当前位置:首页>文档>2023年高考地理一轮复习(全国版)必修1第3章第1讲课时15 大气的水平运动_9.2025地理总复习_赠品通用版(老高考)复习资料_一轮复习_2023年高考地理一轮复习讲义+课件(全国版)

2023年高考地理一轮复习(全国版)必修1第3章第1讲课时15 大气的水平运动_9.2025地理总复习_赠品通用版(老高考)复习资料_一轮复习_2023年高考地理一轮复习讲义+课件(全国版)

  • 2026-04-06 06:48:34 2026-03-11 17:43:13

文档预览

2023年高考地理一轮复习(全国版)必修1第3章第1讲课时15 大气的水平运动_9.2025地理总复习_赠品通用版(老高考)复习资料_一轮复习_2023年高考地理一轮复习讲义+课件(全国版)
2023年高考地理一轮复习(全国版)必修1第3章第1讲课时15 大气的水平运动_9.2025地理总复习_赠品通用版(老高考)复习资料_一轮复习_2023年高考地理一轮复习讲义+课件(全国版)
2023年高考地理一轮复习(全国版)必修1第3章第1讲课时15 大气的水平运动_9.2025地理总复习_赠品通用版(老高考)复习资料_一轮复习_2023年高考地理一轮复习讲义+课件(全国版)
2023年高考地理一轮复习(全国版)必修1第3章第1讲课时15 大气的水平运动_9.2025地理总复习_赠品通用版(老高考)复习资料_一轮复习_2023年高考地理一轮复习讲义+课件(全国版)
2023年高考地理一轮复习(全国版)必修1第3章第1讲课时15 大气的水平运动_9.2025地理总复习_赠品通用版(老高考)复习资料_一轮复习_2023年高考地理一轮复习讲义+课件(全国版)
2023年高考地理一轮复习(全国版)必修1第3章第1讲课时15 大气的水平运动_9.2025地理总复习_赠品通用版(老高考)复习资料_一轮复习_2023年高考地理一轮复习讲义+课件(全国版)
2023年高考地理一轮复习(全国版)必修1第3章第1讲课时15 大气的水平运动_9.2025地理总复习_赠品通用版(老高考)复习资料_一轮复习_2023年高考地理一轮复习讲义+课件(全国版)
2023年高考地理一轮复习(全国版)必修1第3章第1讲课时15 大气的水平运动_9.2025地理总复习_赠品通用版(老高考)复习资料_一轮复习_2023年高考地理一轮复习讲义+课件(全国版)
2023年高考地理一轮复习(全国版)必修1第3章第1讲课时15 大气的水平运动_9.2025地理总复习_赠品通用版(老高考)复习资料_一轮复习_2023年高考地理一轮复习讲义+课件(全国版)
2023年高考地理一轮复习(全国版)必修1第3章第1讲课时15 大气的水平运动_9.2025地理总复习_赠品通用版(老高考)复习资料_一轮复习_2023年高考地理一轮复习讲义+课件(全国版)
2023年高考地理一轮复习(全国版)必修1第3章第1讲课时15 大气的水平运动_9.2025地理总复习_赠品通用版(老高考)复习资料_一轮复习_2023年高考地理一轮复习讲义+课件(全国版)

文档信息

文档格式
docx
文档大小
1.835 MB
文档页数
11 页
上传时间
2026-03-11 17:43:13

文档内容

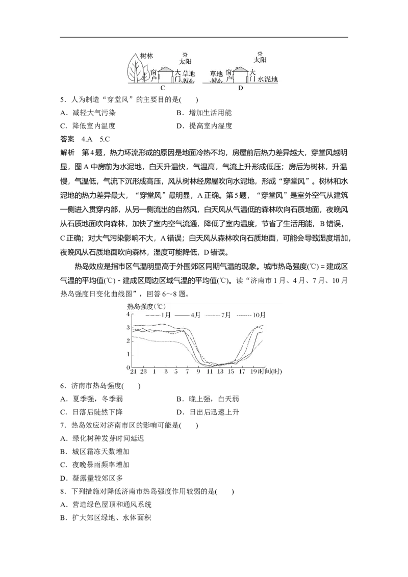
课时 15 大气的水平运动 1.形成风的直接原因:水平气压梯度力。 2.风的受力状况与风向 类型 高空风 近地面风 图示 (北半球) F(水平气压梯度力)和F(地转偏向 F(水平气压梯度力)、F(地转偏向力) 1 2 1 2 受力 力)共同影响 和F(摩擦力)共同影响 3 风向 与等压线平行 与等压线斜交 1.近地面摩擦力越大,风向与等压线之间的夹角愈大;反之,夹角愈小。 2.风压定律 在北半球,背风而立,高气压在右后方,低气压在左前方;在南半球,背风而立,高气压在 左后方,低气压在右前方。 1.风力大小的分析与描述 (1)影响因素及答题术语总结 影响因素 常用术语 水平气压梯度 冬季南北温差大,水平气压梯度力大,风力强;等压线密集,水平气 力大小 压梯度力大,风力大;等压线稀疏,水平气压梯度力小,风力小 距风源地远近 距离亚洲高压(冬季风源地)近,风力大 摩擦力大小 平原、高原地面平坦开阔,阻挡作用弱,风力大;海面上风力大 植被多少 冬季植被少,风力大 山谷口,狭管效应,风力大;地形(河谷)延伸方向与盛行风向基本一 地形因素 致,风力大 (2)等压线图中风力的判定同一等压线图中,等压线密集,风力大;等压线稀疏,风力小,如下图中甲处风力大于乙处。 2.等压线图中风向的绘制 第一步:在等压线图中,按要求画出过该点的切线并作垂直于切线的虚线箭头(由高压指向 低压,但并不一定指向低压中心),表示水平气压梯度力的方向。 第二步:确定南、北半球后,面向水平气压梯度力方向向右(北半球)或向左(南半球)偏转30° ~45°(高空风则偏转90°),画出实线箭头,即为经过该点的风向。如下图所示(北半球近地面 风): 3.风向呈现方式 风向是指风的来向,如东北风是从东北方向吹向西南方向的风。通常呈现风向的方式有两种: (1)风向符号——风矢 风矢由风向杆和风羽组成,风向杆指示风的方向(如图中风向均指向A),风羽横线表示风力 大小,一道短线代表1级风、一道长线代表2级风、一面三角旗帜代表8级风。 (2)风玫瑰图 频率最高的方位,表示该风向出现次数最多,如上图中的东南风出现次数最多,其次是东北 风,南风出现次数最少。(2022·浙江台州市期末)等压线的疏密程度反映了气压梯度的大小,等压线越密,气压梯 度越大。读“某年11月9日6时某区域海平面气压分布图”,完成1~2题。 1.与甲地相比,乙地( ) A.气压较低 B.风力较小 C.气温较低 D.气流上升 2.甲地此时的风向为( ) A.偏北风 B.偏南风 C.偏东风 D.偏西风 答案 1.B 2.A 解析 第1题,从图中等压线可以看出:甲地气压为1 025 hPa,乙地为1 027.5 hPa,A错误; 与甲地相比,乙地等压线稀疏,风力较小,B正确;乙地纬度低,气温较高,C错误;乙位 于高压脊,气流下沉,D错误,选B。第2题,从图中可以看出,甲地偏北方向为高压,再 根据其等压线特征可以判断甲地此时的风向为偏北风,A正确。 读“亚洲局部区域某时刻近地面等压线(单位:hPa)分布图”,回答3~4题。 3.判断此时P地的风向( ) A.西北风 B.东南风 C.西南风 D.东北风 4.甲、乙、丙、丁四地中的气压可能与Q地相等的是( ) A.甲 B.乙 C.丙 D.丁答案 3.A 4.D 解析 第3题,图示P地西侧为高压,东侧为低压,依据同一水平面上风向由高压指向低压, 北半球向右偏,可判断为西北风。第4题,图示等压距为2.5 hPa,则Q地外围等压线数值 可能是1 005 hPa或1 007.5 hPa;再运用“大于大的、小于小的”判读法,可判断Q地数值 可能是1 002.5~1 005 hPa或1 007.5~1 010 hPa;与图中丁地数值可能相等。 图形判读 等压线图的判读 等压线图是等值线图的一种,表示在同一海拔上气压水平分布状况的图。在同一水平面 上,每一条等压线上的气压值相等。等压线图的判读和应用是高考中经常出现的考查要点, 判读的关键是抓住等压线数值特征、分布特征及组合特征。 1.判读气压形式 (1)低压中心(如图中D处):等压线为闭合曲线,中心气压比四周气压低(中心为上升气流)。 (2)高压中心(如图中C处):等压线为闭合曲线,中心气压比四周气压高(中心为下沉气流)。 (3)高压脊(如图中E处):高气压延伸出来的狭长区域,弯曲最大处各点的连线叫脊线。 (4)低压槽(如图中F处):低气压延伸出来的狭长区域,弯曲最大处各点的连线叫槽线。 (5)鞍部(如图中B处):两个低压和两个高压交汇处,其气压值比高压中心低,比低压中心高。 2.判断风向 首先明确高低气压;其次确定水平气压梯度力的方向;最后根据南、北半球画出偏向风(如 图中A处吹偏南风)。 3.判断南、北半球 (1)风向箭头在水平气压梯度力的右侧——北半球。 (2)风向箭头在水平气压梯度力的左侧——南半球。4.判断风力(风速)大小 (1)等压线密集——水平气压梯度力大——风力大(如图中A处)。 (2)等压线稀疏——水平气压梯度力小——风力小(如图中B处)。 5.判断季节 (1)夏季(北半球7月、南半球1月):大陆内部一般为低压。 (2)冬季(北半球1月、南半球7月):大陆内部一般为高压。 6.判断天气状况 (1)由较高纬吹向较低纬的风——寒冷干燥。 (2)由较低纬吹向较高纬的风——温暖湿润。 (3)低气压过境时,多阴雨天气;高气压过境时,多晴朗天气。 (4)低压中心和低压槽控制区多阴雨天气,如图中D处和F处;高压中心和高压脊控制区多 晴朗天气,如图中C处和E处。 下图为“某气象科学家绘制的局部地区某时气压(单位:百帕)分布图”。读图完成1~2 题。 1.图中风速最大的点为( ) A.甲 B.乙 C.丙 D.丁 2.甲、乙、丙、丁四点的风向依次是( ) A.西北、东北、东南、西北 B.东南、西南、东南、西南 C.西北、东北、西北、东南 D.东南、西南、东南、西北 答案 1.A 2.A 解析 第1题,图中显示,在甲、乙、丙、丁四地中,甲地等压线最为密集,水平气压梯度 力最大,因此甲地风速最大,选A。第2题,在等压线分布示意图中,判断一个地区的近地面风向应先判断当地的水平气压梯度力的方向,然后在地转偏向力的作用下向右(北半球)或 向左(南半球)偏转30°~45°即可得到当地风向。甲点水平气压梯度力大致由西指向东,因在 北半球,右偏形成西北风,排除B、D。乙点水平气压梯度力大致由北指向南,因在北半球, 右偏形成东北风;丙点水平气压梯度力大致由南指向北,因在南半球,左偏形成东南风,排 除C。丁点水平气压梯度力大致由北指向南,因在南半球,左偏形成西北风,选A。 (2022·湖南株洲模拟)南极大陆气候酷寒,与大气环流关系密切。下图为“某月南极大陆 海平面等压线分布图(单位:hPa)”。读图完成3~5题。 3.M地气压最高的主要原因是( ) A.风力小,冷空气大量堆积 B.冰层厚,对太阳辐射的反射强 C.海拔高,极夜时间漫长 D.气温低,利于空气下沉 4.图中等压线呈环状分布的主要因素是( ) A.海陆 B.纬度 C.海拔 D.洋流 5.图示月份,风力最大的海域是( ) A.德雷克海峡 B.威德尔海 C.罗斯海 D.别林斯高晋海 答案 3.D 4.B 5.C 解析 第3题,从图中等压线分布分析,M地为极地高压中心。极地高压形成的原因是热力 因素,即纬度高,太阳辐射弱,气温低,空气收缩下沉形成,D项正确。第4题,图中M 地为极地高压中心,位于南极点附近,由于纬度高,气压状况以南极点为中心呈闭合环状分 布,与纬度关系密切,B对。 第5题,罗斯海附近等压线密集,风力大,其他几个地区的 等压线较稀疏,风力较小,选C。 读“北美部分地区某时刻等压线图(单位:hPa)”,完成6~7题。6.图中可能正在吹偏西风的是( ) A.①地 B.②地 C.③地 D.④地 7.与旧金山相比,纽约( ) A.气压更低 B.风力更弱 C.此时受暖气团控制 D.雨雪天气多 答案 6.A 7.B 解析 第6题,近地面风受水平气压梯度力、地转偏向力以及摩擦力的影响,风向与等压线 斜交。图中①地西北为低压中心,风向由高压指向低压,受地转偏向力影响,为偏西风;② 地西部为低压中心,风向为偏东风;③地东南部为高压中心,风向为偏南风;④地西北为高 压中心,风向为偏北风,A正确。第7题,图中旧金山处于冷锋控制下,多雨雪天气;纽约 受单一冷气团影响,天气较晴朗;由图中等压线数值可知,旧金山气压低于纽约;旧金山地 区等压线较纽约地区密集,风力较纽约强,故B正确。 8.读“北半球某地面水平气压分布图”,回答下列问题。(10分) (1)就气压状况而言,图中A、B、C中,低压中心是____;高压中心是____。(2分) (2)若该地气压只受温度影响,则A、B、C中地面温度最高的是____。(2分) (3)下列图中能正确表示A、B高空等压面状况的示意图是( )(2分)(4)在图中甲处画出风向及其所受的力。(4分) 答案 (1)B A、C (2)B (3)B (4) 解析 (1)从图中等压线的数值可以判断,图中 A、B、C处等压线为闭合曲线,A大于1 040,B小于990,C大于1 030,故低压中心是B,高压中心是A、C。(2)若该地气压只受温 度影响,则气压低温度高,气压高温度低,因此 A、B、C中地面温度最高的应为气压最低 的B地。(3)A处近地面为高气压,垂直方向上气流下沉,高空气压降低;B处近地面为低 气压,垂直方向上气流上升,高空气压上升;又因近地面气压大于高空,则近地面A、B及 两地分别对应的高空A′、B′四地的气压值P 、P 、P ′、P ′的大小顺序是P >P > A B A B A B P ′>P ′;因此可知高空等压面A′下凹,B′上凸,故图B正确。(4)由等压线的数值可 B A 以判断,A、C为高压中心,B为低压中心;具体甲的风向是由高气压流向低气压,北半球 向右偏转;又因为属于近地面,故风的形成受三个力(水平气压梯度力、地转偏向力、地面 摩擦力)影响,最终与等压线成一夹角。 课时精练 (2022·陕西宝鸡市模拟)气流由陆面经湖面时,速度会持续加快。“大湖效应”指的是冷 空气遇到大面积未结冰的水面(通常是湖泊)从中得到水蒸气和热能,然后在向风的湖岸形成 降水的现象,通常是以雪的形式出现。下图示意北半球某锋面系统过境某大湖后的风速等值 线分布(单位:米/秒)状况。读图完成1~3题。1.乙、丁两处风速不同的主导因素是( ) A.水平气压梯度力 B.水汽多少 C.纬度 D.下垫面摩擦力 2.戊线的数值是( ) A.18 B.19 C.20 D.21 3.降水概率最大的地点位于( ) A.甲处 B.乙处 C.丙处 D.丁处 答案 1.D 2.C 3.B 解析 第1题,从材料中可知,气流由陆面经湖面时,速度会持续加快,所以,陆地和湖面 的摩擦力大小不同会导致风速的变化,由图中可知,乙处风速最快,乙、丁两处风速不同的 主导因素是下垫面摩擦力的大小,D正确;图中看不出水平气压梯度力的差异,A错误;风 速与水汽含量、纬度无关,B、C错误。第2题,根据等值线的分布规律可知,戊线数值可 能是19或20,结合上题分析可知,湖面的风速较快,因此戊线内部是高值中心,故戊线的 数值应该是20,故选C。第3题,从图中可知,乙处风速最快,由此可知,该锋面的移动方 向是由西北向东南,该锋面经过湖面,带来大量的水汽,乙处位于该锋面的向风岸,降水丰 富,B正确。 (2022·广东省汕头市达濠华侨中学期末)某同学在研究“小区宜居环境”问题时了解到: 门、窗都敞开一般会有“穿堂风”流经房屋内。 “穿堂风”是气象学中一种空气流动的现 象,是流动于建筑物内部空间的风。我国许多地区民居设计都充分考虑了“穿堂风”。据此 完成4~5题。 4.从热力环流的原理判断,下图中“穿堂风”现象最显著的是( )5.人为制造“穿堂风”的主要目的是( ) A.减轻大气污染 B.增加生活用能 C.降低室内温度 D.提高室内湿度 答案 4.A 5.C 解析 第4题,热力环流形成的原因是地面冷热不均,房屋前后热力差异越大,穿堂风越明 显,图A中房前为水泥地,白天升温快,气温高,气流上升形成低压;房后为树林,升温 慢,气温低,气流下沉形成高压,风从树林经房屋吹向水泥地,形成“穿堂风”。树林和水 泥地的热力差异最大,“穿堂风”最明显,A正确。第5题,“穿堂风”是室外空气从建筑 一侧进入贯穿内部,从另一侧流出的自然风,白天风从气温低的森林吹向石质地面,夜晚风 从石质地面吹向森林,加快了室内空气流通,降低了室内温度,节省了生活用能,B错误, C正确;对大气污染影响不大,A错误;白天风从森林吹向石质地面,可能会导致湿度增加, 夜晚风从石质地面吹向森林,湿度可能降低,D错误。 热岛效应是指市区气温明显高于外围郊区同期气温的现象。城市热岛强度(℃)=建成区 气温的平均值(℃)-建成区周边区域气温的平均值(℃)。读“济南市1月、4月、7月、10月 热岛强度日变化曲线图”,回答6~8题。 6.济南市热岛强度( ) A.夏季强,冬季弱 B.晚上强,白天弱 C.日落后陡然下降 D.日出后迅速上升 7.热岛效应对济南市区的影响可能是( ) A.绿化树种发芽时间延迟 B.城区霜冻天数增加 C.夜晚暴雨频率增加 D.凝露量较郊区多 8.下列措施对降低济南市热岛强度作用较弱的是( ) A.营造绿色屋顶和通风系统 B.扩大郊区绿地、水体面积C.推广煤改气、煤改电工程 D.控制城区人口与建筑物密度 答案 6.B 7.C 8.B 解析 第6题,读图分析可知,济南市热岛强度冬季强,夏季弱,A错误;晚上强,白天弱, B正确;日落之后陡然升高,C错误;日出后迅速下降,D错误。第7题,热岛效应使济南 市的平均温度升高,绿化树种的发芽时间提前,A错误;城区霜冻天数减少,B错误;夜晚 热岛强度更大,上升气流更为旺盛,暴雨频率增加,C正确;凝露量较郊区少,D错误。第 8题,城市热岛效应产生的原因包括城市人口和经济活动集中,排放的人为热量多;建筑物 高大密集,热量不易散失;绿地面积减少,对温度的调节作用减弱等。营造绿色屋顶和通风 系统,有助于降低城市气温,加快城市散热,A不符合题意;扩大郊区绿地、水体面积对降 低城市热岛强度作用较弱,B符合题意;推广煤改气、煤改电工程,有助于减少温室气体的 排放,降低大气的保温作用,C不符合题意;控制城区人口与建筑物密度,有助于减少城市 人为热量的排放,加快城市散热,D不符合题意。 9.(2022·北京平谷区模拟)某校中学生赴我国某大型水库进行野外实习,主要考察地形及水 库附近的湖岸风和山谷风。下图为8月16日15时该水库附近气温分布图。读图,回答下列 问题。(12分) (1)概述图示区域主要地形特征。(6分) (2)绘制此时水库与P点的湖岸风的示意图。(4分) (3)通过观测发现,相对于南岸,北岸风力较大,说明原因。(2分) 答案 (1)中部多谷地平原,地势相对较平坦;东部、西北部多山地,地势起伏较大。 (2)如下图: (3)北岸等温线更密集,水平气压梯度力更大,风力更大。