值; (3)在圆 上的任取一点Q,作曲线 的两条切线,切点分别为E、F,试判断QE与QF是否垂直, 并给出证明过程. 【答案】(1) (2) (3) 与 垂直,证明见解析 【分析】(1)根据已知条件及线段的垂直平分线定理,利用圆的半径及椭圆的定义,结合椭圆中 三 者的关系即可求解; (2)根据已知条件及直线的点斜式方程设出直线的方程,与椭圆的方程联立,利用韦达定理及点在直线 上,结合向量的数量积的坐标表示即可求解; (3)根据已知条件及直线的点斜式方程设出直线的方程,与椭圆的方程联立,利用直线与椭圆相切的条 件,结合两直线垂直的条件即可求解; 【详解】(1)由题意可知 , 因为线段 的垂直平分线 和半径 交于点 , 所以 , 所以 , 由椭圆的定义知,点 的轨迹是以 、 为焦点的椭圆, 由 ,得 ,又 , 所以 , 所以椭圆的标准方程为 . 资料整理【淘宝店铺:向阳百分百】(2)当直线 斜率不存在时,直线方程为 ,则 , , 所以 , 此时 , 当直线 斜率存在时,设直线 的方程为 ,则 ,消去 ,得 , 所以 , 设 , ,则 , 所以 , 综上, 的最大值为 . (3) 与 垂直,证明如下:设 ,则 , ①当两切线中有一条切线斜率不存在时,即与 轴垂直时,切线方程为 , 即 ,得 , 所以另一条切线方程为 ,即与 轴平行,所以两切线垂直. 当斜率存在时, ,设切线方程为 ,则 ,消 ,得 , 资料整理【淘宝店铺:向阳百分百】由于直线与椭圆相切,得 , 化简得 , 因为 ,所以 ,即两条切线相互垂直, 综上,过点 作的两条切线 与 垂直. 4.已知椭圆C: ,短轴长为4,离心率为 ,直线l过椭圆C的右焦点F,且与椭圆 C交于A、B两点. (1)求椭圆C的标准方程; (2)求 面积的取值范围; (3)若圆O以椭圆C的长轴为直径,直线l与圆O交于C、D两点,若动点 满足 ,试判断 直线MC与圆O的位置关系,并说明理由. 【答案】(1) (2) (3)MC与圆O相切,理由见解析 【分析】(1)根据椭圆 的关系求解; (2)利用韦达定理求出 ,再结合函数的单调性求面积的最值; (3)利用向量的数量积的坐标表示 ,再证明 即可判断位置关系. 【详解】(1)由题可得 , ,且 解得 , , 资料整理【淘宝店铺:向阳百分百】椭圆C标准方程为 . (2)由题可知,直线l不能与x重合, ,设直线l的方程为 , 直线l与椭圆C的交点为 , , 由 化简得 , , , 令 ,可得 , , , 设 时 单调递增,所以当 时 取得最小值为 ,所以 , 当 ,即 时面积取到最大值 (3)MC与圆O相切. 圆O方程为 ,设 ,因为点C在椭圆上, 所以 , , , , , 由 ,得 , 即 , ,可得 , 方法1: 资料整理【淘宝店铺:向阳百分百】且 , 可得 , , , 所以MC与圆O相切, 方法2: , 所以 , ,所以MC与圆O相切. 5.已知点E是圆 上的任意一点,点 ,线段DE的垂直平分线与直线EF交于 点C. (1)求点C的轨迹方程; (2)点 关于原点O的对称点为B,与AB平行的直线l与点C的轨迹交于点M,N,直线AM与BN交 于点P,试判断直线OP是否平分线段MN,并说明理由. 【答案】(1) (2)直线OP平分线段MN,理由见解析 【分析】(1)由题意得 ,利用椭圆的定义,得点 的轨迹是以 、 为焦点的椭圆, 进而得到椭圆的方程; (2)设 , 的方程与椭圆方程联立,利用韦达定理可得到 的中点 ,接着求出直 线 的方程、直线 的方程,联立两直线方程得 ,由化简 化简可得答案. 【详解】(1)由题意, ,又∵ , ∴ , ∴点 的轨迹是以 、 为焦点的椭圆,其中 , , 资料整理【淘宝店铺:向阳百分百】所以 , ∴椭圆 的方程为 . (2)易得 ,设 , ,将 的方程与 联立消 ,得 , 则 ,得 且 , 且 ,所以 , 所以 的中点为 即 , 因为 , 所以直线 的方程为 ,即 , 直线 的方程为 ,即 , 联立直线 与直线 的方程,得 , 得 , 所以 ,所以 三点共线, 资料整理【淘宝店铺:向阳百分百】所以直线OP平分线段MN 6.已知双曲线 ,其右焦点为 ,焦距为4,直线 过点 ,且当直线 的倾斜角为 时,恰好与双曲线 有一个交点. (1)求双曲线 的标准方程; (2)若直线 交双曲线 于 两点,交 轴于 点,且满足 ,判断 是否为常数,并给出理由. 【答案】(1) (2) 为常数,理由见解析 【分析】(1)先利用双曲线的性质推得 ,再由半焦距得 ,从而由 得到关于 的方 程,解之即可; (2)联立直线 与双曲线 的方程得到 关于 的表达式,再由 得到 关于 ,从而求得 ,由此得解. 【详解】(1)因为双曲线 ,所以其渐近线为 , 当直线 的倾斜角为 时,恰好与双曲线 有一个交点,又 经过焦点 , 可得此时直线 与双曲线的一条渐近线平行,所以 ,则 , 因为焦距为4,所以半焦距 , 又因为 ,所以 ,解得 ,故 , 所以双曲线 的标准方程为 . (2) 为常数,理由如下: 资料整理【淘宝店铺:向阳百分百】由题意,知双曲线 的右焦点为 ,直线 的斜率 存在, 设 ,直线 的方程为 , 联立 ,消去 ,得 , 显然 ,则 , 易知 , 因为 , 所以 , 所以 , 所以 , 所以 为常数. . 资料整理【淘宝店铺:向阳百分百】7.已知椭圆 的左、右顶点分别为 , ,椭圆E的离心率为 . (1)求椭圆E的标准方程; (2)过 作直线l与椭圆E交于不同的两点M,N,其中l与x轴不重合,直线 与直线 交于点 P,判断直线 与DP的位置关系,并说明理由. 【答案】(1)椭圆E的标准方程为 ; (2)平行,理由见解析. 【分析】(1)由条件列关于 的方程,解方程求 。可得椭圆方程; (2)根据题意设直线MN及M、N点坐标,结合题意求点P的坐标,结合韦达定理证明 即可. 【详解】(1)设椭圆 的半焦距为 , 由已知点 的坐标分别为 , 因为 ,所以 ,所以 , 又椭圆E的离心率为 ,所以 , 所以 , 所以 , 所以椭圆E的标准方程为 ; (2)因为直线 与x轴不重合,且过点 , 所以可设直线 的方程为 , 联立方程 ,消去x可得 , 资料整理【淘宝店铺:向阳百分百】方程 的判别式 , 设 ∴ , ∵ ,则 则直线 的方程为 , 代入 可得 ,即 ∴ , 则 ∵ ,即 ∴ , 所以直线 与DP平行. 8.已知椭圆 的一个焦点为 ,点 在椭圆 上,点 满足 资料整理【淘宝店铺:向阳百分百】(其中 为坐标原点),过点 作一直线交椭圆于 、 两点. (1)求椭圆 的方程; (2)求 面积的最大值; (3)设点 为点 关于 轴的对称点,判断 与 的位置关系,并说明理由. 【答案】(1) (2) (3) 与 共线,理由见解析 【分析】(1)根据已知条件可得出关于 、 的方程组,解出这两个量的值,即可得出椭圆的标准方程; (2)分析可知直线 与 轴不重合,设直线 的方程为 ,设点 、 ,将直线 的方 程与椭圆的方程联立,列出韦达定理,利用三角形的面积公式结合基本不等式可求得 面积的最大值; (3)易知点 ,利用平面向量共线的坐标表示结合韦达定理法可得出 与 共线,则问题得 解. 【详解】(1)解:由 得 ,所以,椭圆方程为 . (2)解:若直线 与 轴重合,则 、 、 三点共线,不合乎题意, 设直线 的方程为 ,设点 、 , 由 得 , , 由韦达定理可得 , , 由条件可知 ,即点 , 资料整理【淘宝店铺:向阳百分百】, 当且仅当 时,等号成立,故 面积的最大值为 . (3)解: 与 共线,理由如下: 易知点 , , 则 . 所以, 与 共线. 【点睛】方法点睛:圆锥曲线中的最值问题解决方法一般分两种: 一是几何法,特别是用圆锥曲线的定义和平面几何的有关结论来求最值; 二是代数法,常将圆锥曲线的最值问题转化为二次函数或三角函数的最值问题,然后利用基本不等式、函 数的单调性或三角函数的有界性等求最值. 9.已知抛物线 的焦点为 为圆 上一动点,且 的最小值为 . (1)求 的方程; (2) 在 的准线上,过 作直线 的垂线交 于 两点, 分别为线段 的中点,试判断直 线 与 的位置关系,并说明理由. 【答案】(1) (2)直线 与 相切,理由见解析 资料整理【淘宝店铺:向阳百分百】【分析】(1)由 的最小值 ,可求出 ,从而得到 的方程; (2)设直线 的方程为 ,与抛物线联立方程组,设 的坐标分别为 ,直线 的方程为 ,则 ,表示出点 和 的坐标和直线 的方程,利用韦达定理和判 别式证明直线 与 相切. 【详解】(1)圆 ,圆心 ,半径为 , 因为 ,所以 , 又 ,所以 ,故 的方程为 . (2)设直线 的方程为 ,如图所示, 由 ,得直线 的方程为 , 则点 的坐标为 . 联立 消去 后整理得 , 设 的坐标分别为 ,则 , , 可得点 的坐标为 . 资料整理【淘宝店铺:向阳百分百】由 分别为线段 的中点,可得点 的坐标为 ,即 , 同理可得点 的坐标为 . 当 时,点 的坐标为 , 轴,直线 的方程为 ,显然与 相切. 当 时,直线 的斜率为 , 则直线 的方程为 , 将 代入,得 ,整理得 , 将 代入,得直线 的方程为 , 联立方程 得 , 则 ,可得直线 与 相切. 综上,直线 与 相切. 10.已知双曲线 : , 为 的右顶点,若点 到 的一条渐近线的距离为 . (1)求双曲线 的标准方程; (2)若 , 是 上异于 的任意两点,且 的垂心为 ,试问:点 是否在定曲线上?若是,求出 该定曲线的方程;若不是,请说明理由. 【答案】(1) (2)垂心 在定曲线 上 资料整理【淘宝店铺:向阳百分百】【分析】(1)运用点到直线距离公式和双曲线中 之间的关系求解; (2)根据M,N点是否与 重合以及是否与x轴对称,分类讨论即可. 【详解】(1)由题意,双曲线的渐近线方程为 ,所以点 到渐近线的距离为 ,从而 解得 , 即 的标准方程为 ; (2)情形一: , 中没有一点为 ,且直线 的斜率存在, 设直线 : , , ,则AM和AN的斜率分别为: , 易得边 的高线 的斜率为 ,方程为: ,即 , 边AN的高线 的斜率为: ,方程为: , 联立 , ,消去 , 可得 , 资料整理【淘宝店铺:向阳百分百】联立 , , , 所以 , , 又 ,所以 , 从而 , 又H点也在MN边的高线上,MN边高线的方程为: ,消去 可得 , 化简得 ,即点 在定曲线 上; 若MN斜率不存在,则M,N关于x轴对称,即 ,如图: 设 ,则 是等腰三角形,所以 在x轴上,即 , , 资料整理【淘宝店铺:向阳百分百】,联立: ,解得: , , 在定曲线 上; 情形二: , 中有一点即 ,设 ,不妨 ,设 ,过N点作AM的垂线, 则H点在该垂线上,如图: 则 , 解得 ,所以点 在曲线 上; 综上,曲线C的方程为: ,H点总在曲线 上. 11.椭圆 的左右焦点分别为 ,左右顶点为 , 为椭圆 的上顶点, 的延长线与椭圆相交于 , 的周长为 , , 为椭圆 上一点.圆 以原点 为圆心 且过椭圆上顶点 . (1)求椭圆 的方程; (2)若过点 的直线与圆 切于 ,( 位于第一象限),求使得 面积最大时的直线 的方程; (3)若直线 与 轴的交点分别为 ,以 为直径的圆与圆 的一个交点为 ,判断直线 是否 资料整理【淘宝店铺:向阳百分百】平行于 轴并证明你的结论. 【答案】(1) (2) (3)直线 平行于 轴,证明见解析 【分析】(1)由 的周长为 得 ,由 且 在 的延长线上,得 ,设 ,代入坐标,可求 ,从而 ,椭圆方程可得. (2) 由 可知,当 时, 面积取得最大值,此时 即 从而可求直线 的方程; (3)设 则可以写出直线AP,BP的方程,从而求出 , ,根据 为直径,可得 ,再根据 及 ,可求 ,从而得证. 【详解】(1)由 的周长为 得, . 由 且 在 的延长线上,得 ,设 , , 则 , 又 ,解得 , 所以 ,椭圆 的方程为 (2) 又 , 资料整理【淘宝店铺:向阳百分百】所以当 时, 面积取得最大值,此时点 ,又因为点 位于第一象限, 直线 的方程为 . (3)直线 平行于 轴.理由如下: 由题意知点P不与点A或点B重合,设 则直线AP的方程为 , 令 得 同理可求 , 将 及 代入化简得 ,所以直线 平行于 轴. 【点睛】关键点点睛: 第三问:设 、 的坐标,则可以写出直线AP,BP的方程,从而求出 、 的坐标,根据 为直径,可 得 ,再根据 及 ,可求 ,从而得证. 12.已知动点T为平面内一点,O为坐标原点,T到点 的距离比点T到y轴的距离大1.设点T的轨 迹为C. (1)求C的方程; (2)设直线l: ,过F的直线与C交于A,B两点,线段AB的中点为M,过M且与y轴垂直的直线依 次交直线OA,OB,l于点N,P,Q,直线OB与l交于点E.记 的面积为 ,△ 的面积为 , 判断 , 的大小关系,并证明你的结论. 【答案】(1) (2) ,证明见解析 【分析】(1)利用两点距离公式及点线距离求轨迹方程; 资料整理【淘宝店铺:向阳百分百】(2)设直线 , , ,联立轨迹C,应用韦达定理依次求出 坐 标,进而确定 ,再求出 坐标,即可证结论. 【详解】(1)设 ,由题意得 ,化简得y2=4x, 故所求动点T的轨迹方程C: . (2) , 的大小相同,证明如下: 设直线 , , , 由 得: , ,则 , . 线段AB的中点为M,则 , , 又直线 ,令 ,则 ,故 , 同理 ,则 , ,所以 . 又直线 ,令 ,则 ,即 , 综上, . 资料整理【淘宝店铺:向阳百分百】【点睛】关键点点睛:由 共线,求出它们的点坐标证明 ,再证 、 纵坐标相等. 13.椭圆 的焦点 是一个等轴双曲线 的顶点,其顶点是双曲线 的焦点,椭 圆 与双曲线 有一个交点P, 的周长为 . (1)求椭圆 与双曲线 的标准方程; (2)点M是双曲线 上的任意不同于其顶点的动点,设直线 ,的斜率分别为 ,求 的值; (3)过点 任作一动直线l交椭圆 于A、B两点,记 .若在线段AB上取一点R,使 得 ,试判断当直线l运动时,点R是否在某一定曲线上运动?若是,求出该定曲线的方程; 若不是,请说明理由. 【答案】(1) ; (2)1; (3)是 , 【分析】(1)根据椭圆和双曲线的关系,结合椭圆和双曲线的性质,求得 代入方程即可求解; (2)设点 ,利用斜率方程求得k1,k2,结合双曲线方程,即可求得k1k2; (3)法一:分两种情况讨论,当直线l的斜率为0,则 ,当直线l的斜率不为0,设直线方程并与 椭圆方程联立,结合韦达定理,然后根据 ,联立方程即可出. 资料整理【淘宝店铺:向阳百分百】法二:直接设直线 ,联立椭圆方程得到韦达定理式,根据向量关系求出 的表达式,设 ,整理得 ,再整体代入即可. 【详解】(1)设椭圆 的右焦点为(c,0)(c>0),则 , 由题知,双曲线 : ,所以 ,即 , 因为 的周长为 ,即 , 联立①②③得, , 所以椭圆 的方程为 , 双曲线 的标准方程为 (2)设双曲线 上的点 , , 则 . 又 (3)是;由题知直线l的斜率存在, 法一: ①当直线l的斜率为0时, , , ②当直线l的斜率不为0时,设其方程为 , 资料整理【淘宝店铺:向阳百分百】④ 解得 ,其中 ,且 , , , 由 , 所以点R在一条定直线 上. 法二: 依题可知:直线的斜率存在,设其方程为 , , 所以 ,消元整理得, 所以 , 资料整理【淘宝店铺:向阳百分百】由 得, ,所以 , 设 ,由 得, 所以 , 所以 在定直线 上. 【点睛】方法点睛:本题采取设线法,然后联立椭圆方程得到韦达定理式,通过向量运算得到其横坐标表 达式,再通过向量关系代换整理成韦达定理比值式,再将得到的韦达定理式整体代入运算即可得到该定直 线方程. 资料整理【淘宝店铺:向阳百分百】