当前位置:首页>文档>素养拓展27立体几何中的折叠和探索性问题(精讲+精练)一轮复习讲义2024年高考数学高频考点题型归纳与方法总结(新高考通用)解析版_2.2025数学总复习_2024年新高考资料

素养拓展27立体几何中的折叠和探索性问题(精讲+精练)一轮复习讲义2024年高考数学高频考点题型归纳与方法总结(新高考通用)解析版_2.2025数学总复习_2024年新高考资料

  • 2026-04-01 21:26:19 2026-03-27 00:24:40

文档预览

素养拓展27立体几何中的折叠和探索性问题(精讲+精练)一轮复习讲义2024年高考数学高频考点题型归纳与方法总结(新高考通用)解析版_2.2025数学总复习_2024年新高考资料
素养拓展27立体几何中的折叠和探索性问题(精讲+精练)一轮复习讲义2024年高考数学高频考点题型归纳与方法总结(新高考通用)解析版_2.2025数学总复习_2024年新高考资料
素养拓展27立体几何中的折叠和探索性问题(精讲+精练)一轮复习讲义2024年高考数学高频考点题型归纳与方法总结(新高考通用)解析版_2.2025数学总复习_2024年新高考资料
素养拓展27立体几何中的折叠和探索性问题(精讲+精练)一轮复习讲义2024年高考数学高频考点题型归纳与方法总结(新高考通用)解析版_2.2025数学总复习_2024年新高考资料
素养拓展27立体几何中的折叠和探索性问题(精讲+精练)一轮复习讲义2024年高考数学高频考点题型归纳与方法总结(新高考通用)解析版_2.2025数学总复习_2024年新高考资料
素养拓展27立体几何中的折叠和探索性问题(精讲+精练)一轮复习讲义2024年高考数学高频考点题型归纳与方法总结(新高考通用)解析版_2.2025数学总复习_2024年新高考资料
素养拓展27立体几何中的折叠和探索性问题(精讲+精练)一轮复习讲义2024年高考数学高频考点题型归纳与方法总结(新高考通用)解析版_2.2025数学总复习_2024年新高考资料
素养拓展27立体几何中的折叠和探索性问题(精讲+精练)一轮复习讲义2024年高考数学高频考点题型归纳与方法总结(新高考通用)解析版_2.2025数学总复习_2024年新高考资料
素养拓展27立体几何中的折叠和探索性问题(精讲+精练)一轮复习讲义2024年高考数学高频考点题型归纳与方法总结(新高考通用)解析版_2.2025数学总复习_2024年新高考资料
素养拓展27立体几何中的折叠和探索性问题(精讲+精练)一轮复习讲义2024年高考数学高频考点题型归纳与方法总结(新高考通用)解析版_2.2025数学总复习_2024年新高考资料
素养拓展27立体几何中的折叠和探索性问题(精讲+精练)一轮复习讲义2024年高考数学高频考点题型归纳与方法总结(新高考通用)解析版_2.2025数学总复习_2024年新高考资料
素养拓展27立体几何中的折叠和探索性问题(精讲+精练)一轮复习讲义2024年高考数学高频考点题型归纳与方法总结(新高考通用)解析版_2.2025数学总复习_2024年新高考资料
素养拓展27立体几何中的折叠和探索性问题(精讲+精练)一轮复习讲义2024年高考数学高频考点题型归纳与方法总结(新高考通用)解析版_2.2025数学总复习_2024年新高考资料
素养拓展27立体几何中的折叠和探索性问题(精讲+精练)一轮复习讲义2024年高考数学高频考点题型归纳与方法总结(新高考通用)解析版_2.2025数学总复习_2024年新高考资料
素养拓展27立体几何中的折叠和探索性问题(精讲+精练)一轮复习讲义2024年高考数学高频考点题型归纳与方法总结(新高考通用)解析版_2.2025数学总复习_2024年新高考资料
素养拓展27立体几何中的折叠和探索性问题(精讲+精练)一轮复习讲义2024年高考数学高频考点题型归纳与方法总结(新高考通用)解析版_2.2025数学总复习_2024年新高考资料
素养拓展27立体几何中的折叠和探索性问题(精讲+精练)一轮复习讲义2024年高考数学高频考点题型归纳与方法总结(新高考通用)解析版_2.2025数学总复习_2024年新高考资料
素养拓展27立体几何中的折叠和探索性问题(精讲+精练)一轮复习讲义2024年高考数学高频考点题型归纳与方法总结(新高考通用)解析版_2.2025数学总复习_2024年新高考资料
素养拓展27立体几何中的折叠和探索性问题(精讲+精练)一轮复习讲义2024年高考数学高频考点题型归纳与方法总结(新高考通用)解析版_2.2025数学总复习_2024年新高考资料
素养拓展27立体几何中的折叠和探索性问题(精讲+精练)一轮复习讲义2024年高考数学高频考点题型归纳与方法总结(新高考通用)解析版_2.2025数学总复习_2024年新高考资料
素养拓展27立体几何中的折叠和探索性问题(精讲+精练)一轮复习讲义2024年高考数学高频考点题型归纳与方法总结(新高考通用)解析版_2.2025数学总复习_2024年新高考资料
素养拓展27立体几何中的折叠和探索性问题(精讲+精练)一轮复习讲义2024年高考数学高频考点题型归纳与方法总结(新高考通用)解析版_2.2025数学总复习_2024年新高考资料
素养拓展27立体几何中的折叠和探索性问题(精讲+精练)一轮复习讲义2024年高考数学高频考点题型归纳与方法总结(新高考通用)解析版_2.2025数学总复习_2024年新高考资料
素养拓展27立体几何中的折叠和探索性问题(精讲+精练)一轮复习讲义2024年高考数学高频考点题型归纳与方法总结(新高考通用)解析版_2.2025数学总复习_2024年新高考资料
素养拓展27立体几何中的折叠和探索性问题(精讲+精练)一轮复习讲义2024年高考数学高频考点题型归纳与方法总结(新高考通用)解析版_2.2025数学总复习_2024年新高考资料
素养拓展27立体几何中的折叠和探索性问题(精讲+精练)一轮复习讲义2024年高考数学高频考点题型归纳与方法总结(新高考通用)解析版_2.2025数学总复习_2024年新高考资料
素养拓展27立体几何中的折叠和探索性问题(精讲+精练)一轮复习讲义2024年高考数学高频考点题型归纳与方法总结(新高考通用)解析版_2.2025数学总复习_2024年新高考资料
素养拓展27立体几何中的折叠和探索性问题(精讲+精练)一轮复习讲义2024年高考数学高频考点题型归纳与方法总结(新高考通用)解析版_2.2025数学总复习_2024年新高考资料
素养拓展27立体几何中的折叠和探索性问题(精讲+精练)一轮复习讲义2024年高考数学高频考点题型归纳与方法总结(新高考通用)解析版_2.2025数学总复习_2024年新高考资料
素养拓展27立体几何中的折叠和探索性问题(精讲+精练)一轮复习讲义2024年高考数学高频考点题型归纳与方法总结(新高考通用)解析版_2.2025数学总复习_2024年新高考资料
素养拓展27立体几何中的折叠和探索性问题(精讲+精练)一轮复习讲义2024年高考数学高频考点题型归纳与方法总结(新高考通用)解析版_2.2025数学总复习_2024年新高考资料
素养拓展27立体几何中的折叠和探索性问题(精讲+精练)一轮复习讲义2024年高考数学高频考点题型归纳与方法总结(新高考通用)解析版_2.2025数学总复习_2024年新高考资料
素养拓展27立体几何中的折叠和探索性问题(精讲+精练)一轮复习讲义2024年高考数学高频考点题型归纳与方法总结(新高考通用)解析版_2.2025数学总复习_2024年新高考资料
素养拓展27立体几何中的折叠和探索性问题(精讲+精练)一轮复习讲义2024年高考数学高频考点题型归纳与方法总结(新高考通用)解析版_2.2025数学总复习_2024年新高考资料
素养拓展27立体几何中的折叠和探索性问题(精讲+精练)一轮复习讲义2024年高考数学高频考点题型归纳与方法总结(新高考通用)解析版_2.2025数学总复习_2024年新高考资料
素养拓展27立体几何中的折叠和探索性问题(精讲+精练)一轮复习讲义2024年高考数学高频考点题型归纳与方法总结(新高考通用)解析版_2.2025数学总复习_2024年新高考资料
素养拓展27立体几何中的折叠和探索性问题(精讲+精练)一轮复习讲义2024年高考数学高频考点题型归纳与方法总结(新高考通用)解析版_2.2025数学总复习_2024年新高考资料
素养拓展27立体几何中的折叠和探索性问题(精讲+精练)一轮复习讲义2024年高考数学高频考点题型归纳与方法总结(新高考通用)解析版_2.2025数学总复习_2024年新高考资料
素养拓展27立体几何中的折叠和探索性问题(精讲+精练)一轮复习讲义2024年高考数学高频考点题型归纳与方法总结(新高考通用)解析版_2.2025数学总复习_2024年新高考资料
素养拓展27立体几何中的折叠和探索性问题(精讲+精练)一轮复习讲义2024年高考数学高频考点题型归纳与方法总结(新高考通用)解析版_2.2025数学总复习_2024年新高考资料
素养拓展27立体几何中的折叠和探索性问题(精讲+精练)一轮复习讲义2024年高考数学高频考点题型归纳与方法总结(新高考通用)解析版_2.2025数学总复习_2024年新高考资料
素养拓展27立体几何中的折叠和探索性问题(精讲+精练)一轮复习讲义2024年高考数学高频考点题型归纳与方法总结(新高考通用)解析版_2.2025数学总复习_2024年新高考资料
素养拓展27立体几何中的折叠和探索性问题(精讲+精练)一轮复习讲义2024年高考数学高频考点题型归纳与方法总结(新高考通用)解析版_2.2025数学总复习_2024年新高考资料
素养拓展27立体几何中的折叠和探索性问题(精讲+精练)一轮复习讲义2024年高考数学高频考点题型归纳与方法总结(新高考通用)解析版_2.2025数学总复习_2024年新高考资料
素养拓展27立体几何中的折叠和探索性问题(精讲+精练)一轮复习讲义2024年高考数学高频考点题型归纳与方法总结(新高考通用)解析版_2.2025数学总复习_2024年新高考资料
素养拓展27立体几何中的折叠和探索性问题(精讲+精练)一轮复习讲义2024年高考数学高频考点题型归纳与方法总结(新高考通用)解析版_2.2025数学总复习_2024年新高考资料
素养拓展27立体几何中的折叠和探索性问题(精讲+精练)一轮复习讲义2024年高考数学高频考点题型归纳与方法总结(新高考通用)解析版_2.2025数学总复习_2024年新高考资料
素养拓展27立体几何中的折叠和探索性问题(精讲+精练)一轮复习讲义2024年高考数学高频考点题型归纳与方法总结(新高考通用)解析版_2.2025数学总复习_2024年新高考资料
素养拓展27立体几何中的折叠和探索性问题(精讲+精练)一轮复习讲义2024年高考数学高频考点题型归纳与方法总结(新高考通用)解析版_2.2025数学总复习_2024年新高考资料
素养拓展27立体几何中的折叠和探索性问题(精讲+精练)一轮复习讲义2024年高考数学高频考点题型归纳与方法总结(新高考通用)解析版_2.2025数学总复习_2024年新高考资料
素养拓展27立体几何中的折叠和探索性问题(精讲+精练)一轮复习讲义2024年高考数学高频考点题型归纳与方法总结(新高考通用)解析版_2.2025数学总复习_2024年新高考资料
素养拓展27立体几何中的折叠和探索性问题(精讲+精练)一轮复习讲义2024年高考数学高频考点题型归纳与方法总结(新高考通用)解析版_2.2025数学总复习_2024年新高考资料
素养拓展27立体几何中的折叠和探索性问题(精讲+精练)一轮复习讲义2024年高考数学高频考点题型归纳与方法总结(新高考通用)解析版_2.2025数学总复习_2024年新高考资料
素养拓展27立体几何中的折叠和探索性问题(精讲+精练)一轮复习讲义2024年高考数学高频考点题型归纳与方法总结(新高考通用)解析版_2.2025数学总复习_2024年新高考资料
素养拓展27立体几何中的折叠和探索性问题(精讲+精练)一轮复习讲义2024年高考数学高频考点题型归纳与方法总结(新高考通用)解析版_2.2025数学总复习_2024年新高考资料
素养拓展27立体几何中的折叠和探索性问题(精讲+精练)一轮复习讲义2024年高考数学高频考点题型归纳与方法总结(新高考通用)解析版_2.2025数学总复习_2024年新高考资料
素养拓展27立体几何中的折叠和探索性问题(精讲+精练)一轮复习讲义2024年高考数学高频考点题型归纳与方法总结(新高考通用)解析版_2.2025数学总复习_2024年新高考资料
素养拓展27立体几何中的折叠和探索性问题(精讲+精练)一轮复习讲义2024年高考数学高频考点题型归纳与方法总结(新高考通用)解析版_2.2025数学总复习_2024年新高考资料
素养拓展27立体几何中的折叠和探索性问题(精讲+精练)一轮复习讲义2024年高考数学高频考点题型归纳与方法总结(新高考通用)解析版_2.2025数学总复习_2024年新高考资料
素养拓展27立体几何中的折叠和探索性问题(精讲+精练)一轮复习讲义2024年高考数学高频考点题型归纳与方法总结(新高考通用)解析版_2.2025数学总复习_2024年新高考资料
素养拓展27立体几何中的折叠和探索性问题(精讲+精练)一轮复习讲义2024年高考数学高频考点题型归纳与方法总结(新高考通用)解析版_2.2025数学总复习_2024年新高考资料
素养拓展27立体几何中的折叠和探索性问题(精讲+精练)一轮复习讲义2024年高考数学高频考点题型归纳与方法总结(新高考通用)解析版_2.2025数学总复习_2024年新高考资料

文档信息

文档格式
docx
文档大小
5.317 MB
文档页数
58 页
上传时间
2026-03-27 00:24:40

文档内容

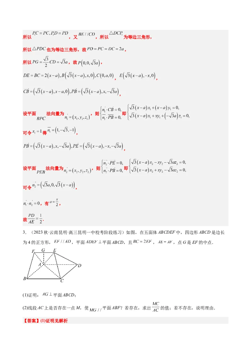
【一轮复习讲义】2024年高考数学高频考点题型归纳与方法总结(新高考通用) 素养拓展 27 立体几何中的折叠和探索性问题(精讲+精练) 一、知识点梳理 1.折叠问题 解决折叠问题最重要的就是对比折叠前后的图形,找到哪些线、面的位置关系和数学量没有发生变化,哪 些发生了变化,在证明和求解的过程中恰当地加以利用。 一般步骤: ①确定折叠前后的各量之间的关系,搞清折叠前后的变化量和不变量; ②在折叠后的图形中确定线和面的位置关系,明确需要用到的线面; ③利用判定定理或性质定理进行证明。 2.探索性问题 探究性问题常常是条件不完备的情况下探讨某些结论能否成立,立体几何中的探究性问题既能够考查学生 的空间想象能力,又可以考查学生的意志力及探究的能力。对于这类问题一般可用综合推理的方法、分析 法、特殊化法和向量法来解决.一般此类立体几何问题描述的是动态的过程,结果具有不唯一性或者隐藏 性,往往需要耐心尝试及等价转化,因此,对于常见的探究方法的总结和探究能力的锻炼是必不可少的。 二、题型精讲精练 【典例1】如图所示的五边形 中 是矩形, , ,沿 折叠成四棱锥 ,点 是 的中点, . (1)在四棱锥 中,可以满足条件① ;② ;③ ,请从中任选 两个作为补充条件,证明:侧面 底面 ;(注:若选择不同的组合分别解答,则按第一个解答计分.) (2)在(1)的条件下求直线 与平面 所成角的正弦值. 【分析】(1)选条件①②,利用勾股定理得到 ,进而得到 底面 ,利用面面垂直的判 定定理即可得证; 选条件①③,利用正弦定理得到 ,进而得到 底面 ,利用面面垂直的判定定理即可得 证; 选条件②③,利用余弦定理和勾股定理得到 ,进而得到 底面 ,利用面面垂直的判定 定理即可得证; (2)由(1)可得 平面 ,建立空间直角坐标系,利用空间向量法计算可得. 【详解】(1)证明:(1)方案一:选条件①②. 因为在四棱锥 中 ,点 是 的中点, ,所以 , 又因为在 中, ,所以 , 又因为 是矩形, ,所以 , , 由 可得 ,所以 , 则由 , , , 平面 ,所以 平面 ,又因为 侧面 ,所以侧面 底面 ; 方案二:选条件①③. 因为在四棱锥 中 ,点 是 的中点, ,所以 , 又因为在 中, , 所以由正弦定理得: ,即 ,所以 ,即 ,所以 , 则由 , , , 平面 ,所以 平面 ,又因为 侧面 ,所以侧面 底面 ; 方案三:选条件②③. 因为在四棱锥 中 ,点 是 的中点, ,所以 ,又因为在 中, ,所以 , 又因为 是矩形, ,所以 , 又因为在 中, ,则 , 设 , , 所以有 ,解得 或 (舍 ,所以 , 由 可得 ,所以 , 则由 , , , 平面 ,所以 平面 ,又因为 侧面 ,所以侧面 底面 ; (2)在(1)条件下知 平面 ,且 , 故如图所示:以 为坐标原点,以 所在直线为 轴,以 所在直线为 轴,以 所在直线为 轴, 建立空间直角坐标系, 则 , , , , 则 , , 设平面 的法向量为 ,则 ,则 , ,设直线 与平面 所成角为 ,则 , 直线 与平面 所成角的正弦值为 . 【典例2】如图,在四棱锥 中,平面 平面ABCD, , , , , , , . (1)求四棱锥 的体积; (2)在线段PB上是否存在点M,使得 平面PAD?若存在,求 的值;若不存在,请说明理由. 【分析】(1)先证明 平面ABCD,则 PG为四棱锥 的高,再应用体积公式 ; (2)先过点C作 交AB于点N,过点N作 交PB于点M,再证平面 平面CMN,最 后得出比值成立即可. 【详解】(1)取AD的中点G,连接PG,GB,如图所示. 在 中, ,G是AD的中点,所以 . 又平面 平面ABCD,平面 平面 , 平面PAD, 所以 平面ABCD,即PG为四棱锥 的高. 又 平面ABCD,所以 .在 中,由余弦定理得 ,故 . 在 中, , , ,所以 . 所以 . (2)过点C作 交AB于点N,则 , 过点N作 交PB于点M,连接CM,则 . 又因为 , 平面PAD, 平面PAD,所以 平面PAD. 因为 , 平面PAD, 平面PAD,所以 平面PAD. 又 , , 平面CNM,所以平面 平面CMN. 又 平面CMN,所以 平面PAD. 所以在PB上存在点M,使得 平面PAD,且 . 【题型训练-刷模拟】 1 . 折叠问题 一、解答题 1.(2023·四川泸州·泸县五中校考三模)如图1,在梯形 中, ,且 , 是等腰直角三角形,其中 为斜边.若把 沿 边折叠到 的位置,使平面 平面 , 如图2.(1)证明: ; (2)若 为棱 的中点,求点 到平面 的距离. 【答案】(1)见解析;(2) . 【分析】(1)证明 平面 ,则有 ; (2)等体积法求点到平面的距离. 【详解】(1)证明:∵ 是等腰直角三角形, 为斜边, ∴ . ∵平面 平面 ,平面 平面 , 平面 ∴ 平面 , ∵ 平面 , ∴ ; (2)解:由(1)知 , 平面 , 由题意可得 , , , 则 , , ∵ 为棱 的中点, ∴ , ∴ ,在 中, , , , ∴ , 即 , 则 的面积为 , 设点 到平面 的距离为 ∵ , ∴ , ∴ . 【点睛】本题考查线面垂直的判定,面面垂直的性质,点到平面距离的求法,考查直观想象能力、推理论 证能力和运算求解能力,是中档题. 2.(2023·全国·高三专题练习)如图,四边形 中, 是等腰直角三角形, 是边长为2的正三角形,以 为折痕,将 向一方折叠到 的位置,使D点在平面 内的 射影在 上,再将 向另一方折叠到 的位置,使平面 平面 ,形成几何体 . (1)若点F为 的中点,求证: 平面 ; (2)求平面 与平面 所成角的正弦值. 【答案】(1)证明见解析;(2) . 【分析】(1)设 点在平面 内的射影为 ,连接 , ,又 的中点为 ,易得 平面 .取 的中点 ,连接 ,由平面 平面 ,得到 平面 ,又 平面 ,则 ,则 平面 ,然后由面面平行的判定定理证明;(2)连接 ,以 为坐标原点, , , 所在直线分别为 , , 轴,建立空间直角坐标系, 分别求得平面 的一个法向量为 和平面 的一个法向量为 ,由 求解. 【详解】解:(1)如图,设D点在平面 内的射影为O,连接 ,连接 . ∵ ,∴ , ∴在等腰 中,O为 的中点. ∵F为 中点,∴ . 又 平面 , 平面 , ∴ 平面 .取 的中点H,连接 , 则易知 ,又平面 平面 , 平面 平面 , ∴ 平面 , 又 平面 , ∴ ,又 平面 , 平面 , ∴ 平面 , 又 .∴平面 平面 . 又 平面 ,∴ 平面 . (2)连接 ,由(1)可知 两两垂直,以O为坐标原点 所在直线分别为 轴,建立如图所示的空间直角坐标系,则 , 从而 . 设平面 的一个法向量为 ,则 ,即 , 得 ,取 ,则 . 设平面 的一个法向量为 , 则 ,即 , 得 ,取 ,则 , 从而 . ∴ , ∴平面 与平面 所成角的正弦值为 . 【点睛】关键点点睛:(1)在求解与图形的翻折有关的问题时,关键是弄清翻折前后哪些量变了,哪些 量没变,哪些位置关系变了,哪些位置关系没变;(2)利用向量法求二面角的关键是建立合适的空间直 角坐标系及准确求出相关平面的法向量. 3.(2023·全国·高三专题练习)如图是矩形 和以边 为直径的半圆组成的平面图形,将此图形沿 折叠,使平面 垂直于半圆所在的平面,若点 是折后图形中半圆 上异于 , 的点(1)证明: ; (2)若 ,且异面直线 和 所成的角为 ,求三棱锥 的体积. 【答案】(1)证明见解析;(2) . 【分析】(1)由面面垂直得到 ,利用直径对应的圆周角为直角得到 ,可以证明 平 面 ,再利用线面垂直的性质定理即可证明 ; (2)先求出 ,利用等体积转化法把求三棱锥 的体积转化为求三棱锥 ,即可求 解. 【详解】(1)∵平面 垂直于圆 所在的平面,两平面的交线为 , 平面 , , ∴ 垂直于圆 所在的平面.又 在圆 所在的平面内,∴ . ∵ 是直角,∴ .而 ,∴ 平面 . 又∵ 平面 ,∴ (2)因为在矩形 中, ,直线 和 所成的角为 , 所以直线 和 所成的角为 ,即 . 过 作 于 ,则 平面 . 又 ,所以 , 因此 .于是 . 故三棱锥 的体积是 . 4.(2023·全国·高三专题练习)如图1,在边长为4的正方形ABCD中,点P、Q分别是边AB、BC的中点, 将 、 分别沿DP、DQ折叠,使A、C两点重合于点M,连BM、PQ,得到图2所示几何体. (1)求证: ; (2)在线段MD上是否存在一点F,使 平面PQF,如果存在,求 的值,如果不存在,说明理由. 【答案】(1)证明见解析 (2)存在, 【分析】(1)由勾股定理得 ,从而证得 平面MDQ,然后可得线线垂直; (2)假设在线段DM上存在一点F,使 平面PQF.连BD交PQ于点O,连OF,由线面平行性质 定理得线线平行,由平行线得线段的比例. 【详解】(1)由图1可得 , , ∴ , ∴ , ∵ , ,MD、 平面MDQ , ∴ 平面MDQ, ∵ 平面MDQ ,∴ . (2)当 时, 平面PQF, 理由如下: 连BD交PQ于点O,连OF,由图1可得 , ,即 , 因为 ,所以 , 所以 ,所以 , 因为 平面 , 平面 ,所以 平面PQF. 5.(2023·河南濮阳·濮阳一高校考模拟预测)如图①,在平面四边形 中, , , .将 沿着 折叠,使得点 到达点 的位置,且二面角 为直二面角,如图②.已知 分别是 的中点, 是棱 上的点,且 与平面 所成 角的正切值为 . (1)证明:平面 平面 ;(2)求四棱锥 的体积. 【答案】(1)证明见解析 (2) 【分析】(1)利用三角形中位线性质和线面平行的判定可证得 平面 , 平面 ,由面面 平行的判定可证得结论; (2)取 的中点 ,根据已知的长度关系和面面垂直性质可证得 平面 ,结合线面角定义可 得 ,由此可确定 点位置,从而求得 ,利用棱锥体积公式可求得结果. 【详解】(1) 分别为 的中点, , , 平面 , 平面 , 平面 , 平面 , 又 , 平面 , 平面 平面 . (2)取 的中点 ,连接 , , , 为等边三角形, , 又 , , 为等腰直角三角形, , ; 二面角 是直二面角,即平面 平面 ,平面 平面 , 平面 , 平面 , 即为 与平面 所成角, ,解得: ;在 中,由余弦定理得: , 即 ,解得: , 为线段 上靠近点 的四等分点, , . 6.(2023·全国·高三专题练习)如图1,在直角梯形 中, , , , , .现沿平行于 的 折叠,使得 且 平面 ,如图2所示. (1)求 的长度; (2)求二面角 的大小. 【答案】(1)1 (2) 【分析】(1)利用垂直关系得 ,再结合勾股定理,即可求解; (2)分别求平面 和 的法向量,根据二面角的向量公式,即可求解. 【详解】(1)由 平面 , 平面 ,得 , 在矩形 中,由 , ,知 , 设 ,则 , , 故 , , 由勾股定理: , 解得: ,的长度为1; (2)因为 , , , 且 平面 ,所以 平面 , 结合 知, 两两互相垂直,故以点 为原点, 为 , , 轴正方向建立空 间直角坐标系,所以 , , , , , , 所以 , , , , 设 为平面 的一个法向量,所以 , 取 ,则 , 设 为平面 的一个法向量,所以 , 取 ,则 , 记所求二面角大小为 , 为钝角,则 , 所求二面角的大小为 . 7.(2023·新疆阿克苏·校考一模)如图甲所示的正方形 中, , ,,对角线 分别交 , 于点 , ,将正方形 沿 , 折叠使得 与 重合,构成如图乙所示的三棱柱 . (1)若点 在棱 上,且 ,证明: 平面 ; (2)求平面 与平面 夹角的余弦值. 【答案】(1)证明见详解 (2) 【分析】(1)在图乙中,过 作 ,交 于 ,连接 ,证明四边形 为平行四边形, 然后得到 即可; (2)建立空间直角坐标系,求出两个平面的法向量,利用两个法向量所成角的余弦值求得结果. 【详解】(1)证明:在图乙中,过 作 ,交 于 ,连接 ,则 ,∴ 共面且平面 交平面 于 , 图甲中,∵ , , ∴ ,又 为正方形, , ,由 ,有 , ∴四边形 为平行四边形,∴ , 又 平面 , 平面 , ∴ 平面 . (2)由(1), ,∴ . 由题图知, , ,分别以 , , 为 , , 轴,建立空间直角坐标系, 则 , , , , , ,设平面 的法向量为 , 则 令 ,得 , 则 , , , 设平面 的法向量为 , 则 令 ,得 , , 平面 与平面 夹角的余弦值为 . 8.(2023春·四川南充·高三阆中中学校考阶段练习)如图甲所示的正方形 中, 对角线 分别交 于点 ,将正方形 沿 折 叠使得 与 重合,构成如图乙所示的三棱柱(1)若点 在棱 上,且 ,证明: ∥平面 ; (2)求二面角 的余弦值. 【答案】(1)证明见解析 (2) 【分析】(1)过 作 交 于 ,证明四边形 平行四边形后可证得线面平行; (2)建立如图所示的空间直角坐标系,用空间向量法求二面角. 【详解】(1)在三棱柱 中过 作 交 于 ,连接 ,则 , 所以 四点共面,且平面 平面 , 因为 ,所以 , 又 是正方形,所以 , , , 又 ,则 , 所以四边形 平行四边形, , 又 平面 , 平面 ,所以 平面 ; (2)由(1)知 ,所以 ,而 与 都垂直, 则分别以 为 轴建立空间直角坐标系 ,如图, 由 得 , , ,所以 , , 设平面 的一个法向量是 , 由 ,取 得 , 又 ,则 , , 设平面 的一个法向量是 , 由 ,取 得 , 设二面角 的平面角为 , 则 , 由图可知二面角 的平面角为钝角, 所以二面角 的余弦值是 . 9.(2023·上海奉贤·校考模拟预测)如图,将边长为2的正方形ABCD沿对角线BD折叠,使得平面 ABD⊥平面CBD,AE⊥平面ABD,且 . (1)求证:直线EC与平面ABD没有公共点; (2)求点C到平面BED的距离. 【答案】(1)证明见解析 (2)1【分析】(1)取 的中点 ,连接 、 ,证明 平面 即可得解; (2)在三棱锥 中,利用等体积法即可求出点 到平面 的距离. 【详解】(1)取 的中点 ,连接 、 ,如图, 依题意,在 中, ,则 , 而平面 平面 ,平面 平面 , 平面 ,于是得 平面 ,且 , 因为 平面 ,且 ,则有 ,且 , 从而得四边形 为平行四边形, , 又 平面 , 平面 , 则 平面 ,所以直线EC与平面ABD没有公共点; (2)因为 平面 , 平面 ,所以 , 因为 , , 平面 所以 平面 因为 ,于是得 平面 , 因为 平面 , 平面 ,所以 , 因为 ,所以 , 则等腰 底边 上的高 , , 而 ,设点C到平面BED的距离为d, 由 得 , 即 ,解得 , 所以点C到平面BED的距离为1 10.(2023·广东深圳·校考二模)如图1所示,等边 的边长为 , 是 边上的高, , 分别是 , 边的中点.现将 沿 折叠,如图2所示. (1)证明: ; (2)折叠后若 ,求二面角 的余弦值. 【答案】(1)证明见解析 (2) 【分析】(1)由已知可得 面 ,进而可证 ,可证 , (2)取 的中点 ,连接 ,,取 和 的中点分别为 和 ,连接 , , ,可证二面 角 的平面角为 ,进而求解即可. 【详解】(1)在等边 的边长为 , 是 边上的高, 根据折叠的性质可得 , , 因为 , , , 平面 , 所以 平面 ,因为 平面 ,所以 , 因为 和 分别是 和 的中点, 所以 ,所以 , (2)取 的中点 ,连接 , 取 和 的中点分别为 和 ,连接 , , , 因为 , , 的中点分别为 , , , 所以 , , 因为 ,所以 为等边三角形,又 为 的中点,所以 ,所以 ,又 平面 , 平面 , 平面 ,所以 , 又因为 平面 , 所以 ,又因为 , 平面 , 所以 平面 , 平面 , 所以 , 则二面角 的平面角为 , 所以 , 又 ,解得 ,显然 为锐角, 所以 ,即二面角 的余弦值为 . 11.(2023秋·四川成都·高三校考阶段练习)在图1中, 为等腰直角三角形, , , 为等边三角形,O为AC边的中点,E在BC边上,且 ,沿AC将 进行折叠,使点D 运动到点F的位置,如图2,连接FO,FB,FE,使得 . (1)证明: 平面 . (2)求二面角 的余弦值. 【答案】(1)证明见解析 (2) 【分析】(1)由等边三角形三线合一,得出 ,再由勾股定理逆定理得出 ,即可证明; (2)方法一:建立空间直角坐标系,由面面夹角的向量法计算即可;方法二:作 ,垂足为M, 作 ,垂足为N,连接 ,首先由线面垂直得出 ,则二面角 的平面角为,在 中,求出 即可. 【详解】(1)证明:连接OB, 因为 为等腰直角三角形, , , 所以 , 因为O为AC边的中点, 所以 , 在等边三角形 中, , 因为O为AC边的中点, 所以 ,则 , 又 , 所以 ,即 , 因为 , 平面 , 平面 , 所以 平面 . (2)方法一:因为 是等腰直角三角形, , 为边 中点, 所以 , 由(1)得 平面 ,则以O为坐标原点, , , 的方向分别为x,y,z轴的正方向建立 空间直角坐标系,则 , , , 所以 , , 设平面 的法向量为 , 由 ,得 ,令 ,得 , 易知平面 的一个法向量为 , 设二面角 的大小为θ, 则 , 由图可知二面角 为锐角, 所以二面角 的余弦值为 . 方法二: 作 ,垂足为M,作 ,垂足为N,连接 , 因为 平面 , 平面 , 所以 , 又因为 , 平面 , 所以 平面 , 又 平面 , 所以 ,又 , , 平面 , 所以 平面 , 又 平面 , 所以 , 又平面 平面 , 所以二面角 的平面角为 , 因为 ,所以 , 所以 , , 在 中, , , 所以 , 所以 , 所以 ,即二面角 的余弦值为 . 12.(2023秋·四川成都·高三成都七中校考开学考试)已知矩形ABCD中, , ,M,N分 别为AD,BC中点,O为对角线AC,BD交点,如图1所示.现将 和 剪去,并将剩下的部分 按如下方式折叠:沿MN将 折叠,并使OA与OB重合,OC与OD重合,连接MN,得到由 平面OAM,OBN,ODM,OCN围成的无盖几何体,如图2所示.(1)求证:MN⊥平面 ; (2)求此多面体体积V的最大值. 【答案】(1)证明见解析 (2)1 【分析】(1)取 中点E,通过证明 平面 , 平面 ,证得 即可 得出线面垂直; (2)由几何体的对称性化为求 的最值,即M到面 的距离最大,再结合三棱锥体积公式计算即 可. 【详解】(1) 在图2中,取 的中点E,连 , 因为 ,E为 的中点,所以 ,同理得 , , 因为 , 平面 ,所以 平面 , 因为 平面 ,所以 , 因为 , 平面 ,所以 平面 , 因为 平面 ,所以 , 因为 , 平面 ,所以 平面 . (2)根据图形的对称性可知, , 因为 的面积为 ,为定值,所以当点M到平面OCN的距离最大值时,三棱锥体积最大, 此时平面OMC⊥平面ONC,点M到平面OCN的距离等于点M到OC的距离,等于 , 所以此多面体体积V的最大值为 . 13.(2023·全国·高三专题练习)如图(1)所示,在 中, , , , 垂 直平分 .现将 沿 折起,使得二面角 大小为 ,得到如图(2)所示的空间几何 体(折叠后点 记作点 ) (1)求点 到面 的距离; (2)求四棱锥 外接球的体积; (3)点 为一动点,满足 ,当直线 与平面 所成角最大时,试确定点 的位置. 【答案】(1) (2) (3) 【分析】(1)由已知可证得平面 平面 ,取 中点 ,连接 ,则有 两 两垂直,所以以 为正交基底建立如图所示的空间直角坐标系 ,然后利用空间向量求解, (2)连接 ,则四边形 的外接圆圆心在 的中点 , 外接圆的圆心为 的三等分点 ,过点圆心 分别作两面垂线,则垂线交点即为球心 ,连接 ,求出其长度可得外接球的半径,从 而可求出外接球的体积, (3)由 ,表示出点 的坐标,然后利用空间向量表示出直线 与平面 所成角的 正弦值,求出其最大值可得答案. 【详解】(1)由 , , ,得 , , 因为 垂直平分 , 所以 , 所以 为平面 与平面 的二面角的平面角, 所以 , ,所以 为等边三角形, 取 中点 ,连接 ,所以 , 因为 , 平面 , 所以 平面 , 因为 平面 , 所以平面 平面 , 因为 所以 为二面角 的平面角, 所以 , 以 为正交基底建立如图所示的空间直角坐标系 , 则 , 所以 , 设 的一个法向量为 ,则 ,令 ,则 又 ,所以点 到面 的距离 ; (2)连接 ,由 ,则四边形 的外接圆圆心在 的中点 , 为正三角形,则 外接圆的圆心为 的三等分点 , 过点圆心 分别作两面垂线,则垂线交点即为球心 , 如图所示,连接 ,则 即球的半径. 在 中, , 则 , 在 中, , 所以由勾股定理得 , 则球的体积 ; (3)设 ,由 得 , 所以 ,得 , ,所以 , 设直线 与平面 所成角为 ( ), 则 所以当 时, 取得最大值 , 此时直线 与平面 所成角最大, 即当 时,直线 与平面 所成角最大. 14.(2023·全国·高三专题练习)如图 所示,在边长为 的正方形 中,点 在线段 上,且 ,作 ,分别交 于点 ,作 ,分别交 于点 , 将该正方形沿 折叠,使得 与 重合,构成如图 所示的三棱柱 .(1)在三棱柱 中,求证: 平面 ; (2)试判断直线 是否与平面 平行,并说明理由. 【答案】(1)证明见解析 (2)直线 与平面 不平行,理由见解析. 【分析】(1)利用线面垂直判定定理去证明 平面 ; (2)建立空间直角坐标系,利用向量的方法去判断直线 与平面 是否平行. 【详解】(1) , 从而有 , 又 , 平面 . (2)直线 与平面 不平行.理由如下: 以 为原点, 为 轴, 为 轴, 为 轴,建立空间直角坐标系,, , , , 设平面 的一个法向量 , 则 ,取 ,得 , , 直线 与平面 不平行. 2 . 探索性问题 一、解答题 1.(2023·全国·高三专题练习)已知正四棱台 的体积为 ,其中 . (1)求侧棱 与底面 所成的角; (2)在线段 上是否存在一点P,使得 ?若存在请确定点 的位置;若不存在,请说明理由. 【答案】(1) (2)不存在,理由见解析【分析】(1)先求得正四棱台的高,然后求得侧棱 与底面 所成的角. (2)建立空间直角坐标系,利用向量法确定是否存在符合题意的 点. 【详解】(1)依题意,在正四棱台 中, , 所以上底面积 ,下底面积 , 设正四棱台的高为 ,则 . 连接 ,则 , 所以 , 设侧棱 与底面 所成的角为 ,则 , 由于线面角 的取值范围是 ,所以 . (2)连接 ,设正四棱台上下底面的中心分别为 , 以 为原点, 分别为 轴建立如图所示空间直角坐标系, , 设线段 上存在一点 ,满足 , , , 则 , ,若 ,则 , 即 , 解得 ,舍去, 所以在线段 上不存在一点 ,使得 . 2.(2023春·重庆沙坪坝·高三重庆八中校考阶段练习)如图,在五棱锥 中, , , . (1)证明: ; (2)若平面 平面 ,平面 平面 ,探索: 是否为定值?若为定值,请求出 的 值;若不是定值,请说明理由. 【答案】(1)证明见解析 (2)是定值, 【分析】(1)由线面垂直证线线垂直. (2)由空间直角坐标系,设 ,根据面面垂直的向量表示可得 , 即得. 【详解】(1)证明:取 中点 ,连接 ,连接 交 于 , 如图,由 知 为等腰梯形, , 又 ,故 ,显然 为 中点, , 故 又 ,所以 平面 又 平面 ,故 . (2)若平面 平面 , 由 为平面 与平面 的交线, 知, , 如图,可以 为原点,建立平面直角坐标系. 设 ,因 , 如图,底面延长 交于 点, 由 知 为等边三角形, 又 ,可知 也为等边三角形, 故 , 又 ,所以 ,又 ,所以 为等边三角形, 所以 也为等边三角形,故 , 所以 ,故 , , , , 设平面 法向量为 ,则 即 可令 得 , , 设平面 法向量为 ,则 即 可令 , ,有 , 故 . 3.(2023秋·云南昆明·高三昆明一中校考阶段练习)如图,在五面体ABCDEF中,四边形ABCD是边长 为4的正方形, ,平面 平面ABCD,且 , ,点G是EF的中点. (1)证明: 平面ABCD; (2)线段AC上是否存在一点M,使 平面ABF?若存在,求出 的值;若不存在,说明理由. 【答案】(1)证明见解析(2)存在, 【分析】(1)直接利用面面垂直的性质定理得到线面垂直; (2)利用题中的已知条件建立空间直角坐标系,首先假设存在点M,设 ,求出平面ABF的法向 量,进一步利用线面平行建立等量关系,求解即可. 【详解】(1)因为 ,点G是EF的中点,所以 , 又因为 ,所以 , 由平面 平面ABCD,平面 平面 , 平面ADEF, 所以 平面ABCD. (2)由(1)得 平面ABCD, 平面ABCD,∴ , 四边形ABCD是边长为4的正方形,所以AG、AD、AB两两垂直, 以A为原点,建立空间直角坐标系 ,如图, 所以 , 假设线段AC上存在一点M,使 平面ABF, 设 ,则 , ∵ ,∴ , 设 ,则 , 所以 , ,设平面ABF的法向量为 ,取 由于 平面ABF,所以 ,即 ,解得 所以 ,此时 , 即当 时, 平面ABF. 4.(2023秋·浙江·高三浙江省春晖中学校联考阶段练习)已知四棱锥 中,四边形 为等腰 梯形, , , , , 为等边三角形. (1)求证:平面 平面 ; (2)是否存在一点 ,满足 ,使直线 与平面 所成的角为 ?若存在,求出 的值;若不存在,请说明理由. 【答案】(1)证明见解析 (2)存在, 【分析】(1)利用面面垂直判定定理即可证得平面 平面 ; (2) 法一,先确定出直线 与平面 所成的角,再求得 的值即可求得 的值;法二,建立空间 直角坐标系,依据题给条件列出关于 的方程即可求得 的值. 【详解】(1)等腰梯形 中, ,则 , 则 ,所以 , .又 , 由 ,得到 , 又 , 平面 ,因此 平面 ,又因为 平面 , 故平面 平面 (2)方法一:由(1)知 平面 , 面 ,则面 面 . 作 于 点,则有 面 . 则 即为直线 与面 所成角, 在直角三角形 中,由 , ,得到 由 ,可得 ,又 ,所以存在 . 方法二:过点 作 平面 于 , 以点 为坐标原点, 为 轴, 为 轴, 为 轴, 建立如图所示空间直角坐标系. 其中 得到 , 设平面 的一个法向量为 由 ,得 , 不妨设 ,则 , ,则 , 又 ,则 , 解之得 (舍去)或 ,所以 5.(2023秋·重庆沙坪坝·高三重庆八中校考开学考试)如图,在四棱锥 中,底面 是菱形, ,三角形 为正三角形,且侧面 底面 . 分别为线段 的中点. (1)求证: 平面 ; (2)在棱 上是否存在点 ,使得平面 平面 ?若存在,请求出 的值;若不存在,请说明 理由. 【答案】(1)证明见解析 (2)存在, 【分析】(1)构造三角形的中位线得到线线平行,再利用线面平行的判定定理即可得到线面平行; (2)法一:建立空间直角坐标系,设 ,求出平面 和平面 的法向量,再利用两平面垂 直的向量法即可求出结果.法二:利用几何法,先找出平面 ,使平面 平面 ,再利用几何 关系即可求出结果. 【详解】(1)连接 交 于 点,连接 ,因为四边形 是菱形,所以点 为 的中点. 又因为 为 的中点,所以 , 又因为 平面 平面 , 所以 平面 .(2)设底面边长为2,连接 ,由于 为菱形,且 , 故 , 所以 ,故有 , 又三角形 为正三角形, 为 中点,故 , 又侧面 底面 ,平面 平面 , 面 , 所以 平面 , 如图,以 为原点, 方向分别为 轴正半轴,建立空间直角坐标系. 则 , 设 ,则 , 则 , 设平面 的法向量为 ,则有 ,得到 , 取 ,得 , ,所以 , 又平面 法向量可取为 , 由题可知 ,即 ,解得 , 故存在点 使得平面 平面 , .法二: 三角形 为正三角形, 是 的中点, 又侧面 底面 ,平面 平面 , 面 , 所以 平面 , 连接 ,取 的中点 ,连接 ,则 是 的中位线, , 所以 平面 , 延长 交 于 ,又 面 ,所以平面 平面 . 因为 ,所以 , 又因为 ,所以 , , 故存在点 ,使得平面 平面 , . 6.(2023秋·江西吉安·高三吉安三中校考开学考试)如图,在四棱锥 中, ,四边形 是菱形, 是棱 上的动点,且 . (1)证明: 平面 .(2)是否存在实数 ,使得平面 与平面 所成锐二面角的余弦值是 ?若存在,求出 的值;若 不存在,请说明理由. 【答案】(1)证明见解析; (2)存在实数 ,使得面 与面 所成锐二面角的余弦值是 . 【分析】(1)由题设 ,根据线面垂直的判定得 平面 ,再由线面垂直的性质有 ,并由勾股定理证 ,最后应用线面垂直的判定证结论; (2)取棱 的中点 ,连接 ,构建空间直角坐标系,写出相关点的坐标,应用向量法求面面角的余 弦值,结合已知列方程求参数 ,即可判断存在性. 【详解】(1) 因为四边形 是菱形,所以 . 因为 平面 ,且 ,所以 平面 . 因为 平面 ,所以 . 因为 ,所以 ,即 . 因为 平面 ,且 ,所以 平面 . (2) 取棱 的中点 ,连接 ,易证 两两垂直,故以 为原点,分别以 的方向为 轴的正方向,建立空间直角坐标系. 设 ,则 , 故 , 所以 , 设平面 的法向量为 ,则 , 令 ,得 . 平面 的一个法向量为 ,设面 与面 所成的锐二面角为 , 则 ,整理得 ,解得 (舍去). 故存在实数 ,使得面 与面 所成锐二面角的余弦值是 . 7.(2023春·河南信阳·高三信阳高中校考阶段练习)如图,在等腰梯形 中, ,四边形 为矩形,且 平面 , . (1)求证: 平面 ; (2)在线段 上是否存在点 ,使得平面 与平面 所成锐二面角的平面角为 ,且满足 . 若不存在,请说明理由;若存在,求出 的长度. 【答案】(1)证明见解析(2)存在, 【分析】(1)通过证明 平面 来证得 平面 . (2)建立空间直角坐标系,利用向量法求得正确答案. 【详解】(1)∵ 为等腰梯形, ,∴ ∵ ,则 ,∴ . 又∵ ,则 , ∴ ,∵ 平面 , 平面 ,∴ . ∵ 平面 ,∴ 平面 , ∵四边形 为矩形,则 , ∴ 平面 . (2)如图所示,建立空间直角坐标系, 由(1)知, ,则 , ,设 , 则 , 设平面 的法向量 , 则 ,∴ ,令 , 则 ,取平面 的法向量 ,, 由题意 , . 解得 . 因此在线段 上存在点 , 使得平面 与平面 所成锐二面角的平面角为 , 且满足 . 8.(2023·全国·高三专题练习)如图,在三棱锥 中,平面 平面 , 为等边三角形, D,E分别为 , 的中点, , , . (1)求证: 平面 ; (2)在线段 上是否存在点F,使得平面 与平面 的夹角为 ,若存在,求出 的长;若不存在, 请说明理由. 【答案】(1)证明见解析 (2)存在, 【分析】(1)先证明 ,结合 ,由线面垂直判定定理和定义证明 ,取 中点 G,由面面垂直性质定理证明 平面 ,由此可得 ,最后利用线面垂直判定定理证明 平面 ; 【详解】(1) 为等边三角形,D为 中点, , 又 , , , 平面 , 平面 ,平面 , , 取 中点G,连接 , 为等边三角形, , 平面 平面 ,平面 平面 , 平面 . 平面 , , 与 相交, , 平面 , 平面 ; (2)以 为坐标原点, , 所在直线为x轴,y轴,过C且与 平行的直线为z轴, 建立如图所示的空间直角坐标系,则 , , , , , 设 ,则 , , 设平面 的一个法向量为 , 则 ,所以 ,取 ,可得 , 为平面 的一个法向量, 取平面 的一个法向量为 , 则 , 解得 ,此时 , 在线段 上存在点F使得平面 与平面 的夹角为 ,且 . 9.(2023·陕西安康·陕西省安康中学校考模拟预测)如图,在四棱锥 中,底面ABCD为正方形, 侧面SAD为等边三角形, , . (1)证明:平面 平面 ; (2)侧棱SC上是否存在一点P(P不在端点处),使得直线BP与平面SAC所成角的正弦值等于 ?若存 在,求出点P的位置;若不存在,请说明理由. 【答案】(1)证明见详解;(2)存在,点P为SC的中点. 【分析】(1)利用面面垂直的判定定理证明即可; (2)建立空间直角坐标系,写出各点的坐标,设 ,由直线BP与平面SAC所成角的正 弦值等于 ,解得 即可. 【详解】(1)证明:因为底面ABCD为正方形, ,所以 , 又因为侧面SAD为等边三角形,所以 . ,所以 ,即 ,又 , 所以 平面 ,又因为 平面 , 所以平面 平面 . (2)如图: 取 的中点为 ,连接 ,因为侧面 为等边三角形, 所以 , 又由(1)可知平面 平面 ,平面 平面 , 平面 ,所以 平面 , 以 为原点,分别以 的方向为 轴, 轴, 轴为正方向,建立空间直角坐标系. , , , , , 所以 , , ,设 . ,所以 ,所以 .设平面SAC的法向量为 ,由于 ,所以 . 令 ,则 , ,所以 , 所以 . 因为直线BP与平面SAC所成角的正弦值等于 . 所以 ,解得 或 (舍) 故存在,当点P为SC的中点时,使得直线BP与平面SAC所成角的正弦值等于 . 10.(2023·广西南宁·南宁三中校考一模)如图,在四棱锥 中,平面 平面 ,底面 为菱形, 为等边三角形,且 , ,O为 的中点. (1)若E为线段 上动点,证明: ; (2)G为线段PD上一点,是否存在实数 ,当 使得二面角 的余弦值是 ?若存在, 求出 的值;若不存在,请说明理由. 【答案】(1)证明见解析 (2)存在, 【分析】(1)根据线面垂直的判定定理证明 平面 ,即可证明结论; (2)建立空间直角坐标系,求得相关点坐标,表示出平面 的法向量,根据空间角的向量求法可求解 参数,即可得结论. 【详解】(1)连接OC,OP,∵ 为等边三角形, ,O为 的中点,∴ , , , ∵ ,而底面 为菱形,则 ,∴ , 又∵ , 平面 , 平面POC, ,∴ 平面 , 又∵ 平面 ,∴ . (2)∵平面 平面 ,平面 平面 , 平面 ,∴ 平面 , 又∵ 平面 ,∴ , 又由(1)知 平面 , 平面 , 故 , 故 ,分别以 为x轴,y轴,z轴的正方向建立如图所示的空间直角坐标系. 则 , , , , , , 设 , , 由 ,即 ,得 , 则 , , 设平面 的法向量 , 则 , 取 ,则 , 又 平面 ,则取平面 的法向量为 , 设 与平面 所成的角为 ,由题意知 为锐角, 则 , 解得, , (舍去). 即存在实数 ,当 使得二面角 的余弦值是 . 11.(2023秋·福建三明·高三统考期末)如图,在三棱柱 中, 为等边三角形,四边形 为菱形, , , . (1)求证: 平面 ;(2)线段 上是否存在一点 ,使得平面 与平面 的夹角的正弦值为 ?若存在,求出点 的 位置;若不存在,请说明理由. 【答案】(1)证明过程见详解 (2)存在, 【分析】(1)连接 与 相交于点 ,连接 ,分别根据菱形的和等边三角形的相关性质得到 和 ,再利用线面垂直的判定即可得证; (2)建立空间直角坐标系,设 , ,利用法向量表示平面 与 平面 的夹角的正弦值,求出 的值即可. 【详解】(1)连接 与 相交于点 ,连接 ,如图所示: 四边形 为菱形, , 为等边三角形, 是 的中点,有 , 、 面 , , 面 ,又 面 , 则 ,又已知 , , 平面 , 所以 平面 . (2) , 分别为 , 的中点,连接 , ,由(1) 平面 ,所以平面 面 ,作 ,所以有 平面 , 又因为 为等边三角形, , 平面 以 为原点, , , 的方向分别为 轴、 轴、 轴正方向,建立如图所示的空间直角坐标系 则 , , , ,由 , , 设 , , 则 , 设平面 的一个法向量 , 则有 , 令 ,则 , 易取平面 的一个法向量为 , 由已知平面 与平面 的夹角的正弦值为 , 则平面 与平面 的夹角的余弦值为 , 则有 ,,由 解得 . 所以,点 存在, . 12.(2023秋·湖南长沙·高三长沙一中校考阶段练习)如图所示,等腰梯形 中, , , ,E为 中点, 与 交于点O,将 沿 折起,使点D到达点P 的位置( 平面 ). (1)证明:平面 平面 ; (2)若 ,试判断线段 上是否存在一点Q(不含端点),使得直线 与平面 所成角的正弦值 为 ,若存在,求三棱锥 的体积,若不存在,说明理由. 【答案】(1)证明详见解析 (2)存在,且 【分析】(1)通过证明 平面 来证得平面 平面 . (2)判断出 平面 ,由此建立空间直角坐标系,利用直线 与平面 所成角的正弦值确定 点的坐标,进而求得三棱锥 的体积. 【详解】(1)在原图中,连接 ,由于 , 所以四边形 是平行四边形,由于 ,所以四边形 是菱形, 所以 ,由于 ,所以四边形 是平行四边形, 所以 ,所以 . 在反着过程中, 保持不变, 即 保持不变, 由于 平面 , 所以 平面 ,由于 平面 , 所以平面 平面 . (2)由上述分析可知,在原图中, ,所以 , 所以 , 折叠后,若 ,则 , 所以 , 由于 平面 , 所以 平面 , 由于 平面 ,所以 , 所以 两两相互垂直, 由此以 为原点建立如图所示空间直角坐标系, , , 设 , , , 设平面 的法向量为 ,则 ,故可设 , 设直线 与平面 所成角为 , 则 , , , 所以 ,即 是 的中点. 由于 轴与平面 垂直,所以 到平面 的距离为 , 所以 .