当前位置:首页>文档>重难点11空间角与探索性问题(2种考法)(解析版)_02高考数学_新高考复习资料_2024年新高考资料_一轮复习资料_一轮复习讲义2024年高考数学复习全程规划(新高考)_重难点精讲

重难点11空间角与探索性问题(2种考法)(解析版)_02高考数学_新高考复习资料_2024年新高考资料_一轮复习资料_一轮复习讲义2024年高考数学复习全程规划(新高考)_重难点精讲

  • 2026-04-21 04:03:19 2026-04-21 04:03:19

文档预览

重难点11空间角与探索性问题(2种考法)(解析版)_02高考数学_新高考复习资料_2024年新高考资料_一轮复习资料_一轮复习讲义2024年高考数学复习全程规划(新高考)_重难点精讲
重难点11空间角与探索性问题(2种考法)(解析版)_02高考数学_新高考复习资料_2024年新高考资料_一轮复习资料_一轮复习讲义2024年高考数学复习全程规划(新高考)_重难点精讲
重难点11空间角与探索性问题(2种考法)(解析版)_02高考数学_新高考复习资料_2024年新高考资料_一轮复习资料_一轮复习讲义2024年高考数学复习全程规划(新高考)_重难点精讲
重难点11空间角与探索性问题(2种考法)(解析版)_02高考数学_新高考复习资料_2024年新高考资料_一轮复习资料_一轮复习讲义2024年高考数学复习全程规划(新高考)_重难点精讲
重难点11空间角与探索性问题(2种考法)(解析版)_02高考数学_新高考复习资料_2024年新高考资料_一轮复习资料_一轮复习讲义2024年高考数学复习全程规划(新高考)_重难点精讲
重难点11空间角与探索性问题(2种考法)(解析版)_02高考数学_新高考复习资料_2024年新高考资料_一轮复习资料_一轮复习讲义2024年高考数学复习全程规划(新高考)_重难点精讲
重难点11空间角与探索性问题(2种考法)(解析版)_02高考数学_新高考复习资料_2024年新高考资料_一轮复习资料_一轮复习讲义2024年高考数学复习全程规划(新高考)_重难点精讲
重难点11空间角与探索性问题(2种考法)(解析版)_02高考数学_新高考复习资料_2024年新高考资料_一轮复习资料_一轮复习讲义2024年高考数学复习全程规划(新高考)_重难点精讲
重难点11空间角与探索性问题(2种考法)(解析版)_02高考数学_新高考复习资料_2024年新高考资料_一轮复习资料_一轮复习讲义2024年高考数学复习全程规划(新高考)_重难点精讲
重难点11空间角与探索性问题(2种考法)(解析版)_02高考数学_新高考复习资料_2024年新高考资料_一轮复习资料_一轮复习讲义2024年高考数学复习全程规划(新高考)_重难点精讲
重难点11空间角与探索性问题(2种考法)(解析版)_02高考数学_新高考复习资料_2024年新高考资料_一轮复习资料_一轮复习讲义2024年高考数学复习全程规划(新高考)_重难点精讲
重难点11空间角与探索性问题(2种考法)(解析版)_02高考数学_新高考复习资料_2024年新高考资料_一轮复习资料_一轮复习讲义2024年高考数学复习全程规划(新高考)_重难点精讲
重难点11空间角与探索性问题(2种考法)(解析版)_02高考数学_新高考复习资料_2024年新高考资料_一轮复习资料_一轮复习讲义2024年高考数学复习全程规划(新高考)_重难点精讲
重难点11空间角与探索性问题(2种考法)(解析版)_02高考数学_新高考复习资料_2024年新高考资料_一轮复习资料_一轮复习讲义2024年高考数学复习全程规划(新高考)_重难点精讲
重难点11空间角与探索性问题(2种考法)(解析版)_02高考数学_新高考复习资料_2024年新高考资料_一轮复习资料_一轮复习讲义2024年高考数学复习全程规划(新高考)_重难点精讲
重难点11空间角与探索性问题(2种考法)(解析版)_02高考数学_新高考复习资料_2024年新高考资料_一轮复习资料_一轮复习讲义2024年高考数学复习全程规划(新高考)_重难点精讲
重难点11空间角与探索性问题(2种考法)(解析版)_02高考数学_新高考复习资料_2024年新高考资料_一轮复习资料_一轮复习讲义2024年高考数学复习全程规划(新高考)_重难点精讲
重难点11空间角与探索性问题(2种考法)(解析版)_02高考数学_新高考复习资料_2024年新高考资料_一轮复习资料_一轮复习讲义2024年高考数学复习全程规划(新高考)_重难点精讲
重难点11空间角与探索性问题(2种考法)(解析版)_02高考数学_新高考复习资料_2024年新高考资料_一轮复习资料_一轮复习讲义2024年高考数学复习全程规划(新高考)_重难点精讲
重难点11空间角与探索性问题(2种考法)(解析版)_02高考数学_新高考复习资料_2024年新高考资料_一轮复习资料_一轮复习讲义2024年高考数学复习全程规划(新高考)_重难点精讲
重难点11空间角与探索性问题(2种考法)(解析版)_02高考数学_新高考复习资料_2024年新高考资料_一轮复习资料_一轮复习讲义2024年高考数学复习全程规划(新高考)_重难点精讲
重难点11空间角与探索性问题(2种考法)(解析版)_02高考数学_新高考复习资料_2024年新高考资料_一轮复习资料_一轮复习讲义2024年高考数学复习全程规划(新高考)_重难点精讲
重难点11空间角与探索性问题(2种考法)(解析版)_02高考数学_新高考复习资料_2024年新高考资料_一轮复习资料_一轮复习讲义2024年高考数学复习全程规划(新高考)_重难点精讲
重难点11空间角与探索性问题(2种考法)(解析版)_02高考数学_新高考复习资料_2024年新高考资料_一轮复习资料_一轮复习讲义2024年高考数学复习全程规划(新高考)_重难点精讲
重难点11空间角与探索性问题(2种考法)(解析版)_02高考数学_新高考复习资料_2024年新高考资料_一轮复习资料_一轮复习讲义2024年高考数学复习全程规划(新高考)_重难点精讲
重难点11空间角与探索性问题(2种考法)(解析版)_02高考数学_新高考复习资料_2024年新高考资料_一轮复习资料_一轮复习讲义2024年高考数学复习全程规划(新高考)_重难点精讲
重难点11空间角与探索性问题(2种考法)(解析版)_02高考数学_新高考复习资料_2024年新高考资料_一轮复习资料_一轮复习讲义2024年高考数学复习全程规划(新高考)_重难点精讲
重难点11空间角与探索性问题(2种考法)(解析版)_02高考数学_新高考复习资料_2024年新高考资料_一轮复习资料_一轮复习讲义2024年高考数学复习全程规划(新高考)_重难点精讲
重难点11空间角与探索性问题(2种考法)(解析版)_02高考数学_新高考复习资料_2024年新高考资料_一轮复习资料_一轮复习讲义2024年高考数学复习全程规划(新高考)_重难点精讲
重难点11空间角与探索性问题(2种考法)(解析版)_02高考数学_新高考复习资料_2024年新高考资料_一轮复习资料_一轮复习讲义2024年高考数学复习全程规划(新高考)_重难点精讲
重难点11空间角与探索性问题(2种考法)(解析版)_02高考数学_新高考复习资料_2024年新高考资料_一轮复习资料_一轮复习讲义2024年高考数学复习全程规划(新高考)_重难点精讲
重难点11空间角与探索性问题(2种考法)(解析版)_02高考数学_新高考复习资料_2024年新高考资料_一轮复习资料_一轮复习讲义2024年高考数学复习全程规划(新高考)_重难点精讲
重难点11空间角与探索性问题(2种考法)(解析版)_02高考数学_新高考复习资料_2024年新高考资料_一轮复习资料_一轮复习讲义2024年高考数学复习全程规划(新高考)_重难点精讲
重难点11空间角与探索性问题(2种考法)(解析版)_02高考数学_新高考复习资料_2024年新高考资料_一轮复习资料_一轮复习讲义2024年高考数学复习全程规划(新高考)_重难点精讲
重难点11空间角与探索性问题(2种考法)(解析版)_02高考数学_新高考复习资料_2024年新高考资料_一轮复习资料_一轮复习讲义2024年高考数学复习全程规划(新高考)_重难点精讲
重难点11空间角与探索性问题(2种考法)(解析版)_02高考数学_新高考复习资料_2024年新高考资料_一轮复习资料_一轮复习讲义2024年高考数学复习全程规划(新高考)_重难点精讲
重难点11空间角与探索性问题(2种考法)(解析版)_02高考数学_新高考复习资料_2024年新高考资料_一轮复习资料_一轮复习讲义2024年高考数学复习全程规划(新高考)_重难点精讲
重难点11空间角与探索性问题(2种考法)(解析版)_02高考数学_新高考复习资料_2024年新高考资料_一轮复习资料_一轮复习讲义2024年高考数学复习全程规划(新高考)_重难点精讲
重难点11空间角与探索性问题(2种考法)(解析版)_02高考数学_新高考复习资料_2024年新高考资料_一轮复习资料_一轮复习讲义2024年高考数学复习全程规划(新高考)_重难点精讲
重难点11空间角与探索性问题(2种考法)(解析版)_02高考数学_新高考复习资料_2024年新高考资料_一轮复习资料_一轮复习讲义2024年高考数学复习全程规划(新高考)_重难点精讲
重难点11空间角与探索性问题(2种考法)(解析版)_02高考数学_新高考复习资料_2024年新高考资料_一轮复习资料_一轮复习讲义2024年高考数学复习全程规划(新高考)_重难点精讲
重难点11空间角与探索性问题(2种考法)(解析版)_02高考数学_新高考复习资料_2024年新高考资料_一轮复习资料_一轮复习讲义2024年高考数学复习全程规划(新高考)_重难点精讲
重难点11空间角与探索性问题(2种考法)(解析版)_02高考数学_新高考复习资料_2024年新高考资料_一轮复习资料_一轮复习讲义2024年高考数学复习全程规划(新高考)_重难点精讲
重难点11空间角与探索性问题(2种考法)(解析版)_02高考数学_新高考复习资料_2024年新高考资料_一轮复习资料_一轮复习讲义2024年高考数学复习全程规划(新高考)_重难点精讲
重难点11空间角与探索性问题(2种考法)(解析版)_02高考数学_新高考复习资料_2024年新高考资料_一轮复习资料_一轮复习讲义2024年高考数学复习全程规划(新高考)_重难点精讲
重难点11空间角与探索性问题(2种考法)(解析版)_02高考数学_新高考复习资料_2024年新高考资料_一轮复习资料_一轮复习讲义2024年高考数学复习全程规划(新高考)_重难点精讲
重难点11空间角与探索性问题(2种考法)(解析版)_02高考数学_新高考复习资料_2024年新高考资料_一轮复习资料_一轮复习讲义2024年高考数学复习全程规划(新高考)_重难点精讲
重难点11空间角与探索性问题(2种考法)(解析版)_02高考数学_新高考复习资料_2024年新高考资料_一轮复习资料_一轮复习讲义2024年高考数学复习全程规划(新高考)_重难点精讲
重难点11空间角与探索性问题(2种考法)(解析版)_02高考数学_新高考复习资料_2024年新高考资料_一轮复习资料_一轮复习讲义2024年高考数学复习全程规划(新高考)_重难点精讲
重难点11空间角与探索性问题(2种考法)(解析版)_02高考数学_新高考复习资料_2024年新高考资料_一轮复习资料_一轮复习讲义2024年高考数学复习全程规划(新高考)_重难点精讲
重难点11空间角与探索性问题(2种考法)(解析版)_02高考数学_新高考复习资料_2024年新高考资料_一轮复习资料_一轮复习讲义2024年高考数学复习全程规划(新高考)_重难点精讲
重难点11空间角与探索性问题(2种考法)(解析版)_02高考数学_新高考复习资料_2024年新高考资料_一轮复习资料_一轮复习讲义2024年高考数学复习全程规划(新高考)_重难点精讲
重难点11空间角与探索性问题(2种考法)(解析版)_02高考数学_新高考复习资料_2024年新高考资料_一轮复习资料_一轮复习讲义2024年高考数学复习全程规划(新高考)_重难点精讲
重难点11空间角与探索性问题(2种考法)(解析版)_02高考数学_新高考复习资料_2024年新高考资料_一轮复习资料_一轮复习讲义2024年高考数学复习全程规划(新高考)_重难点精讲
重难点11空间角与探索性问题(2种考法)(解析版)_02高考数学_新高考复习资料_2024年新高考资料_一轮复习资料_一轮复习讲义2024年高考数学复习全程规划(新高考)_重难点精讲
重难点11空间角与探索性问题(2种考法)(解析版)_02高考数学_新高考复习资料_2024年新高考资料_一轮复习资料_一轮复习讲义2024年高考数学复习全程规划(新高考)_重难点精讲
重难点11空间角与探索性问题(2种考法)(解析版)_02高考数学_新高考复习资料_2024年新高考资料_一轮复习资料_一轮复习讲义2024年高考数学复习全程规划(新高考)_重难点精讲
重难点11空间角与探索性问题(2种考法)(解析版)_02高考数学_新高考复习资料_2024年新高考资料_一轮复习资料_一轮复习讲义2024年高考数学复习全程规划(新高考)_重难点精讲
重难点11空间角与探索性问题(2种考法)(解析版)_02高考数学_新高考复习资料_2024年新高考资料_一轮复习资料_一轮复习讲义2024年高考数学复习全程规划(新高考)_重难点精讲
重难点11空间角与探索性问题(2种考法)(解析版)_02高考数学_新高考复习资料_2024年新高考资料_一轮复习资料_一轮复习讲义2024年高考数学复习全程规划(新高考)_重难点精讲
重难点11空间角与探索性问题(2种考法)(解析版)_02高考数学_新高考复习资料_2024年新高考资料_一轮复习资料_一轮复习讲义2024年高考数学复习全程规划(新高考)_重难点精讲
重难点11空间角与探索性问题(2种考法)(解析版)_02高考数学_新高考复习资料_2024年新高考资料_一轮复习资料_一轮复习讲义2024年高考数学复习全程规划(新高考)_重难点精讲
重难点11空间角与探索性问题(2种考法)(解析版)_02高考数学_新高考复习资料_2024年新高考资料_一轮复习资料_一轮复习讲义2024年高考数学复习全程规划(新高考)_重难点精讲
重难点11空间角与探索性问题(2种考法)(解析版)_02高考数学_新高考复习资料_2024年新高考资料_一轮复习资料_一轮复习讲义2024年高考数学复习全程规划(新高考)_重难点精讲
重难点11空间角与探索性问题(2种考法)(解析版)_02高考数学_新高考复习资料_2024年新高考资料_一轮复习资料_一轮复习讲义2024年高考数学复习全程规划(新高考)_重难点精讲

文档信息

文档格式
docx
文档大小
4.804 MB
文档页数
61 页
上传时间
2026-04-21 04:03:19

文档内容

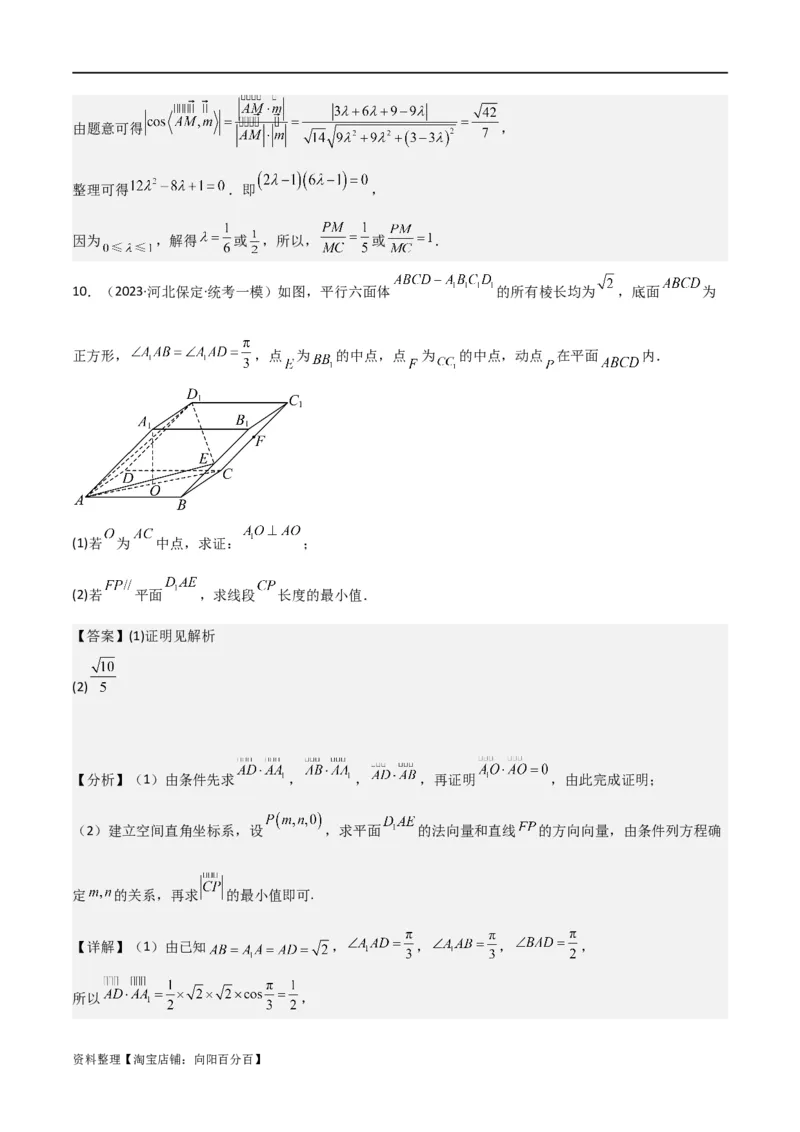
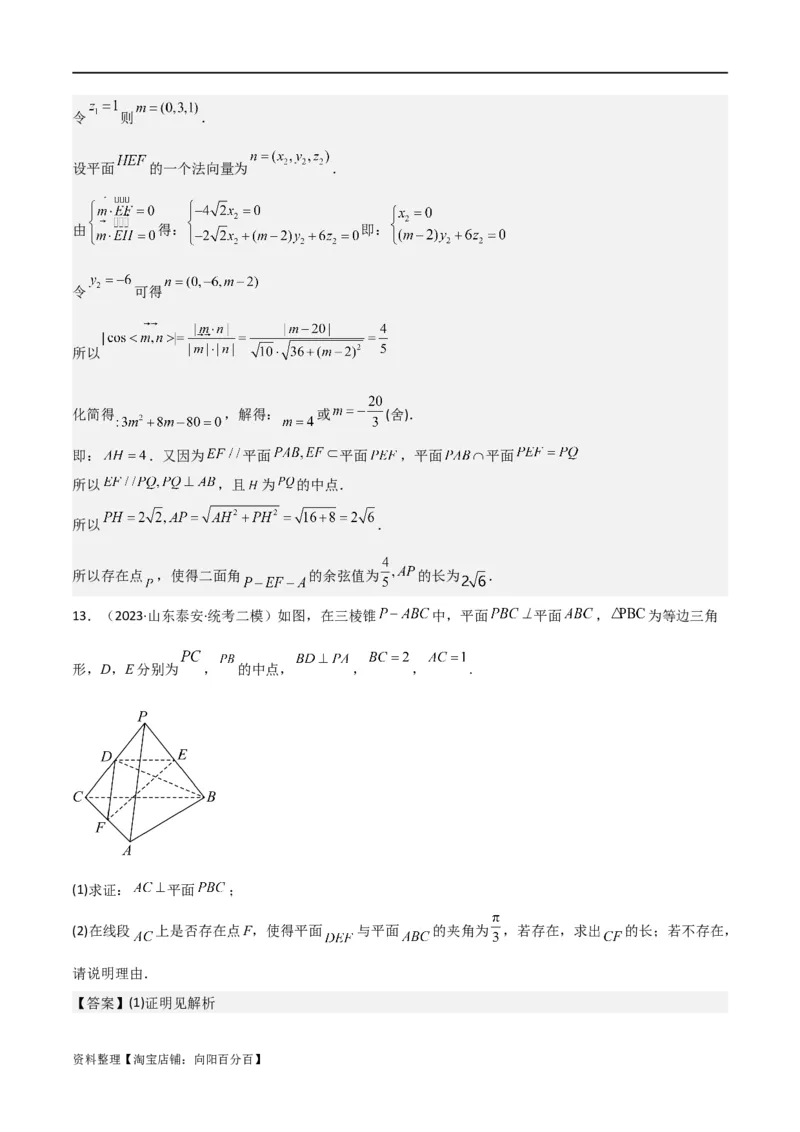
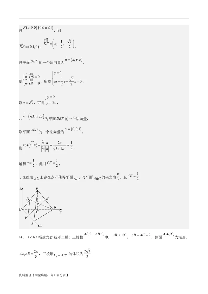
重难点 11 空间角与探索性问题(2 种考法) 【目录】 考法1:空间角问题 考法2:探索性问题 二、命题规律与备考策略 1.求异面直线所成的角的三步曲 2.求直线和平面所成角的关键 作出这个平面的垂线进而斜线和射影所成角即为所求,有时当垂线较为难找时也可以借助于三棱锥的等体 积法求得垂线长,进而用垂线长比上斜线长可求得所成角的正弦值。 3.找二面角的平面角的常用方法 (1)由定义做出二面角的平面角 (2)用三垂线定理找二面角的平面角 (3)找公垂面 (4)划归为分别垂直于二面角的两个面的两条直线所成的角 4.用坐标法求异面直线所成角的一般步骤 (1)建立空间直角坐标系; (2)分别求出两条异面直线的方向向量的坐标; (3)利用向量的夹角公式计算两条直线的方向向量的夹角; (4)结合异面直线所成角的范围求出异面直线所成的角. 5.利用向量法求两平面夹角的步骤 (1)建立空间直角坐标系; (2)分别求出二面角的两个半平面所在平面的法向量; (3)求两个法向量的夹角; (4)法向量夹角或其补角就是两平面的夹角(不大于90°的角) 6.探求某些点的具体位置,使得线面满足平行或垂直关系,是一类逆向思维的题目。一般可采用两种方法: 资料整理【淘宝店铺:向阳百分百】一是先假设存在,再去推理,下结论;二是运用推理证明计算得出结论,或先利用条件特例得出结论,然 后再根据条件给出证明或计算。 〖关键技巧〗空间向量适合解决立体几何中的探索性问题,它无需进行复杂的作图、结论、推理,只 需要通过坐标运算进行判断。解题时,把要成立的结论当作条件,据此列方程或方程组,把“是否存在” 问题转化为“点的坐标是否有解,是否有规定范围的解”等,能更简单、有效地解决问题,应善于运用这 一方法解题。 三、题型方法 考法1:空间角问题 1.(2023•蓬莱区三模)如图,矩形BCDE所在平面与△ABC所在平面垂直,∠ACB=90°,BE=2. (1)证明:DE⊥平面ACD; (2)若平面ADE与平面ABC的夹角的余弦值是 ,且直线AE与平面BCDE所成角的正弦值是 , 求异面直线DE与AB所成角的余弦值. 【分析】(1)根据矩形性质和平行关系可得DE⊥CD,DE⊥AC,由线面垂直的判定定理,即可证明结 论; (2)利用面面垂直性质可证得AC⊥平面BCDE,过点A作l∥BC,利用线面角和面面角的定义可知 , ,求出BC,AB,由异面直线所成角的定义可知所求角为∠ABC,即可 得出答案. 【解答】解:(1)证明:∵四边形BCDE为矩形,∴DE⊥CD, ∵∠ACB=90°,即AC⊥BC, 又DE∥BC,∴DE⊥AC, ∵AC∩CD=C,AC 平面ACD,CD 平面ACD, ∴DE⊥平面ACD;⊂ ⊂ (2)∵平面BCDE⊥平面ABC,平面BCDE∩平面ABC=BC,BC⊥AC,AC 平面ABC, ∴AC⊥平面BCDE, ⊂ 则∠AEC即为直线AE与平面BCDE所成的角, 资料整理【淘宝店铺:向阳百分百】∴ , 过点A作l∥BC,如图所示:则平面ADE∩平面ABC=l, 由(1)得DE⊥平面ACD,则l⊥面ACD,∴AD⊥l,AC⊥l, ∴平面ADE与平面ABC的夹角为∠DAC,∴ , 又DC=BE=2,∴AC=1,则AE=4,∴ ,∴ , , 又异面直线DE与AB所成的角为∠ABC, ∴ ,即异面直线DE与AB所成角的余弦值为 . 【点评】本题考查直线与平面垂直的判定定理和性质定理、异面直线的夹角,考查转化思想,考查逻辑 推理能力和直观想象,属于中档题. 2.(2023•青羊区校级模拟)如图:在三棱锥P﹣ABC中,PA⊥底面ABC,∠BAV=90°,点D,E,N分 别为棱PA,PC,BC的中点,M是线段AD的中点,PA=AC=4,AB=2. (1)求证:MN∥平面BDE; (2)已知点H在棱PA上,且直线NH与直线BE所成角的余弦值为 ,求线段AH的长. 资料整理【淘宝店铺:向阳百分百】【分析】(1)根据线面平行的判定定理证明即可. (2)建立直角坐标系,设AH=h,得到 , ,再根据异面直线的 夹角的余弦公式构造方程求解即可. 【解答】解:(1)证明:取AB中点F,连接MF、NF, ∵M为AD中点,∴MF∥BD, ∵BD 平面BDE,MF 平面BDE, ∴MF⊂∥平面BDE.∵N⊄为BC中点,∴NF∥AC, 又D、E分别为AP、PC的中点,∴DE∥AC,则NF∥DE. ∵PE 平面BDE,NF 平面BDE, ∴NF⊂∥平面BDE.又⊄MF∩NF=F,MF、NF 平面MFN. ∴平面MFN∥平面BDE, ⊂ ∵MN 平面MFN,∴MN∥平面BDE. (3)⊂因为PA⊥底面ABC,AB 平面ABC,AC 平面ABC, 所以PA⊥AB,PA⊥AC, ⊂ ⊂ 因为∠BAC=90°, 所以以A为原点,分别以AB,AC,AP所在的直线为x,y,z轴建立空间直角坐标系, 如图所示: 则A(0,0,0),B(2,0,0),C(0,4,0),P(0,0,4),D(0,0,2),E(0,2,2),N (1,2,0),F(1,0,0), 依题意,设AH=h(0≤h≤4),则H(0,0,h), 进而可得 , . 资料整理【淘宝店铺:向阳百分百】由已知,得|cos< >|= = ,解得h= 或h= , 所以线段AH的长为 或 . 【点评】本题主要考查线面平行的判定定理和异面直线夹角的余弦公式,属于中档题. 3 . ( 2023• 盐 湖 区 校 级 二 模 ) 如 图 , 在 三 棱 柱 ABC﹣ A B C 中 , 侧 面 BB C C 为 菱 形 , 1 1 1 1 1 . (1)证明:平面ACB ⊥平面BB C C; 1 1 1 (2)求二面角A﹣A C ﹣B 的余弦值. 1 1 1 【分析】(1)先证明AD⊥平面BB C C,再根据面面垂直的判定可得平面ACB ⊥平面BB C C; 1 1 1 1 1 (2)取A C 的中点E,连AC ,AE,B E,可证∠AEB 为二面角A﹣A C ﹣B 的平面角,计算可得结 1 1 1 1 1 1 1 1 果. 【解答】解:(1)证明:连BC 、B C交于D, 1 1 则D为BC 、B C的中点,连接AD, 1 1 因为AC=AB , 1 所以AD⊥B C, 1 因为侧面BB C C为菱形,∠CBB =60°,AB=BC=2, , 1 1 1 所以 ,AD=1, 所以AB2=BD2+AD2,即AD⊥BD, 因为B 1 C⋂BD=B,B 1 C,BD 平面BB 1 C 1 C, 所以AD⊥平面BB C C, ⊂ 1 1 因为AD 平面ACB , 1 所以平面⊂ACB ⊥平面BB C C. 1 1 1 资料整理【淘宝店铺:向阳百分百】(2)取A C 的中点E,连AC ,AE,B E, 1 1 1 1 由(1)知,AD⊥BD,又BD=DC , 1 所以AC =AB=2, 1 又AA =CC =2, 1 1 所以AE⊥A C , 1 1 同理得B E⊥A C , 1 1 1 所以∠AEB 为二面角A﹣A C ﹣B 的平面角, 1 1 1 1 在△AEB 中, , 1 , , 所以 = , 所以二面角A﹣A C ﹣B 的余弦值为 . 1 1 1 【点评】本题考查直线与平面的位置关系,二面角的余弦值,解题中注意转化思想的应用,属于中档题. 4.(2023•碑林区校级模拟)如图所示,四棱锥P﹣ABCD的底面ABCD是矩形,PB⊥底面ABCD,AB= BC=3,BP=3,CF= CP,DE= DA. (1)证明:EF∥平面ABP; (2)求直线PC与平面ADF所成角的正弦值. 资料整理【淘宝店铺:向阳百分百】【分析】(1)由题意得PB⊥BC,PB⊥AB,AB⊥BC,则建立以B为原点,以BC、BA、BP所在直线 分别为x轴、y轴、z轴的空间直角坐标系B﹣xyz,利用向量法,即可证明结论; (2)由(1)得 =(3,0,﹣3), =(3,0,0), =(2,﹣3,1),利用向量法,即可得 出答案. 【解答】解:(1)证明:∵PB⊥底面ABCD,BC 平面ABCD,AB 平面ABCD,且底面ABCD为矩形, ∴PB⊥BC,PB⊥AB,AB⊥BC,则建立以B为原点⊂,以BC、BA、B⊂P所在直线分别为x轴、y轴、z轴 的空间直角坐标系B﹣xyz,如图所示: AB=BC=3,BP=3,CF= CP,DE= DA,则B(0,0,0),C(3,0,0),E(2,3,0),F (2,0,1),A(0,3,0),C(3,0,0),D(3,3,0),P(0,0,3),F(2,0,1), 则 =(0,3,﹣1), 又BC⊥平面ABP,在平面ABP的一个法向量为 =(3,0,0), ∴ • =0,即 ⊥ , 又EF 平面ABP, ∴EF∥⊄平面ABP; (2)由(1)得 =(3,0,﹣3), =(3,0,0), =(2,﹣3,1), 设平面ADF的一个法向量为 =(x,y,z), 则 ,取z=3,则y=1,x=0, ∴平面ADF的一个法向量为 =(0,1,3), 资料整理【淘宝店铺:向阳百分百】设直线PC与平面ADF所成角为 , α ∴sin =|cos< , >|= = = , α 故直线PC与平面ADF所成角的正弦值为 . 【点评】本题考查直线与平面平行与直线与平面的夹角,考查转化思想和数形结合思想,考查逻辑推理 能力和运算能力,属于中档题. 5.(2023•全国模拟)已知三棱锥ABCD,D在面ABC上的投影为O,O恰好为△ABC的外心.AC=AB= 4,BC=2. (1)证明:BC⊥AD; (2)E为AD上靠近A的四等分点,若三棱锥ABCD的外接球表面积为20 ,求二面角E﹣CO﹣B的余 弦值. π 【分析】本题根据线线垂直的性质和空间向量二面角的求法,即可求出. 【解答】解:(1)证明:连接AO,延长交BC于M,则M是BC的中点. ∵D在面ABC上的投影为O, ∴DO⊥面ABC,∴DO⊥BC, ∵AC=AB,∴BC⊥AM, ∵AM∩DO=0,∴BC⊥平面ADM, ∵AD 平面ADM, ⊂ 资料整理【淘宝店铺:向阳百分百】∴BC⊥AD. (2)以BC中点M为原点如图建立直角坐标系, 易知 , ,C(0,1,0), 设二面角E﹣CO﹣B的平面角为 , α 面EOC的一个法向量为 =(x,y,z), 由 • = • =0,即 x﹣ z=﹣ x+y﹣ z=0, 可取 =( ), 面BOC的一个法向量为 =(0,0,1), cos = = , α ∴二面角E﹣CO﹣B的余弦值为﹣ . 【点评】本题考查空间位置关系的推理与证明,利用空间向量计算二面角,属中档题. 6.(2023•泉州模拟)三棱柱ABC﹣A B C 中,AA =AB=2 ,CA =4,CB =2 ,∠BAA =60°. 1 1 1 1 1 1 1 (1)证明:CA=CB; (2)若CA=4,求二面角A ﹣CB ﹣C 的余弦值. 1 1 1 资料整理【淘宝店铺:向阳百分百】【分析】(1)取AB的中点M,连接CM和MA ,证明AB⊥面CMA 即可; 1 1 (2)建立空间直角坐标系,标出每个点坐标,算出法向量即可求出二面角余弦值. 【解答】(1)证明:取AB的中点M,连接CM和MA ,如图: 1 因为A B =2 ,CA =4,CB =2 , 1 1 1 1 根据勾股定理得到A B ⊥CA , 1 1 1 因为AB∥A B , 1 1 所以AB⊥CA , 1 因为AA =AB=2 ,∠BAA =60°, 1 1 所以△ABA1是等边三角形, 因为M是AB中点, 所以AB⊥MA , 1 因为CA ∩MA =A , 1 1 1 所以AB⊥面CMA , 1 所以AB⊥CM, 因为M是AB中点, 资料整理【淘宝店铺:向阳百分百】所以CA=CB; (2)解:在面CMA 平面内,过M作MA 的垂线作为z轴, 1 1 因为AB⊥面CMA , 1 所以AB⊥z轴, 因为AB⊥MA , 1 所以可以建立如图所示空间直角坐标系, 首先来看C点坐标,面CMA 分解图如下: 1 过C作CN⊥MA 交MA 于N点,设MN=t,CN=h, 1 1 则t2+h2=13,(3﹣t)2+h2=16, 解得t=1,h= , 所以点C(0,1,2 ),A (0,3,0), , , 1 设面CA B 的法向量为 =(x,y,z), 1 1 资料整理【淘宝店铺:向阳百分百】=(0,﹣2, ), =( ), 所以 , 不妨设z=1,则法向量 =(0, ), 面CB C 即面CBB ,设面CBB 的法向量 =(s,q,r), 1 1 1 1 =( ), 所以 , 不妨设r=1,则法向量 =(﹣3,﹣ ,2), 从图像可得二面角A ﹣CB ﹣C 是钝二面角, 1 1 1 所以cos<A ﹣CB ﹣C >=﹣| |=﹣ , 1 1 1 即二面角A ﹣CB ﹣C 的余弦值是 . 1 1 1 【点评】本题考查线面平行判定定理和利用向量法求解二面角问题,属于中档题. 7.(2023•哈尔滨一模)如图,在四棱锥 P﹣ABCD中,底面ABCD是边长为2的菱形,△PAD为等边三 角形,平面PAD⊥平面ABCD,PB⊥BC. (1)求点A到平面PBC的距离; (2)E为线段PC上一点,若直线AE与平面ABCD所成的角的正弦值为 ,求平面ADE与平面 ABCD夹角的余弦值. 资料整理【淘宝店铺:向阳百分百】【分析】(1)取AD的中点O,连接OB,OP,由题意得OP⊥AD,AO=1,OP= ,OP⊥平面 ABCD,OP⊥OB,根据线面垂直的判定定理和性质,可得OB⊥AD,利用等体积法,即可得出答案; (2)由(1)得OA,OB,OP两两垂直,则建立以O为原点的空间直角坐标系O﹣xyz,利用向量法, 即可得出答案. 【解答】解:(1)取AD的中点O,连接OB,OP,如图所示: ∵△PAD为等边三角形,AD=2, ∴OP⊥AD,AO=1,OP= , 又平面PAD⊥平面ABCD,且平面PAD∩平面ABCD=AD,OP 平面PAD, ∴OP⊥平面ABCD, ⊂ ∵OB 平面ABCD, ∴OP⊂⊥OB, ∵PB⊥BC,BC∥AD, ∴AD⊥PB, ∵OP⊥AD,且OP 平面POB,PB 平面POB,OP∩PB=P, ∴AD⊥平面POB,⊂ ⊂ ∵OB 平面POB, ∴OB⊂⊥AD, 在菱形ABCD中,AB=2,则OB= , ∴PB= = , 设点A到平面PBC的距离为h,则V A﹣PBC =V P﹣ABC , ∴ S△PBC •h= S△ABC •OP,即 × ×2× h= × × ×2× ,解得h= , 故点A到平面PBC的距离为 ; (2)由(1)得OA,OB,OP两两垂直,则建立以O为原点的空间直角坐标系O﹣xyz, 则O(0,0,0),P(0,0, ),C(﹣2, ,0),A(1,0,0),D(﹣1,0,0), E为线段PC上一点,设 =t ,则E(﹣2t, t, ﹣ t), 资料整理【淘宝店铺:向阳百分百】∴ =(﹣2t﹣1, t, ﹣ t), ∵OP⊥平面ABCD, ∴平面ABCD的法向量为 =(0,0, ), ∴|cos< , >|= = = ,解得t= , ∴E(﹣ ,﹣ , ), 设平面ADE的法向量为 =(x,y,z), 则 ,取y=﹣2,则x=0,z=1, ∴平面ADE的法向量为 =(0,﹣2,1), ∴平面ADE与平面ABCD夹角的余弦值为|cos< , >|= = = , 故平面ADE与平面ABCD夹角的余弦值为 . 【点评】本题考查点到平面的距离和二面角,考查转化思想和数形结合思想,考查逻辑推理能力和运算 能力,属于中档题. 8.(2023•天津一模)已知底面ABCD是正方形,PA⊥平面ABCD,PA∥DQ,PA=AD=3DQ=3,点E、 F分别为线段PB、CQ的中点. (1)求证:EF∥平面PADQ; (2)求平面PCQ与平面CDQ夹角的余弦值; 资料整理【淘宝店铺:向阳百分百】(3)线段PC上是否存在点M,使得直线AM与平面PCQ所成角的正弦值是 ,若存在求出 的 值,若不存在,说明理由. 【分析】(1)(方法一)分别取AB,CD的中点G,H,连接EG,GH,FH,由中位线定理可得 EG∥FH,GH∥AD,由线面平行的判定定理可得GH∥平面ADQP,FH∥平面ADQP,由面面平行的判 定定理可得平面EGHF∥平面ADQP,进而可得答案. (方法二)因为ABCD为正方形,且PA⊥平面ABCD,所以AP,AB,AD两两互相垂直,建立空间直 角坐标系,平面PADQ的一个法向量 ,则 ,即 ,由线面平行的判定定理可得答案. (2)设平面 PCQ 的法向量 ,则 ,解得 ,又平面 CQD 的一个法向量 ,设平面PCQ与平面CQD夹角为 ,计算cos ,即可得出答案. θ θ (3)假设存在点M, , [0,1],设M(x,y,z),所以(x,y,z﹣3)= (3,3,﹣ λ∈ λ 3),进而可得 ,由(2)得平面PCQ的一个法向量为 ,则 ,解得 ,即可得出答案. 【解答】解:(1)证明:(方法一)分别取AB,λ CD的中点G,H,连接EG,GH,FH, 由题意可知:点E、F分别为线段PB、CQ的中点, 所以EG∥PA,FH∥QD, 资料整理【淘宝店铺:向阳百分百】因为PA∥DQ, 所以EG∥FH, 所以点E,G,H,F四点共面, 因为G,H分别为AB,CD的中点, 所以GH∥AD, 又因为AD 平面ADQP,GH 平面ADQP, 所以GH∥⊂平面ADQP, ⊄ 又因为FH∥QD,QD 平面ADQP,FH 平面ADQP, 所以FH∥平面ADQP,⊂ ⊄ 又因为FH∩GH=H,FH,GH 平面EGHF, 所以平面EGHF∥平面ADQP,⊂ 因为EF 平面EGHF,所以EF∥平面ADQP. ⊂ (方法二)因为ABCD为正方形,且PA⊥平面ABCD,所以AP,AB,AD两两互相垂直,建立如图所 示空间直角坐标系, 则P(0,0,3),C(3,3,0),Q(0,3,1),B(3,0,0), , , 所以 , , , 资料整理【淘宝店铺:向阳百分百】易知平面PADQ的一个法向量 , 所以 , 所以 , 又因为EF 平面ADQP, 所以EF∥⊄平面ADQP. (2)设平面PCQ的法向量 , 则 ,即 ,令x=1,则z=3,y=2, 所以平面PCQ的一个法向量为 , 易知平面CQD的一个法向量 , 设平面PCQ与平面CQD夹角为 , θ 则 , 所以平面PCQ与平面CQD夹角余弦值为 . (3)假设存在点M, , [0,1], λ∈ 设M(x,y,z),所以(x,y,z﹣3)= (3,3,﹣3), λ 所以M(3 ,3 ,3﹣3 )所以 , λ λ λ 由(2)得平面PCQ的一个法向量为 , 所以 , 得12 2﹣8 +1=0.即(2 ﹣1)(6 ﹣1)=0, λ λ λ λ 所以 或 , 资料整理【淘宝店铺:向阳百分百】所以 或 . 【点评】本题考查直线与平面的位置关系,二面角,解题中需要理清思路,属于中档题. 9.(2023•沙坪坝区校级模拟)如图,正三棱锥P﹣ABC中,PA=AC=6,E,F为棱PC的三等分点. (1)求异面直线AE,BF夹角的余弦值; (2)求三棱锥A﹣BEF的体积. 【分析】(1)取AC的中点M,连接BM,利用三角形中位线定理,可得MF∥AE,且MF= AE,结 合余弦定理即可得出结论. (2)取底面ABC的中心O,连接PO,可得PO⊥底面ABC,利用勾股定理可得PO,即为点A到平面 PBC的距离,进而得出三棱锥A﹣BEF的体积. 【解答】解:(1)取AC的中点M,连接BM, ∵E,F为棱PC的三等分点, ∴MF∥AE,且MF= AE, ∵正三棱锥P﹣ABC中,PA=AC=6, ∴三棱锥P﹣ABC为正四面体, ∴BM=3 , AE=BF= =2 , ∴MF= , 在△BFE中,cos∠BFM= = , 资料整理【淘宝店铺:向阳百分百】∴异面直线AE,BF夹角的余弦值为 ; (2)取底面ABC的中心O,连接PO, 则PO⊥底面ABC, ∴PO= = =2 , ∴点A到平面PBC的距离也为2 ,设h=2 , ∴三棱锥A﹣BEF的体积V= •h•S△BEF = ×2 × ×2×3 =6 . 【点评】本题考查了三角形中位线定理、余弦定理、空间角、与三棱锥的体积,考查了推理能力与计算 能力,属于中档题. 10.(2023•江苏模拟)如图,在三棱台ABC﹣A B C 中,BA⊥BC,平面A B BA⊥平面ABC,二面角B 1 1 1 1 1 1 ﹣BC﹣A的大小为45°,AB=2,BC=A B =AA =1. 1 1 1 (1)求证:AA ⊥平面ABC; 1 (2)求异而直线BA 与CB 所成角的余弦值. 1 1 【分析】(1)根据已知条件证明 AA ⊥BA,又因为 AA ⊥BC,即可证明;(2)计算可得 1 1 , ,代入向量夹角公式即可. 【解答】解:(1)因为BC⊥BA,平面A B BA⊥平面ABC,平面A B BA∩平面ABC=AB, 1 1 1 1 资料整理【淘宝店铺:向阳百分百】BC 平面ABC,所以BC⊥平面A B BA,又因为AA ,BB 平面A B BA, 1 1 1 1 1 1 所以⊂BC⊥AA ,BC⊥BB ,所以∠B BA是二面角B ﹣BC﹣⊂A的平面角, 1 1 1 1 因为二面角B ﹣BC﹣A的大小为45°,所以∠B BA=45°, 1 1 取AB中点O,连结OB ,在梯形A B BA中,B A ∥BA,OA=1=B A , 1 1 1 1 1 1 1 所以四边形A B OA是平行四边形,所以OB =AA =1,OB ∥AA , 1 1 1 1 1 1 从而在三角形OBB 中,∠B BO=45°,OB =OB=1,所以∠BB O=∠B BO=45°, 1 1 1 1 1 所以∠BOB =90°,即 OB ⊥BA,所以AA ⊥BA. 1 1 1 又因为 AA ⊥BC,AB,BC 平面ABC,AB∩BC=B,所以AA ⊥平面ABC. 1 1 (2)以O为坐标原点,OB⊂所在直线为x轴,平面ABC内过O平行于BC的直线为y轴, OB 所在直线为z轴,建立如图所示的空间直角坐标系O﹣xyz, 1 则B(1,0,0),A (﹣1,0,1),B (0,0,1),C(1,1,0), 1 1 所以 , , 所以异面直线BA 与CB 所成角的余弦值为| |= . 1 1 【点评】本题考查直线与平面垂直,考查异面直线所成的角,属于中档题. 11.(2023•南通模拟)三棱柱ABC﹣A B C 中,AB=AB =AA =AC=2,∠BAC=120°,线段A B 的中 1 1 1 1 1 1 1 点为M,且BC⊥AM. (1)求AA 与BC所成角的余弦值; 1 (2)若线段B C 的中点为P,求二面角P﹣AB ﹣A 的余弦值. 1 1 1 1 资料整理【淘宝店铺:向阳百分百】【分析】(1)根据条件推理证明AM⊥平面ABC,AB⊥AN,故可以以A为坐标原点,AB,AN,AM所 在直线分别为x轴,y轴,z轴,建立空间直角坐标系A﹣xyz,利用向量法求解即可; (2)根据(1)所建立的空间直角坐标系,求出平面 PAB 和平面A AB 的一个法向量,利用向量的夹 1 1 1 角公式计算即可. 【解答】解:(1)在线段BC上取一点N,使 , 在三棱柱ABC﹣A B C 中,AB∥A B , 1 1 1 1 1 在△AB A 中,因为AB =AA ,M是A B 的中点, 1 1 1 1 1 1 所以 , 所以AM⊥AB, 因为AM⊥BC,BC∩AB=B,BC,AB 平面ABC, 所以AM⊥平面ABC. ⊂ 在△ABN中,由余弦定理得: , 所以AB2+AN2=BN2,所以AB⊥AN, 以A为坐标原点,AB,AN,AM所在直线分别为x轴,y轴,z轴, 建立如图所示的空间直角坐标系A﹣xyz, 则 , 资料整理【淘宝店铺:向阳百分百】设 , 因为 , 所以 =(﹣1,0, ), =(﹣3, ,0), 设直线AA 与BC所成的角为 , 1 所以 , 所以AA 与BC所成角的余弦值为 . 1 (2)因为线段B C 的中点为P,所以 , 1 1 设平面PAB 的一个法向量 , 1 因为 , 所以 , 令z =1,则 , 1 所以 . 由(1)AM⊥平面ABC,AM 平面A AB , 1 1 所以平面A AB ⊥平面ABC,⊂ 1 1 又平面A AB ∩平面ABC=AB, 1 1 又AB⊥AN,AN 平面ABC,AN 平面A AB , 1 1 所以AN⊥平面A⊂AB , ⊄ 1 1 所以 为平面A AB 的一个法向量, 1 1 而AN在y轴上, 资料整理【淘宝店铺:向阳百分百】所以取平面A AB 的一个法向量 =(0,1,0), 1 1 设二面角P﹣AB ﹣A 的平面角为 , 1 1 α , 由图可知: 为锐角,所以 . α 所以二面角P﹣AB ﹣A 的余弦值为 . 1 1 【点评】本题主要考查空间线线、线面和面面垂直的判定和性质,以及空间角的求法,考查转化思想和 运算能力、推理能力,属于中档题. 12.(2023•日照三模)如图,在直三棱柱 ABC﹣A B C 中,AB=2,侧面ABB A 是正方形,且平面 1 1 1 1 1 A BC⊥平面ABB A . 1 1 1 (1)求证:AB⊥BC; (2)若直线AC与平面A BC所成的角为 为线段A C的中点,求平面ABE与平面BCE所成锐二 1 1 面角的大小. 【分析】(1)根据面面垂直的性质,线面垂直的判定和性质,即可证明结论; (2)由题意建立空间直角坐标系,结合直线与平面夹角的定义,利用向量法,即可得出答案. 【解答】解:(1)连接AB 1 ,设A 1 B⋂AB 1 =M,则A 1 B中点为M,且AM⊥A 1 B, 资料整理【淘宝店铺:向阳百分百】∵平面A 1 BC⊥平面ABB 1 A 1 ,平面A 1 BC⋂ 平面ABB 1 A 1 =A 1 B,AM 平面ABB 1 A 1 , ∴AM⊥平面A BC, ⊂ 1 ∵BC 平面A BC, 1 ∴AM⊂⊥BC, 又在直三棱柱ABC﹣A B C ,BB ⊥面ABC,BC 平面ABC, 1 1 1 1 ∴BB ⊥BC, ⊂ 1 ∵AM∩BB =B ,AM,BB 平面ABB A , 1 1 1 1 1 ∴BC⊥平面ABB A , ⊂ 1 1 ∵AB 平面ABB A , 1 1 ∴AB⊂⊥BC; (2)由(1)得AM⊥平面A BC, 1 则直线AC与平面A BC所成的角为 , 1 在正方形ABB A 中, , 1 1 建立以B为原点的空间直角坐标系B﹣xyz,如图所示: A(0,2,0),C(2,0,0),E(1,1,1),M(0,1,1), 则 , 设平面ABE的法向量为 , 则 ,取x=1,则y=0,z=﹣1, ∴平面ABE的法向量为 , 资料整理【淘宝店铺:向阳百分百】又AM⊥平面 设平面CBE的法向量为 ,则 , 设平面ABE与平面BCE所成锐二面角为 , θ ∴cos =|cos< >|= = = , ∵ 为θ锐角, θ ∴ = ,即平面ABE与平面BCE所成锐二面角的大小为 . 【θ点评】本题考查直线与平面垂直和二面角,考查转化思想和数形结合思想,考查逻辑推理能力和运算 能力,属于中档题. 13.(2023•四川模拟)已知棱锥P﹣ABCDE的底面五边形中,ABCD为边长为2的正方形,△ADE为等 腰直角三角形,AE=DE=PE,又PA⊥DE. (1)在线段PB上找一点G,使得平面GAC∥平面PDE,并说明理由; (2)在(1)的条件下,二面角B﹣DE﹣P为120°,求CG与平面PAC所成角的正弦值. 【分析】(1)线段PB的中点即为所求点G,此时有GM∥PD,DE∥AC,即可得到平面GAC∥平面 PDE; (2)以E为坐标原点,建立空间直角坐标系,利用向量法求解. 【解答】解:(1)线段PB的中点即为所求点G. 理由如下: 连接BD交AC于点M,连接GM,PD,四边形ABCD是正方形,M为DB中点,又G为线段PB的中点, 所以GM∥PD,又GM 平面PDE,PD 平面PDE, 所以GM∥平面PDE,⊄ ⊂ 又依题意可得DE∥AC,又AC 平面PED,DE 平面PED, 所以AC∥平面PED, ⊄ ⊂ 又GM∩AC=M,GM,AC 平面GAC, 所以平面GAC∥平面PDE;⊂ 资料整理【淘宝店铺:向阳百分百】(2)由题意可得DE⊥AE,PA⊥DE,所以直线DE⊥平面PAE,PE⊥DE, 所以∠PEA为二面角B﹣DE﹣P的平面角,即∠PEA=120°, 如图,以E为坐标原点,建立如图所示空间直角坐标系, 则P(﹣ ,0, ),A( ,0,0),B(2 , ,0),C( ,2 ,0),G( , , ), 则 =(0,2 ,0), =( ,0,﹣ ), 设平面PAC的法向量 =(x,y,z), 由 ,可取 =(1,0, ), 又 =(﹣ ,﹣ , ), 设CG与平面PAC所成的角为 ,则 θ sin =|cos >|= = , θ 所以CG与平面PAC所成角的正弦值为 . 【点评】本题考查了面面平行的证明,考查了二面角、线面角的大小,查运算求解能力,是中档题. 14.(2023•山西模拟)如图,在四棱锥S﹣ABCD中.平面SAD⊥平面ABCD,AD∥BC,AB⊥AD,AD= 2AB=2BC,AS=DS,点E,F分别为AS,CD的中点. (1)证明:BE∥平面SCD; 资料整理【淘宝店铺:向阳百分百】(2)若AB=1, ,求二面角C﹣AS﹣F的余弦值. 【分析】(1)取DS的中点P,连接EP,PC,证明四边形EBCP为平行四边形,从而得BE∥CP,即 证得线面平行; (2)建立如图所示的空间直角坐标系,由空间向量法求二面角. 【解答】证明:(1)如图,取DS的中点P,连接EP,PC, 因为E,P分别为AS,DS的中点. 所以EP∥AD,AD=2EP, 因为AD∥BC,AD=2BC,所以EP∥BC,EP=BC, 所以四边形EBCP为平行四边形,所以BE∥CP, 因为CP 平面SCD,BE 平面SCD, 所以BE∥⊂平面SCD; ⊄ 解:(2)如图,取AD的中点O,连接SO,CO, 因为△SAD为等腰三角形,所以SO⊥AD, 因为平面SAD⊥平面ABCD,平面SAD∩平面ABCD=AD, 所以SO⊥平面ABCD,又因为OC,OD 平面ABCD,所以SO⊥OC,SO⊥OD, 因为AD∥BC,AB⊥AD,AD=2AB=2B⊂C,所以AC=DC,所以CO⊥AD, 所以OC,OD,OS两两互相垂直, 则以O为坐标原点,OC,OD,OS所在直线分别为x,y,z轴,建立如图所示的空间直角坐标系 O﹣ 资料整理【淘宝店铺:向阳百分百】xyz, 因为AB=1, , 所以A(0,﹣1,0), ,C(1,0,0), , 所以 , , , , 设平面ACS的一个法向量为 , 则 ,所以 ,即 令 ,得 ,所以 , 设平面AFS的一个法向量为 , 则 ,所以 ,即 , 取z =1,得 ,所以 , 2 所以 , 设二面角C﹣AS﹣F的大小为 ,由图可知, 为锐角,所以 , θ θ 所以二面角C﹣AS﹣F的余弦值为 . 【点评】本题考查直线与平面平行的证明和求二面角的大小,属于中档题. 15.(2023•乙卷)如图,在三棱锥P﹣ABC中,AB⊥BC,AB=2,BC=2 ,PB=PC= ,AD= DO,BP,AP,BC的中点分别为D,E,O,点F在AC上,BF⊥AO. (1)证明:EF∥平面ADO; (2)证明:平面ADO⊥平面BEF; (3)求二面角D﹣AO﹣C的正弦值. 资料整理【淘宝店铺:向阳百分百】【分析】(1)利用向量法可得OF∥AB,OF= AB,四边形ODEF为平行四边形,根据线面平行的判 定定理即可证明; (2)由勾股定理可得AO⊥OD,AO⊥EF,根据面面垂直的判定定理即可证明; (3)设二面角D﹣AO﹣C的平面角为 ,可知 为 和 的夹角,利用向量的夹角公式求解即可. θ θ 【解答】证明:(1)由题可知,| |=2 ,设 = , λ ∵ = cos∠BAC=4, 则 =( )•( )= +( ) =8 ﹣4= λ 0,解得 , ∴OF∥AB,OF= AB, 而DE∥AB,DE= AB,∴DE∥OF,DE=OF,∴四边形ODEF为平行四边形, ∴EF∥OD, ∵OD 平面ADO,EF 平面ADO, ∴EF∥⊂平面ADO. ⊄ 证明:(2)AO= = =PC=2OD,AD= OD, ∴AD2=AO2+OD2,即AO⊥OD,AO⊥EF, ∵BF⊥AO,BF∩EF=F, ∴AO⊥平面BEF, ∵AO 平面ADO, ⊂ 资料整理【淘宝店铺:向阳百分百】∴平面ADO⊥平面BEF. 解:(3)设二面角D﹣AO﹣C的平面角为 , ∵AO⊥OD,AO⊥BF, θ ∴ 为 和 的夹角, θ | |= | |= ,| |= = , cos = = = = , θ sin = , θ ∴二面角D﹣AO﹣C的正弦值为 . 【点评】本题考查直线与平面、平面与平面位置关系的判定定理,考查二面角的计算,是难题. 考法2:探索性问题 一、解答题 1.(2023·全国·高三专题练习)已知正四棱台 的体积为 ,其中 . (1)求侧棱 与底面 所成的角; (2)在线段 上是否存在一点P,使得 ?若存在请确定点 的位置;若不存在,请说明理由. 【答案】(1) (2)不存在,理由见解析 【分析】(1)先求得正四棱台的高,然后求得侧棱 与底面 所成的角. (2)建立空间直角坐标系,利用向量法确定是否存在符合题意的 点. 资料整理【淘宝店铺:向阳百分百】【详解】(1)依题意,在正四棱台 中, , 所以上底面积 ,下底面积 , 设正四棱台的高为 ,则 . 连接 ,则 , 所以 , 设侧棱 与底面 所成的角为 ,则 , 由于线面角 的取值范围是 ,所以 . (2)连接 ,设正四棱台上下底面的中心分别为 , 以 为原点, 分别为 轴建立如图所示空间直角坐标系, , 设线段 上存在一点 ,满足 , , , 则 , , 若 ,则 , 即 , 资料整理【淘宝店铺:向阳百分百】解得 ,舍去, 所以在线段 上不存在一点 ,使得 . 2.(2023·湖北襄阳·襄阳四中校考模拟预测)在三棱锥P-ABC中,若已知 , ,点P在底 面ABC的射影为点H,则 (1)证明: (2)设 ,则在线段PC上是否存在一点M,使得 与平面 所成角的余弦值为 , 若存在,设 ,求出 的值,若不存在,请说明理由. 【答案】(1)证明见解析; (2)在线段PC上是否存在一点M,满足条件,且 . 【分析】(1)由条件证明 ,再证明 ,由此可得 ,由线面垂直判定定理证明 平面 ,由此证明 ; (2)建立空间直角坐标系,技术存在点 满足条件,由条件求平面 的法向量和直线 的方向向量, 由条件列方程求 即可. 【详解】(1)因为点P在底面ABC的射影为点H, 所以 平面 ,又 平面 , 资料整理【淘宝店铺:向阳百分百】所以 , 因为 , , , 平面 , 所以 平面 ,又 平面 , 所以 , 因为 , , , 平面 , 所以 平面 ,又 平面 , 所以 , 因为 , , 所以点 为 的垂心,所以 , 因为 , , 平面 , , 所以 平面 ,又 平面 , 所以 ; (2)延长 交 于点 ,由(1)可得 , 又 ,所以点 为线段 的中点, 所以 ,同理可得 , 所以 为等边三角形,又 ,所以 , 如图,以点 为原点,以 为 轴的正方向,建立空间直角坐标系, 则 , 故 , 设存在点M,使得BM与平面 所成角的余弦值为 ,且 , 则 , 设平面 的法向量为 , , 则 ,所以 , 令 ,可得 , 所以 为平面 的一个法向量, 资料整理【淘宝店铺:向阳百分百】所以 , 设直线BM与平面 所成角为 ,则 ,又 , 所以 ,故 , 所以 或 ,又 , 所以 . 所以在线段PC上存在点M,使得BM与平面PAB所成角的余弦值为 ,且 . 3.(2023·安徽阜阳·安徽省临泉第一中学校考三模)在梯形 中, , , 为 的中点,将 沿 折起至 的位置,且 . (1)求证:平面 平面 ; 资料整理【淘宝店铺:向阳百分百】(2)判断在线段 上是否存在点 ,使得直线 与平面 成角的正弦值为 .若存在,求出 的长; 若不存在,请说明理由. 【答案】(1)证明见解析 (2)存在, 【分析】(1)由条件证明 , ,根据线面垂直判定定理证明 平面 ,再由面面垂 直判定定理证明平面 平面 . (2)取 的中点 ,由条件证明 平面 ,建立空间直角坐标系,求直线 方向向量与平面 法向量,结合条件列方程求出点 的位置即可. 【详解】(1)连接 ,由已知可得: , 又 , , 在 中, ,故 , 又 ,且 , 平面 , 所以 平面 . 因为 平面 ,所以平面 平面 . (2)取 的中点 ,连接 . 由(1)知 平面PBC,故 . 又 ,所以 平面 ,故 , 又 ,所以 , 又 , 平面 , 所以 平面 资料整理【淘宝店铺:向阳百分百】以OB,OP所在直线分别为y,z轴,建立空间直角坐标系. 则 , , , , , 设 ,则 , 设平面PEC的法向量为 , , , , ,故 , 取 ,则 , ,则 . 故设直线 与平面 夹角为 , 则 , 所以 , 则 或 (舍去), 即Q为线段AP的中点,此时 . 资料整理【淘宝店铺:向阳百分百】4.(2023·湖南邵阳·邵阳市第二中学校考模拟预测)如图,在 中, , 为 边上一动点, 交 于点 ,现将 沿 翻折至 . (1)证明:平面 平面 ; (2)若 ,且 ,线段 上是否存在一点 (不包括端点),使得锐二面角 的余弦值为 ,若存在求出 的值,若不存在请说明理由. 【答案】(1)证明见解析 (2)存在, 【分析】(1)由条件证明 , ,根据线面垂直判定定理证明 平面 ,根据面面 垂直判定定理证明平面 平面 ; (2)证明 平面 ,建立空间直角坐标系, ,求平面 ,平面 的法向量,由条 件列方程求 即可. 【详解】(1)因为 , , 所以 ,所以 , 所以 ,又因为 , , 平面 , 平面 , 所以 平面 ,又 平面 , 所以平面 平面 . (2)因为 , ,∴ , 又∵ , , 平面 , 资料整理【淘宝店铺:向阳百分百】∴ 平面 , ∴ 、 、 两两垂直,以 点为原点, 为 轴, 为 轴, 为 轴建立空间直角坐标系, 因为 , , 所以 . 则 , , , , 平面 的一个法向量为 , ,设 , , , 设平面 法向量为 , 则 ,所以 , 取 ,则 , , 故 为平面 的一个法向量, 所以 , 解得 ,符合题意 即 ,∴ . 资料整理【淘宝店铺:向阳百分百】5.(2023·广东佛山·统考模拟预测)如图 ,菱形 的边长为 , ,将 沿 向上 翻折,得到如图 所示得三棱锥 . (1)证明: ; (2)若 ,在线段 上是否存在点 ,使得平面 与平面 所成角的余弦值为 ?若存在, 求出 ;若不存在,请说明理由. 【答案】(1)证明见解析 (2)存在, 或 【分析】(1)取 中点 ,利用等腰三角形三线合一性质,结合线面垂直的判定可得 平面 , 由线面垂直性质可证得结论; (2)利用余弦定理可求得 ,作 ,以 为坐标原点建立空间直角坐标系,设 ,由面面角的向量求法可构造方程求得 的值,由此可得结果. 【详解】(1)取 中点 ,连接 , 资料整理【淘宝店铺:向阳百分百】四边形 为菱形, , , , , , 平面 , 平面 , 平面 , . (2) , , ,解得: ; , , ; 在平面 中,作 ,交 于点 , 则以 为坐标原点, 正方向为 轴,可建立如图所示空间直角坐标系, 假设在线段 上存在点 ,使得平面 与平面 所成角的余弦值为 , , , , 又 , , , , , 资料整理【淘宝店铺:向阳百分百】设平面 的法向量 , 则 ,令 ,解得: , , ; 轴 平面 , 平面 的一个法向量 , ,解得: , 当 时, ;当 时, ; 当 或 时,平面 与平面 所成角的余弦值为 . 6.(2023·河南郑州·统考模拟预测)在底面ABCD为梯形的多面体中. ,BC⊥CD, ,∠CBD=45°,BC=AE=DE,且四边形BDEN为矩形. (1)求证:BD⊥AE; (2)线段EN上是否存在点Q,使得直线BE与平面QAD所成的角为60°?若不存在,请说明理由.若存在, 确定点Q的位置并加以证明. 【答案】(1)证明见解析 (2)点Q为线段EN的中点或在线段EN上距离点E的 处,证明见解析 【分析】(1)根据已知条件及勾股定理和逆定理,利用矩形的性质及线面垂直的的判定定理,结合线面 垂直的性质定理即可求解; (2)根据已知条件建立空间直角坐标系,求出相关点的坐标,利用向量的共线定理,求出点 的坐标, 分别求出直线BE的方向向量和平面QAD的法向量,再利用向量的夹角公式,结合向量的夹角与线面角的 资料整理【淘宝店铺:向阳百分百】关系即可求解. 【详解】(1)由题意知, ,BC⊥CD, ,∠CBD=45°,BC=AE=DE, 故有 ,易得 ,BD=2, , 在 ABD中,∵ ,∴BD⊥AD. △ 因为四边形BDEN为矩形,则BD⊥DE, 又 , 平面ADE, 平面ADE, 故BD⊥平面ADE. 因为 平面ADE, 所以BD⊥AE. (2)存在点Q,使得直线BE与平面QAD所成的角为60°,此时点Q为线段EN的中点或在线段EN上距 离点E的 处. 证明如下:以点D为坐标原点,建立的空间直角坐标系 ,如图所示, 则 , , , , 所以 , , 设 ,其中 ,解得 , 故 , 设平面QAD的法向量为 , 则 即 令y=1,则 ,z=-2λ, 资料整理【淘宝店铺:向阳百分百】故 , 因为直线BE与平面QAD所成的角为60°, 所以 ,解得 或 , 故存在点Q,使得直线BE与平面QAD所成的角为60°,此时点Q为线段EN的中点或在线段EN上距离点 E的 处. 7.(2023·陕西榆林·统考二模)如图,在四棱锥 中, ,四边形 是 菱形, 是棱 上的动点,且 . (1)证明: 平面 . (2)是否存在实数 ,使得平面 与平面 所成锐二面角的余弦值是 ?若存在,求出 的值;若 不存在,请说明理由. 【答案】(1)证明见解析; (2)存在实数 ,使得面 与面 所成锐二面角的余弦值是 . 【分析】(1)由题设 ,根据线面垂直的判定得 平面 ,再由线面垂直的性质有 ,并由勾股定理证 ,最后应用线面垂直的判定证结论; (2)取棱 的中点 ,连接 ,构建空间直角坐标系,写出相关点的坐标,应用向量法求面面角的余 弦值,结合已知列方程求参数 ,即可判断存在性. 资料整理【淘宝店铺:向阳百分百】【详解】(1) 因为四边形 是菱形,所以 . 因为 平面 ,且 ,所以 平面 . 因为 平面 ,所以 . 因为 ,所以 ,即 . 因为 平面 ,且 ,所以 平面 . (2) 取棱 的中点 ,连接 ,易证 两两垂直, 故以 为原点,分别以 的方向为 轴的正方向,建立空间直角坐标系. 设 ,则 , 故 , 所以 , 设平面 的法向量为 ,则 , 资料整理【淘宝店铺:向阳百分百】令 ,得 . 平面 的一个法向量为 ,设面 与面 所成的锐二面角为 , 则 ,整理得 ,解得 (舍去). 故存在实数 ,使得面 与面 所成锐二面角的余弦值是 . 8.(2023·天津和平·统考三模)如图,四棱台 中,上、下底面均是正方形,且侧面是全等 的等腰梯形, , 分别为 的中点,上下底面中心的连线 垂直于上下底面,且 与侧棱所在直线所成的角为 . (1)求证: ∥平面 ; (2)求点 到平面 的距离; (3)边 上是否存在点 ,使得直线 与平面 所成的角的正弦值为 ,若存在,求出线段 的长;若不存在,请说明理由 【答案】(1)详见解析; (2) ; 资料整理【淘宝店铺:向阳百分百】(3)存在点 ,此时 . 【分析】(1)建立空间直角坐标系后,用直线的方向向量和平面的法向量垂直,即可证明线面平行; (2)建立空间直角坐标系后,用点到平面的距离公式即可求解; (3)假设存在,列出方程求解即可. 【详解】(1)证明:因为 平面 ,以点 为坐标原点, 的方向分别为 轴, 轴, 轴的正方向,建立如图所示的空间直角坐标系. 因为侧棱所在的直线与上下底面中心的连线 所成的角为 ,则 , , , , , , 所以 , , , 设平面 的一个法向量为 , 则 , 令 ,则 , 因为 , 所以 ,所以 , 又因为 平面 , 所以 ∥平面 ; 资料整理【淘宝店铺:向阳百分百】(2)解:由(1)知, , 所以点 到平面 的距离为 ; (3)解:假设边 上存在点 满足条件, , 则 , 设直线 与平面 所成角为 , 由题意可得 , 化简得 ,则 或 (舍去), 即存在点 符合题意,此时 . 9.(2023·天津·校联考一模)已知底面 是正方形, 平面 , , ,点 、 分别为线段 、 的中点. (1)求证: 平面 ; (2)求平面 与平面 夹角的余弦值; (3)线段 上是否存在点 ,使得直线 与平面 所成角的正弦值是 ,若存在求出 的值, 若不存在,说明理由. 资料整理【淘宝店铺:向阳百分百】【答案】(1)证明见解析 (2) (3)存在; 或 【分析】(1)法一:分别取 、 的中点 、 ,连接 、 、 ,证明出平面 平面 ,利用面面平行的性质可证得结论成立; 法二:以点 为坐标原点,以 、 、 所在直线分别为 、 、 轴建立空间直角坐标系,利用空间 向量法可证得结论成立; (2)利用空间向量法可求得平面 与平面 夹角的余弦值; (3)假设存在点 ,使得 ,其中 ,求出向量 的坐标,利用空间向量法可得出关 于 的方程,解之即可. 【详解】(1)证明:法一:分别取 、 的中点 、 ,连接 、 、 , 由题意可知点 、 分别为线段 、 的中点.所以 , , 因为 ,所以 ,所以点 、 、 、 四点共面, 因为 、 分别为 、 的中点,所以 , 因为 平面 , 平面 ,所以 平面 , 又因为 , 平面 , 平面 ,所以 平面 , 又因为 , 、 平面 ,所以平面 平面 , 因为 平面 ,所以 平面 ; 法二:因为 为正方形,且 平面 ,所以 、 、 两两互相垂直, 资料整理【淘宝店铺:向阳百分百】以点 为坐标原点,以 、 、 所在直线分别为 、 、 轴建立如下图所示的空间直角坐标系, 则 、 、 、 、 、 , 所以 ,易知平面 的一个法向量 , 所以 ,所以 , 又因为 平面 ,所以 平面 . (2)解:设平面 的法向量 , , , 则 ,取 ,可得 , 所以平面 的一个法向量为 , 易知平面 的一个法向量 ,设平面 与平面 夹角为 , 则 , 所以平面 与平面 夹角余弦值为 ; (3)解:假设存在点 ,使得 ,其中 , 则 , 由(2)得平面 的一个法向量为 , 资料整理【淘宝店铺:向阳百分百】由题意可得 , 整理可得 .即 , 因为 ,解得 或 ,所以, 或 . 10.(2023·河北保定·统考一模)如图,平行六面体 的所有棱长均为 ,底面 为 正方形, ,点 为 的中点,点 为 的中点,动点 在平面 内. (1)若 为 中点,求证: ; (2)若 平面 ,求线段 长度的最小值. 【答案】(1)证明见解析 (2) 【分析】(1)由条件先求 , , ,再证明 ,由此完成证明; (2)建立空间直角坐标系,设 ,求平面 的法向量和直线 的方向向量,由条件列方程确 定 的关系,再求 的最小值即可. 【详解】(1)由已知 , , , , 所以 , 资料整理【淘宝店铺:向阳百分百】, , 因为 为 中点, 所以 , 又 , 所以 , 所以 所以 (2)连接 , , ∵ , ∴ , ∵ , ∴ , 连接 , 由正方形的性质可得 三点共线, 为 的中点, 所以 , 由第一问 , 资料整理【淘宝店铺:向阳百分百】平面 , , 所以 平面 , 以 为坐标原点, 所在直线为 轴, 轴, 轴建立空间直角坐标系 、 、 、 、 , 设平面 法向量为 , , 则 ,所以 , ∴ , 令 ,则 , . ∴ 为平面 的一个法向量, 因为点 在平面 内, 故设点 的坐标为 , 因为 , 所以 , ,则 , 所以 , 所以当 时, 有最小值,最小值为 . 资料整理【淘宝店铺:向阳百分百】11.(2023·黑龙江齐齐哈尔·统考二模)如图,四棱锥 中, 平面 , , , , , 为线段 上一点,点 在边 上且 . (1)若 为 的中点,求四面体 的体积; (2)在线段 上是否存在点 ,使得 与平面 所成角的余弦值是 ?若存在,求出 的长;若不 存在,请说明理由. 【答案】(1) (2)存在, 【分析】(1)根据题意,以 为原点, 所在直线分别为 轴建立空间直角坐标系 ,进而利用坐标法求得点 到平面 的距离为 ,再计算体积即可; (2)设点 坐标为 ,根据 得 ,进而根据线面角的向量方法求解即可. 【详解】(1)解:由题意可得 两两互相垂直, 所以可以以 为原点, 所在直线分别为 轴建立空间直角坐标系 ,如图所示: 资料整理【淘宝店铺:向阳百分百】∴ , , , , ∴ , , . 设平面 的一个法向量 , ,不妨令y=1,∴ . 设点 到平面 的距离为 ,则 , 又因为 , ,∴ 的面积为 . ∴四面体 的体积为 . (2)设点 坐标为 ,∴ , . ∵ ,即 ,∴ , ∴ ,∴ . 设 , , 资料整理【淘宝店铺:向阳百分百】∴ . 设平面 的一个法向量 , ∴ ,即 ,令 得 ∴ , ∴ , ∵ 与面 所成角的余弦值是 ,正弦值为 . ∴ ,整理得 , ∴ , (舍去). ∴存在满足条件的点 , 且 . 12.(2023·山东济宁·统考二模)如图,圆柱的轴截面 是边长为6的正方形,下底面圆的一条弦 交 于点 ,其中 . (1)证明:平面 平面 ; (2)判断上底面圆周上是否存在点 ,使得二面角 的余弦值为 .若存在,求 的长;若不存在, 请说明理由. 资料整理【淘宝店铺:向阳百分百】【答案】(1)证明见解析 (2)存在点 , 的长为 . 【分析】(1)将面面垂直转化为 平面 ,根据圆和圆柱的性质可证; (2)建立空间直角坐标系,利用向量可解. 【详解】(1)证明:由题意可知:在下底面圆中, 为直径. 因为 所以 为弦 的中点,且 . 因为 平面 . 所以 平面 . 因为 平面 . 所以平面 平面 . (2) 设平面 交圆柱上底面于 ,交 于点 . 则二面角 的大小就是二面角 的大小. 分别以下底面垂直于 的直线、 为 轴建立空间直角坐标系如图所示. 因为 ,底面圆半径为3,所以 . 则 ,设 . 所以 , .设平面 的一个法向量为 . 由 得: 即: 资料整理【淘宝店铺:向阳百分百】令 则 . 设平面 的一个法向量为 . 由 得: 即: 令 可得 所以 化简得 ,解得: 或 (舍). 即: .又因为 平面 平面 ,平面 平面 所以 ,且 为 的中点. 所以 . 所以存在点 ,使得二面角 的余弦值为 的长为 . 13.(2023·山东泰安·统考二模)如图,在三棱锥 中,平面 平面 , 为等边三角 形,D,E分别为 , 的中点, , , . (1)求证: 平面 ; (2)在线段 上是否存在点F,使得平面 与平面 的夹角为 ,若存在,求出 的长;若不存在, 请说明理由. 【答案】(1)证明见解析 资料整理【淘宝店铺:向阳百分百】(2)存在, 【分析】(1)先证明 ,结合 ,由线面垂直判定定理和定义证明 ,取 中点 G,由面面垂直性质定理证明 平面 ,由此可得 ,最后利用线面垂直判定定理证明 平面 ; 【详解】(1) 为等边三角形,D为 中点, , 又 , , , 平面 , 平面 , 平面 , , 取 中点G,连接 , 为等边三角形, , 平面 平面 ,平面 平面 , 平面 . 平面 , , 与 相交, , 平面 , 平面 ; (2)以 为坐标原点, , 所在直线为x轴,y轴,过C且与 平行的直线为z轴, 建立如图所示的空间直角坐标系,则 , , , , , 资料整理【淘宝店铺:向阳百分百】设 ,则 , , 设平面 的一个法向量为 , 则 ,所以 , 取 ,可得 , 为平面 的一个法向量, 取平面 的一个法向量为 , 则 , 解得 ,此时 , 在线段 上存在点F使得平面 与平面 的夹角为 ,且 . 14.(2023·福建龙岩·统考二模)三棱柱 中, , ,侧面 为矩形, ,三棱锥 的体积为 . 资料整理【淘宝店铺:向阳百分百】(1)求侧棱 的长; (2)侧棱 上是否存在点 ,使得直线 与平面 所成角的正弦值为 ?若存在,求出线段 的长; 若不存在,请说明理由. 【答案】(1) (2) 【分析】(1)证明 平面 ,结合题目条件,先计算出 的值,然后即可以求得侧棱 的长; (2)建立空间直角坐标系,设未知数 ,结合题目条件,列出方程求解,即可得到本题答案. 【详解】(1)在平面 内过 作 ,垂足为 , 因为侧面 为矩形,所以 , 又 , , 平面 , 所以 平面 , 又 平面 ,所以平面 平面 , 易得 , 面 ,平面 平面 , 所以 平面 , 因为 ,所以 , 因为 , ,所以 ; (2)存在点 满足题意, ,理由如下: 资料整理【淘宝店铺:向阳百分百】如图,以 为坐标原点,以 所在直线分别为 轴建立空间直角坐标系, 则 , 设 ,则 , 故 , , 设平面 的法向量为 则 即 ,令 ,则 , 故平面 的一个法向量 , 设直线 与平面 所成角为 , 则 ,解得 , 故存在点E满足题意,所以 . 资料整理【淘宝店铺:向阳百分百】