当前位置:首页>文档>第30讲机械振动(讲义)(解析版)_4.2025物理总复习_2025年新高考资料_一轮复习_2025年高考物理一轮复习讲练测(新教材新高考)

第30讲机械振动(讲义)(解析版)_4.2025物理总复习_2025年新高考资料_一轮复习_2025年高考物理一轮复习讲练测(新教材新高考)

  • 2026-04-05 19:07:35 2026-03-10 15:33:48

文档预览

第30讲机械振动(讲义)(解析版)_4.2025物理总复习_2025年新高考资料_一轮复习_2025年高考物理一轮复习讲练测(新教材新高考)
第30讲机械振动(讲义)(解析版)_4.2025物理总复习_2025年新高考资料_一轮复习_2025年高考物理一轮复习讲练测(新教材新高考)
第30讲机械振动(讲义)(解析版)_4.2025物理总复习_2025年新高考资料_一轮复习_2025年高考物理一轮复习讲练测(新教材新高考)
第30讲机械振动(讲义)(解析版)_4.2025物理总复习_2025年新高考资料_一轮复习_2025年高考物理一轮复习讲练测(新教材新高考)
第30讲机械振动(讲义)(解析版)_4.2025物理总复习_2025年新高考资料_一轮复习_2025年高考物理一轮复习讲练测(新教材新高考)
第30讲机械振动(讲义)(解析版)_4.2025物理总复习_2025年新高考资料_一轮复习_2025年高考物理一轮复习讲练测(新教材新高考)
第30讲机械振动(讲义)(解析版)_4.2025物理总复习_2025年新高考资料_一轮复习_2025年高考物理一轮复习讲练测(新教材新高考)
第30讲机械振动(讲义)(解析版)_4.2025物理总复习_2025年新高考资料_一轮复习_2025年高考物理一轮复习讲练测(新教材新高考)
第30讲机械振动(讲义)(解析版)_4.2025物理总复习_2025年新高考资料_一轮复习_2025年高考物理一轮复习讲练测(新教材新高考)
第30讲机械振动(讲义)(解析版)_4.2025物理总复习_2025年新高考资料_一轮复习_2025年高考物理一轮复习讲练测(新教材新高考)
第30讲机械振动(讲义)(解析版)_4.2025物理总复习_2025年新高考资料_一轮复习_2025年高考物理一轮复习讲练测(新教材新高考)
第30讲机械振动(讲义)(解析版)_4.2025物理总复习_2025年新高考资料_一轮复习_2025年高考物理一轮复习讲练测(新教材新高考)
第30讲机械振动(讲义)(解析版)_4.2025物理总复习_2025年新高考资料_一轮复习_2025年高考物理一轮复习讲练测(新教材新高考)
第30讲机械振动(讲义)(解析版)_4.2025物理总复习_2025年新高考资料_一轮复习_2025年高考物理一轮复习讲练测(新教材新高考)
第30讲机械振动(讲义)(解析版)_4.2025物理总复习_2025年新高考资料_一轮复习_2025年高考物理一轮复习讲练测(新教材新高考)
第30讲机械振动(讲义)(解析版)_4.2025物理总复习_2025年新高考资料_一轮复习_2025年高考物理一轮复习讲练测(新教材新高考)
第30讲机械振动(讲义)(解析版)_4.2025物理总复习_2025年新高考资料_一轮复习_2025年高考物理一轮复习讲练测(新教材新高考)
第30讲机械振动(讲义)(解析版)_4.2025物理总复习_2025年新高考资料_一轮复习_2025年高考物理一轮复习讲练测(新教材新高考)
第30讲机械振动(讲义)(解析版)_4.2025物理总复习_2025年新高考资料_一轮复习_2025年高考物理一轮复习讲练测(新教材新高考)
第30讲机械振动(讲义)(解析版)_4.2025物理总复习_2025年新高考资料_一轮复习_2025年高考物理一轮复习讲练测(新教材新高考)

文档信息

文档格式
docx
文档大小
1.055 MB
文档页数
20 页
上传时间
2026-03-10 15:33:48

文档内容

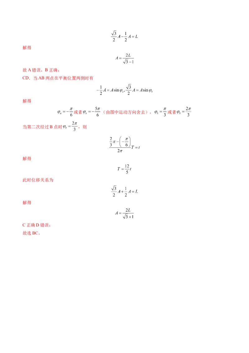
第 30 讲 机械振动 目录 01、考情透视,目标导 航 02、知识导图,思维引航.............................................................................................2 03、考点突破,考法探究.............................................................................................2 考点一 简谐运动的基本特征............................................................................................................3 知识点1.关于简谐运动两个重要概念的理解...................................................................3 知识点2.关于机械运动的两种描述...................................................................................3 知识点3.关于简谐运动的三个特点...................................................................................3 知识点4.简谐运动的周期性与对称性..................................................................................4 考向1.简谐运动基本物理量的分析......................................................................................4 考向2.简谐运动的周期性与对称性......................................................................................5 考点二 简谐运动的公式和图像........................................................................................................6 知识点1.简谐运动的振动方程和图像..................................................................................6 知识点2.由图像可获取的信息..............................................................................................6 考向1 简谐运动的方程.......................................................................................................7 考向2 简谐运动的图像.......................................................................................................8 考点三 简谐运动的两种模型..............................................................................................................9 考向1 弹簧振子模型.........................................................................................................10 考向2 单摆模型.................................................................................................................10 考向3 等效摆长问题.........................................................................................................11 考向4 等效重力加速度问题.............................................................................................11 04、真题练习,命题洞见 ............................................................................................................................12 2024·甘肃·高考物理试题 2024·河北·高考物理试题 考情 2024·北京·高考物理试题 分析 2024·浙江·高考物理试题 2023·辽宁·高考物理试题目标1.知道简谐运动的概念,掌握简谐运动的特征,理解简谐运动的表达式和 复习 图像。 目标 目标2.知道什么是单摆,熟记单摆的周期公式。 目标3.理解受迫振动和共振的概念,了解产生共振的条件。 考点一 简谐运动的基本特征 知识点1.关于简谐运动两个重要概念的理解 平衡位置 物体在振动过程中回复力为零的位置 ①定义:使物体在平衡位置附近做往复运动的力叫回复力。 回复力 ②表达式:回复力F= - k x。负号表示回复力的方向与位移方向始终相 反,回复力的大小与位移的大小成正比。③属于效果力,可以由某一个力提供,也可以由几个力的合力或某个 力的分力提供。 注意:回复力等于做简谐运动的物体指向平衡位置的合外力,而不是 物体受到的合外力 知识点2.关于机械运动的两种描述 表达 ①动力学表达式:F= - k x,其中“-”表示回复力与位移的方向相反 式描 ②运动学表达式:x= A sin( ωt + φ ) ,其中A代表振幅,ω=2πf表示简谐运动 述 振动的快慢,ωt+φ代表简谐运动的相位,φ叫作初相 ①从平衡位置开始计时,振动表达式为x=Asin ωt,图像如图甲所示 图像 描述 ②从最大位移处开始计时,振动表达式为x=Acos ωt,图像如图乙所示 注意:简谐运动的x-t图像是一条正弦或余弦曲线,不是振子的运动轨迹, 振子的运动轨迹是一条线段 知识点3.关于简谐运动的三个特点 受力特点 回复力F= - k x,F(或a)的大小与x的大小成正比,方向相反 靠近平衡位置时,a、F、x都减小,v增大;远离平衡位置时,a、F、x 运动特点 都增大,v减小(填“增大”或“减小”) 对同一个振动系统,振幅越大,能量越大。在运动过程中,动能和势能 能量特点 相互转化,系统的机械能守恒 知识点4.简谐运动的周期性与对称性 做简谐运动的物体的位移、回复力、加速度和速度均随时间做周期性变 周期性 化,变化周期就是简谐运动的周期T;动能和势能也随时间做周期性变化, 其变化周期为 (1)如图所示,做简谐运动的物体经过关于平衡位置O点对称的两点P、P′ (OP=OP′)时,速度的大小、动能、势能相等,相对于平衡位置的位移大 小相等 对称性 (2)物体由P到O所用的时间等于由O到P′所用的时间,即t =t PO OP′ (3)物体往复运动过程中通过同一段路程(如OP段)所用时间相等,即t = OP t PO(4)相隔或(n为正整数)的两个时刻,物体位置关于平衡位置对称,位移、速 度、加速度大小相等,方向相反 考向1.简谐运动基本物理量的分析 1.如图所示,小球在BC之间做简谐运动,当小球位于O点时,弹簧处于原长,在小球从C点运动到O点 的过程中( ) A.动能不断增大,加速度不断减小 B.回复力不断增大,系统机械能守恒 C.弹性势能不断减小,加速度不断增大 D.弹性势能不断增大,加速度不断减小 【答案】 A 【解析】 做简谐运动的小球,从C点到O点的过程中逐渐靠近平衡位置,速度方向指向平衡位置,弹簧 弹力充当回复力,也指向平衡位置,故速度方向与受力方向相同,合外力做正功,动能不断增大;同时由 于偏离平衡位置的位移减小,由回复力公式F=-kx可知,回复力逐渐减小,根据牛顿第二定律可知F= -kx=ma,故加速度不断减小,故A正确;由上述分析可知回复力不断减小,整个系统只有弹簧弹力做功 故系统的机械能守恒,故B错误;在小球从C点到O点的过程中,弹簧形变量逐渐减小,故弹性势能逐渐 减小,同时由上述分析可知,加速度也逐渐减小,故C、D错误。 2.(多选)某鱼漂的示意图如图所示,O、M、N为鱼漂上的三个点。当鱼漂静止时,水面恰好过点O。用 手将鱼漂向下压,使点M到达水面,松手后,鱼漂会上下运动,上升到最高处时,点N到达水面。不考虑 阻力的影响,下列说法正确的是( ) A.鱼漂的运动是简谐运动 B.点O过水面时,鱼漂的速度最大 C.点M到达水面时,鱼漂具有向下的加速度 D.鱼漂由上往下运动时,速度越来越大 【答案】AB 【解析】: 设鱼漂的横截面积为S,O点以下的长度为h。当鱼漂静止时,水位恰好在O点,说明此时浮 力等于重力,即mg=ρgSh。可取O点所在位置为平衡位置,取竖直向下为正,当鱼漂被下压x时,水位在 O点上方x处,此时合力为F =mg-ρgS(h+x)=-ρgSx,同理可得水位在O点下方时也满足此式。因为 合 ρ、g、S都是确定量,所以上述关系式满足简谐运动的条件(F =-kx),鱼漂做的是简谐运动,故A正确; 合 O点是平衡位置,所以O点过水面时鱼漂的速度最大,故B正确;M点到达水面时,鱼漂具有向上的加速 度,故C错误;鱼漂由上往下运动时,可能加速也可能减速,故D错误。考向2.简谐运动的周期性与对称性 3.小球做简谐运动,若从平衡位置O开始计时,经过0.5 s,小球第一次经过P点,又经过0.2 s,小球第二 次经过P点,则再过多长时间该振子第三次经过P点( ) A.1.0 s B.2.4 s C.0.8 s D.2.2 s 【答案】 D 【解析】 若小球从O点开始向指向P点的方向振动,作出示意图如图甲所示 则小球的振动周期为T =(0.5+0.1)×4 s=2.4 s,则该小球再经过时间Δt=T -0.2 s=2.2 s,第三次经过P 1 1 点;若小球从O点开始向背离P点的方向振动,作出示意图如图乙所示 则有0.5 s+0.1 s=T ,小球的振动周期为T =0.8 s,则该小球再经过时间Δt′=T -0.2 s=0.6 s,第三次经 2 2 2 过P点,A、B、C错误,D正确。 4.如图所示,一质点做简谐运动,先后以相同的速度依次通过 M、N两点,历时1 s,质点通过N点后再经 过1 s又第2次通过N点,在这2 s内质点通过的总路程为12 cm。则质点的振动周期和振幅分别为( ) A.3 s、6 cm B.4 s、6 cm C.4 s、9 cm D.2 s、8 cm 【答案】 B 【解析】 简谐运动的质点,先后以同样的速度通过M、N两点,则可判定M、N两点关于平衡位置O点 对称,所以质点由M到O时间与由O到N的时间相等,那么平衡位置O到N点的时间t=0.5 s,因过N点 1 后再经过t=1 s,质点以方向相反、大小相同的速度再次通过N点,则有从N点到最大位移处的时间t = 2 0.5 s,因此,质点振动的周期是T=4(t +t)=4 s。这2 s内质点通过的总路程的一半,即为振幅,所以振 1 2 幅A==6 cm,故选B。 考点二 简谐运动的公式和图像 知识点1.简谐运动的振动方程和图像 (1)从平衡位置开始计时:x=Asin ωt,如图甲所示。 (2)从最大位移处开始计时:x=Acos ωt,如图乙所示。(3)图像反映的是位移随时间的变化规律,随时间的增加而延伸,图像不代表质点运动的轨迹。 知识点2.由图像可获取的信息 (1)振幅A、周期T(或频率f)和初相位φ(如图所示)。 (2)某时刻振动质点离开平衡位置的位移。 (3)某时刻质点速度的大小和方向:曲线上各点切线的斜率的大小和正负分别表示各时刻质点的速度大小和 方向,速度的方向也可根据下一相邻时刻质点的位移的变化来确定。 (4)某时刻质点的回复力和加速度的方向:回复力总是指向平衡位置,回复力和加速度的方向相同。 (5)某段时间内质点的位移、回复力、加速度、速度、动能和势能的变化情况。 3.简谐运动的对称性(如图) (1)相隔Δt=nT(n=1,2,3…)的两个时刻,弹簧振子在同一位置,位移和速度都相同。 (2)相隔Δt=(n+)T(n=0,1,2…)的两个时刻,弹簧振子的位置关于平衡位置对称,位移等大反向(或都为 零),速度也等大反向(或都为零)。 考向1 简谐运动的方程 1.质点A做简谐运动的位移—时间关系式为x =4sin(50t-0.5π) m,质点B做简谐运动的位移—时间关系式 A 为x =4sin(50t+0.3π) m,下列说法正确的是( ) B A.A的相位比B的相位总滞后0.2π B.A、B的振动频率均为 Hz C.t=0时,A的加速度沿负方向最大 D.t= s时,B的加速度最小 【答案】 D 【解析】 A、B的振动频率相同,相位差恒定且为-0.8π,故A的相位比B的相位总滞后0.8π,故A错误; A、B的振动频率均为 Hz= Hz,故B错误;t=0时,A的位移为负向最大,故加速度为正向最大,故C 错误;t= s时,B的位移为0,处在平衡位置,故B的加速度最小,故D正确。2.如图甲所示,轻弹簧上端固定,下端系小球,现使小球在竖直方向上做简谐运动,小球相对平衡位置 的位移随时间t变化的规律如图乙所示,则小球在0~0.5 s内通过的路程为__________ cm,振动的周期为 ________ s,小球的振动方程是y=__________ m。 【答案】:30 1.2 0.2sin 【解析】:由题图乙知小球在0~0.5 s内通过的路程为30 cm,小球振动的周期为1.2 s,小球的振幅为A= 0.2 m,设小球的振动方程为y=Asin=0.2sinm,将t=0,y=0.1 m代入上式解得φ=,则小球的振动方程 是y=0.2sinm。 考向2 简谐运动的图像 3.(多选)一质点做简谐运动的图像如图所示,则( ) A.在t=0.1 s时,该质点的速度最大 B.在t=0.1 s时,该质点具有x轴负方向最大加速度 C.在0.1~0.2 s时间内质点沿x轴负方向做加速度减小的加速运动 D.在0~0.6 s时间内质点运动的路程为100 cm 【答案】 BC 【解析】 在t=0.1 s时,该质点处于正方向最大位移处,速度为零,A错误;据a==-x可知,在t= 0.1 s时,该质点具有x轴负方向最大加速度,B正确;在0.1~0.2 s时间内,质点从正方向最大位移处运动 至平衡位置,即质点沿x轴负方向做加速度减小的加速运动,C正确;在0~0.6 s时间内,质点运动的路 程为6A,即120 cm,D错误。 4.某质点的振动图像如图所示,下列说法正确的是( ) A.1 s和3 s时刻,质点的速度相同 B.1 s到2 s时间内,质点的速度与加速度方向相同C.简谐运动的表达式为y=2sin(0.5πt+1.5π) cm D.简谐运动的表达式为y=2sin(0.5πt+0.5π) cm 【答案】 D 【解析】 y-t图像上某点切线的斜率表示速度;1 s和3 s时刻,质点的速度大小相等,方向相反,故A 错误;1 s到2 s时间内,质点做减速运动,加速度与速度方向相反,故B错误;振幅为A=2 cm,周期为 T=4 s,ω== rad/s=0.5π rad/s,t=0时,y=2 cm,则φ=0.5 π,简谐运动的表达式为y=Asin(ωt+φ)= 2sin(0.5πt+0.5π) cm,故C错误,D正确。 5.(多选)一个质点经过平衡位置O,在A、B间做简谐运动,如图甲所示,它的振动图像如图乙所示,设向 右为正方向,则下列说法中正确的是( ) A.OB=5 cm B.第0.2 s末,质点的速度方向是A→O C.第0.4 s末,质点的加速度方向是A→O D.第0.7 s末,质点位置在O点与A点之间 【答案】 AC 【解析】 由题图乙可知振幅为5 cm,则有OB=OA=5 cm,A正确;0~0.2 s内质点从B向O运动,即 第0.2 s末质点的速度方向是O→A,B错误;第0.4 s末质点运动到A点处,则此时质点的加速度方向是 A→O,C正确;第0.7 s末时质点位置在O与B之间,D错误。 考点三 简谐运动的两种模型 模型 弹簧振子(水平) 单摆 示意图 ①弹簧质量要忽略 ①摆线为不可伸缩的轻细线 简谐运动条件 ②无摩擦力等阻力 ②无空气阻力等阻力 ③在弹簧弹性限度内 ③最大摆角小于等于5° 平衡位置 弹簧处于原长处 最低点 回复力:弹簧的弹力 回复力:摆球重力沿与摆线垂直方向的分 受力特征 提供 力。向心力:摆线的拉力和摆球重力沿摆线方向 分力的合力 周期 与振幅无关 T=2π 弹性势能与动能的相 能量转化 重力势能与动能的相互转化,机械能守恒 互转化,机械能守恒 考向1 弹簧振子模型 1.如图所示,弹簧振子在A、B之间做简谐运动,O为平衡位置,测得A、B间距为6 cm,小球完成30次 全振动所用时间为60 s,则( ) A.该振子振动周期是2 s,振幅是6 cm B.该振子振动频率是2 Hz C.小球完成一次全振动通过的路程是12 cm D.小球过O点时开始计时,3 s内通过的路程为24 cm 【答案】C 【解析】: 由题意可知T= s=2 s,A= cm=3 cm,A错误;频率f=,解得f=0.5 Hz,B错误;小球 完成一次全振动通过的路程为振幅的4倍,即s =4×3 cm=12 cm,C正确;小球在3 s内通过的路程为s 0 =×4A=×4×3 cm=18 cm,D错误。 考向2 单摆模型 2.(多选)图甲是用力传感器对单摆做小角度摆动过程进行测量的装置图,图乙是与力传感器连接的计算机 屏幕所显示的F-t图像,其中F的最大值F =1.02 N,已知摆球质量m=100 g,重力加速度取9.8 m/s2, max π2取9.8,不计摆线质量及空气阻力。下列说法正确的是( ) A.单摆周期为0.8 s B.单摆摆长为1.0 m C.F的最小值F =0.96 N min D.若仅将摆球质量变为200 g,单摆周期不变 【答案】CD 【解析】: 由题图乙可知,单摆周期为T=1.6 s,选项A错误;根据T=2π,可得l==0.64 m,单摆摆 长为0.64 m,选项B错误;摆到最低点时mgl(1-cos θ)=mv2,F -mg=m,可得cos θ=,则F最小值 maxF =mgcos θ=0.96 N,选项C正确;单摆周期与摆球的质量无关,若仅将摆球质量变为 200 g,单摆周期 min 不变,选项D正确。 考向3 等效摆长问题 3.(2024·扬州高三模拟)如图所示,“杆线摆”可以绕着固定轴OO′来回摆动。摆球的运动轨迹被约束在 一个倾斜的平面内,这相当于单摆在光滑斜面上来回摆动。轻杆水平,杆和线长 均 为L,重力加速度为g,摆角很小时,“杆线摆”的周期为( ) A.2π B.2π C.2π D.2π 【答案】A 【解析】: 由于“杆线摆”中摆球绕OO′轴摆动,摆球的运动轨迹被约束在一个倾斜的平面内,则在 摆角很小时,摆球受到的力沿摆球摆动的切线方向的分力提供回复力,如图, “杆线摆”的摆长为l=Lcos 30°=L,摆球沿虚线方向等效重力G′=Gcos 60°=G=mg=mg′,“杆线 摆”的周期为T=2π=2π,故选A。 考向4 等效重力加速度问题 4.如图所示,一倾角为α=30°的光滑绝缘斜面,处于竖直向下的匀强电场中,电场强度E=。现将一长为 l的细线(不可伸长)一端固定,另一端系一质量为m、电荷量为q的带正电小球放在斜面上,小球静止在O 点。将小球拉开倾角θ后由静止释放,小球的运动可视为单摆运动,重力加速度为g。下列说法正确的是( ) A.摆球的摆动周期为T=2π B.摆球的摆动周期为T=2π C.摆球经过平衡位置时合力为零 D.摆球刚释放时的回复力大小F=mg 【答案】B 【解析】: 带正电小球受到的电场力和重力的合力大小为 F′=qE+mg=3mg,电场力和重力的合力沿 斜面方向产生的加速度为a===g,则摆球的摆动周期为T=2π=2π,故A错误,B正确;摆球做单摆运 x 动,摆球经过平衡位置时回复力为零,但合力不为零,故 C错误;摆球刚释放时的回复力大小为 F= F′sin α·sin θ=3mg××sin θ=mgsin θ,故D错误。考点四 受迫振动和共振 知识点1.受迫振动 (1)概念:系统在驱动力作用下的振动。 (2)振动特征:物体做受迫振动达到稳定后,物体振动的频率等于驱动力的频率,与物体的固有频率无关。 知识点2.共振 (1)概念:当驱动力的频率等于物体的固有频率时,物体做受迫振动的振幅达到最大的现象。 (2)共振的条件:驱动力的频率等于物体的固有频率。 (3)共振的特征:共振时振幅最大。 (4)共振曲线(如图所示)。 f=f 时,A=A ,f与f 相差越大,物体做受迫振动的振幅越小。 0 m 0 知识点3.简谐运动、受迫振动和共振的比较 振动 简谐运动 受迫振动 共振 项目 受力情况 受回复力 受驱动力作用 受驱动力作用 振动周 由系统本身性质决定,即 由驱动力的周期和频率决 T =T,f =f 驱 0 驱 0 期、频率 固有周期T 和固有频率f 定,即T=T ,f=f 0 0 驱 驱 振动物体获得的 振动能量 振动系统的机械能不变 由产生驱动力的物体提供 能量最大 机械工作时底座发生的 共振筛、声音的 常见例子 弹簧振子或单摆(θ<5°) 振动 共鸣等 1.如图所示,我爱发明节目《松果纷纷落》中的松果采摘机利用了机械臂抱紧树干,通过采摘振动头振动 而摇动树干,使得松果脱落,则( ) A.工作中,树干的振动频率可能大于采摘振动头的振动频率 B.采摘振动头停止振动,则树干的振动频率逐渐减小 C.采摘振动头振动频率越大,落果效果越好D.对于粗细不同的树干可以调整采摘振动头的频率以达到最佳采摘效果 【答案】 D 【解析】 树干在采摘振动头的振动下做受迫振动,则稳定后,不同粗细树干的振动频率始终与采摘振动 头的振动频率相同,故A错误;采摘振动头停止振动,则树干的振动频率不变,振幅减小,故B错误;当 采摘振动头的振动频率等于树木的固有频率时产生共振,此时树干的振幅最大,落果效果最好,因此采摘 振动头振动频率越大,落果效果不一定越好,故 C错误;对于粗细不同的树干,其固有频率一般不同,可 以调整采摘振动头的频率等于树干的固有频率达到共振,使采摘效果最佳,故D正确。 2.一个单摆做受迫振动,其共振曲线(振幅A与驱动力的频率f的关系)如图所示,则( ) A.此单摆的固有周期约为0.5 s B.此单摆的摆长约为1 m C.若摆长增大,单摆固有频率增大 D.若摆长增大,共振曲线的峰将向右移动 【答案】 B 【解析】 由题图可知,振幅最大时,此单摆的振动频率与固有频率相等,则有f=0.5 Hz,可知此单摆的 固有周期为T==2 s,根据单摆周期公式T=2π,可知此单摆的摆长为l=≈1 m,故A错误,B正确;若摆 长增大,由单摆周期公式T=2π可知,单摆的固有周期增大,则固有频率减小,所以共振曲线的峰将向左 移动,故C、D错误。 1.(2024·北京·高考真题)图甲为用手机和轻弹簧制作的一个振动装置。手机加速度传感器记录了手机在 竖直方向的振动情况,以向上为正方向,得到手机振动过程中加速度a随时间t变化的曲线为正弦曲线, 如图乙所示。下列说法正确的是( )A. 时,弹簧弹力为0 B. 时,手机位于平衡位置上方 C.从 至 ,手机的动能增大 D.a随t变化的关系式为 【答案】D 【详解】A.由题图乙知, 时,手机加速度为0,由牛顿第二定律得弹簧弹力大小为 A错误; B.由题图乙知, 时,手机的加速度为正,则手机位于平衡位置下方,B错误; C.由题图乙知,从 至 ,手机的加速度增大,手机从平衡位置向最大位移处运动,速度减小, 动能减小,C错误; D.由题图乙知 则角频率 则a随t变化的关系式为 D正确。 故选D。 2.(2024·甘肃·高考真题)如图为某单摆的振动图像,重力加速度g取 ,下列说法正确的是 ( ) A.摆长为1.6m,起始时刻速度最大 B.摆长为2.5m,起始时刻速度为零 C.摆长为1.6m,A、C点的速度相同 D.摆长为2.5m,A、B点的速度相同 【答案】C 【详解】由单摆的振动图像可知振动周期为 ,由单摆的周期公式 得摆长为 x-t图像的斜率代表速度,故起始时刻速度为零,且A、C点的速度相同,A、B点的速度大 小相同,方向不同。综上所述,可知C正确,故选C。 3.(2024·浙江·高考真题)如图所示,不可伸长的光滑细线穿过质量为0.1kg的小铁球,两端A、B悬挂在 倾角为 的固定斜杆上,间距为1.5m。小球平衡时,A端细线与杆垂直;当小球受到垂直纸面方向的扰 动做微小摆动时,等效于悬挂点位于小球重垂线与AB交点的单摆,重力加速度 ,则( ) A.摆角变小,周期变大 B.小球摆动周期约为2s C.小球平衡时,A端拉力为 N D.小球平衡时,A端拉力小于B端拉力 【答案】B 【详解】A.根据单摆的周期公式 可知周期与摆角无关,故A错误; CD.同一根绳中,A端拉力等于B端拉力,平衡时对小球受力分析如图 可得 解得 故CD错误; B.根据几何知识可知摆长为 故周期为故B正确。 故选B。 4.(2024·河北·高考真题)如图,一电动机带动轻杆在竖直框架平面内匀速转动,轻杆一端固定在电动机 的转轴上,另一端悬挂一紫外光笔,转动时紫外光始终竖直投射至水平铺开的感光纸上,沿垂直于框架的 方向匀速拖动感光纸,感光纸上就画出了描述光点振动的 图像.已知轻杆在竖直面内长 ,电动机 转速为 .该振动的圆频率和光点在 内通过的路程分别为( ) A. B. C. D. 【答案】C 【详解】紫外光在纸上的投影做的是简谐振动,电动机的转速为 因此角频率 周期为 简谐振动的振幅即为轻杆的长度 ,12.5s通过的路程为 故选C。 5.(2024·辽宁·高考真题)如图(a),将一弹簧振子竖直悬挂,以小球的平衡位置为坐标原点O,竖直 向上为正方向建立x轴。若将小球从弹簧原长处由静止释放,其在地球与某球状天体表面做简谐运动的图 像如(b)所示(不考虑自转影响),设地球、该天体的平均密度分别为ρ 和ρ ,地球半径是该天体半径 1 2 的n倍。 的值为( )A. B. C. D. 【答案】C 【详解】设地球表面的重力加速度为 ,某球体天体表面的重力加速度为 ,弹簧的劲度系数为 ,根据 简谐运动的对称性有 可得 可得 设某球体天体的半径为 ,在星球表面,有 联立可得 故选C。 6.(2024·福建·高考真题)某简谐振动的 图像如图所示,则以下说法正确的是( )A.振幅 B.频率 C. 时速度为0 D. 时加速度方向竖直向下 【答案】B 【详解】AB.根据图像可知,振幅为 ;周期为 则频率为 故A错误,B正确; C.根据图像可知, 时质点处于平衡位置,此时速度最大,故C错误; D.根据图像可知, 时质点处于负向最大位置处,则此时加速度方向竖直向上,故D错误。 故选B。 7.(2024·浙江·高考真题)如图1所示,质量相等的小球和点光源,分别用相同的弹簧竖直悬挂于同一水 平杆上,间距为 ,竖直悬挂的观测屏与小球水平间距为 ,小球和光源做小振幅运动时,在观测屏上可 观测小球影子的运动。以竖直向上为正方向,小球和光源的振动图像如图2所示,则( ) A. 时刻小球向上运动 B. 时刻光源的加速度向上 C. 时刻小球与影子相位差为 D. 时刻影子的位移为 【答案】D 【详解】A.以竖直向上为正方向,根据图2可知, 时刻,小球位于平衡位置,随后位移为负值,且位 移增大,可知, 时刻小球向下运动,故A错误; B.以竖直向上为正方向, 时刻光源的位移为正值,光源振动图像为正弦式,表明其做简谐运动,根据 可知,其加速度方向与位移方向相反,位移方向向上,则加速度方向向下,故B错误; C.根据图2可知,小球与光源的振动步调总是相反,由于影子是光源发出的光被小球遮挡后,在屏上留下的阴影,可知,影子与小球的振动步调总是相同,即 时刻小球与影子相位差为0,故C错误; D.根据图2可知, 时刻,光源位于最低点,小球位于最高点,根据直线传播能够在屏上影子的位置也 处于最高点,影子位于正方向上的最大位移处,根据几何关系有 解得 即 时刻影子的位移为5A,故D正确。 故选D。 8.(2024·海南·高考真题)真空中有两个点电荷,电荷量均为−q(q ≥ 0),固定于相距为2r的P、P 两 1 2 点,O是PP 连线的中点,M点在PP 连线的中垂线上,距离O点为r,N点在PP 连线上,距离O点为 1 2 1 2 1 2 x(x << r),已知静电力常量为k,则下列说法正确的是( ) A.PP 中垂线上电场强度最大的点到O点的距离为 1 2 B.PP 中垂线上电场强度的最大值为 1 2 C.在M点放入一电子,从静止释放,电子的加速度一直减小 D.在N点放入一电子,从静止释放,电子的运动可视为简谐运动 【答案】BCD 【详解】AB.设P 处的点电荷在PP 中垂线上某点A处产生的场强与竖直向下的夹角为θ,则根据场强的 1 1 2 叠加原理可知,A点的合场强为 根据均值不等式可知当 时E有最大值,且最大值为 再根据几何关系可知A点到O点的距离为故A错误,B正确; C.在M点放入一电子,从静止释放,由于 可知电子向上运动的过程中电场力一直减小,则电子的加速度一直减小,故C正确; D.根据等量同种电荷的电场线分布可知,电子运动过程中,O点为平衡位置,可知当发生位移x时,粒 子受到的电场力为 由于x << r,整理后有 在N点放入一电子,从静止释放,电子将以O点为平衡位置做简谐运动,故D正确。 故选BCD。 9.(2023·山东·高考真题)如图所示,沿水平方向做简谐振动的质点,依次通过相距L的A、B两点。已 知质点在A点的位移大小为振幅的一半,B点位移大小是A点的 倍,质点经过A点时开始计时,t时刻 第二次经过B点,该振动的振幅和周期可能是( ) A. B. C. D. 【答案】BC 【详解】AB.当AB两点在平衡位置的同侧时有 可得 ; 或者 因此可知第二次经过B点时 , 解得 此时位移关系为解得 故A错误,B正确; CD.当AB两点在平衡位置两侧时有 解得 或者 (由图中运动方向舍去), 或者 当第二次经过B点时 ,则 解得 此时位移关系为 解得 C正确D错误; 故选BC。