当前位置:首页>文档>2025届高中地理人教版一轮复习导学案:第一章地球与地图第2课时地图与等高线地形剖面图_9.2025地理总复习_2025年新高考资料_一轮复习

2025届高中地理人教版一轮复习导学案:第一章地球与地图第2课时地图与等高线地形剖面图_9.2025地理总复习_2025年新高考资料_一轮复习

  • 2026-04-15 20:35:55 2026-03-12 02:43:02

文档预览

2025届高中地理人教版一轮复习导学案:第一章地球与地图第2课时地图与等高线地形剖面图_9.2025地理总复习_2025年新高考资料_一轮复习
2025届高中地理人教版一轮复习导学案:第一章地球与地图第2课时地图与等高线地形剖面图_9.2025地理总复习_2025年新高考资料_一轮复习
2025届高中地理人教版一轮复习导学案:第一章地球与地图第2课时地图与等高线地形剖面图_9.2025地理总复习_2025年新高考资料_一轮复习
2025届高中地理人教版一轮复习导学案:第一章地球与地图第2课时地图与等高线地形剖面图_9.2025地理总复习_2025年新高考资料_一轮复习
2025届高中地理人教版一轮复习导学案:第一章地球与地图第2课时地图与等高线地形剖面图_9.2025地理总复习_2025年新高考资料_一轮复习
2025届高中地理人教版一轮复习导学案:第一章地球与地图第2课时地图与等高线地形剖面图_9.2025地理总复习_2025年新高考资料_一轮复习
2025届高中地理人教版一轮复习导学案:第一章地球与地图第2课时地图与等高线地形剖面图_9.2025地理总复习_2025年新高考资料_一轮复习
2025届高中地理人教版一轮复习导学案:第一章地球与地图第2课时地图与等高线地形剖面图_9.2025地理总复习_2025年新高考资料_一轮复习
2025届高中地理人教版一轮复习导学案:第一章地球与地图第2课时地图与等高线地形剖面图_9.2025地理总复习_2025年新高考资料_一轮复习
2025届高中地理人教版一轮复习导学案:第一章地球与地图第2课时地图与等高线地形剖面图_9.2025地理总复习_2025年新高考资料_一轮复习
2025届高中地理人教版一轮复习导学案:第一章地球与地图第2课时地图与等高线地形剖面图_9.2025地理总复习_2025年新高考资料_一轮复习
2025届高中地理人教版一轮复习导学案:第一章地球与地图第2课时地图与等高线地形剖面图_9.2025地理总复习_2025年新高考资料_一轮复习
2025届高中地理人教版一轮复习导学案:第一章地球与地图第2课时地图与等高线地形剖面图_9.2025地理总复习_2025年新高考资料_一轮复习

文档信息

文档格式
docx
文档大小
1.872 MB
文档页数
13 页
上传时间
2026-03-12 02:43:02

文档内容

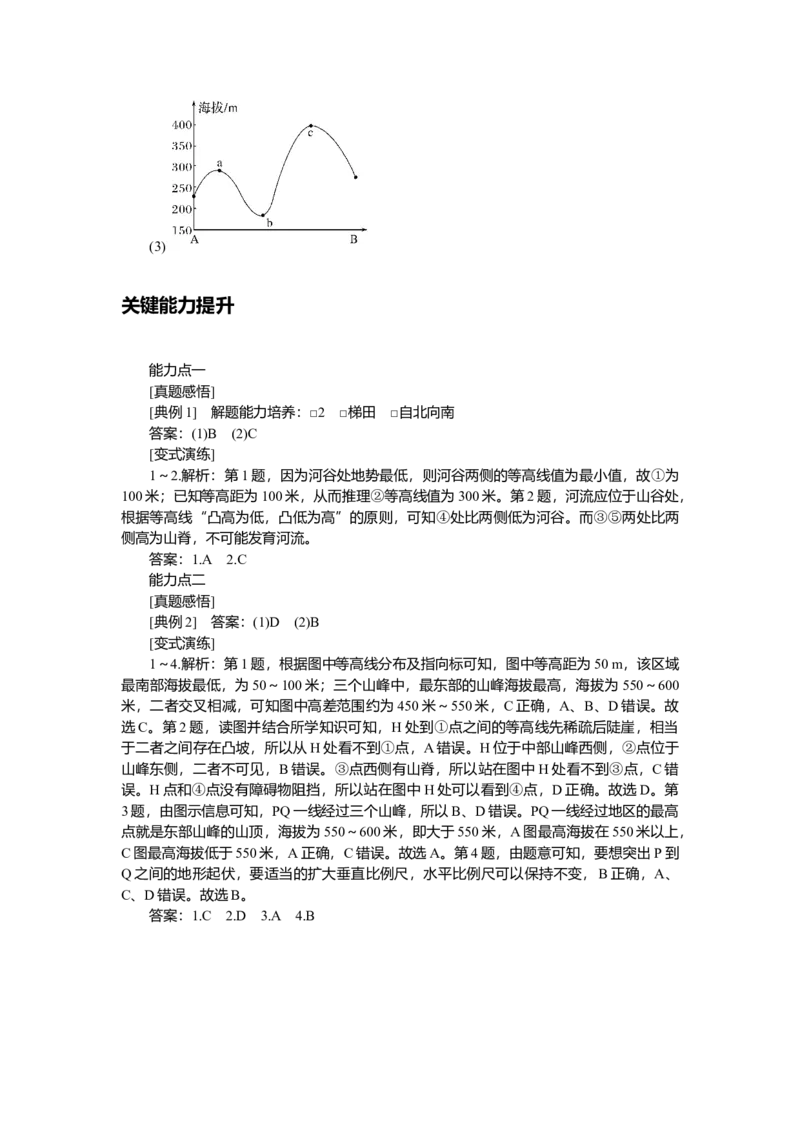
第 2 课时 地图与等高线地形剖面图 学习目标 1.学会地图上判断方向的方法,理解比例尺的性质,掌握比例尺的应用。 2.利用区域认知方法掌握等高线的主要特点,能够正确判读等高线地形图。 3.掌握在等高线图中绘制和判读地形剖面图的方法技巧。 必备知识梳理 一、地图三要素 1.认识比例尺、图例和注记并判断方向 (1)图甲的定向方法是____________________;图乙的定向方法是________________; 图丙的定向方法是________________。 (2)甲、乙两图的比例尺较大的是________。 (3)图甲中,A地位于B地的________方位,B地大致位于C地的________方位。图乙 中河流流向大致为________。图丙中,F地位于E地的________方位,F地位于D地的 ________方位。 [特别提醒] 比例尺的换算在进行比例尺、图上距离、实地距离之间的换算时,应注意:①比例尺是一个比值, 没有单位;②一般情况下,图上距离的单位为“厘米”,实地距离的单位是“千米”,千 米换算成厘米时要加五个“0”,厘米换算成千米时要减五个“0”。 2.比例尺的计算 (1)比较比例尺大小的几种方法 ①在图幅相同的情况下,所表示范围越大,地图的比例尺越________。 ②在图幅和图上经纬网格大小相同的情况下,相邻两条经线、纬线度数差值越小,地 图的比例尺越________。 ③同一个地理事物(如某个湖泊)在图中范围越小,则该图的比例尺越________。 ④直接比较比例尺数值的大小,数值大的比例尺________。 (2)比例尺的缩放和图幅变化 比例尺变化 变化后的比例尺 变化后的图幅 放大后的图幅为原来的 将原来比例尺放大到n倍 为原来比例尺的________倍 ________倍 放大后的图幅为原来的 将原来比例尺放大n倍 为原来比例尺的________倍 ________倍 1 1 (1) 2 将原来比例尺缩小到 为原来比例尺的 缩小后的图幅为原来的 n n n 缩小后的图幅为原来的 将原来比例尺缩小 1 为原来比例尺的 ( 1− 1) ( 1) 2 n n 1− n 例:将一幅比例尺为1∶100 000的地图放大1倍,则新图的比例尺为________,如果 保持原来的图示实地范围大小不变,则新图的大小是原图的________倍。 若将一幅比例尺为1∶50 000的地图缩小1/2,则新图的比例尺为________,如果保持 原来的图示实地范围大小不变,则新图的大小是原图的________。见下图。 二、等高线地形图 1.海拔和相对高度 2.等高线地形图 (1)等高线:地图上________相等的各点的连线。 (2)地形的判读该图的地形以________为主。 [规律总结] 等高线基本特征 (1)同线等高。(2)同图等距(等高距相等):相邻两条等高线的数值可能相等,也可能相 差一个等高距。(3)密陡疏缓。(4)凸高为谷。(5)凸低为脊。(6)重叠为崖。 [尝试填绘] [2023·江苏卷,节选]下图为某地地形示意图。据此回答下题。 在图中用给定图例符号标出陡崖位置,并写出判断理由________________。(4分) 三、地形剖面图 1.含义:地形剖面图指沿地表某一直线方向上的垂直剖面图,以显示剖面线上断面 ________状况。 2.读等高线地形图,绘制由A到B的地形剖面图。 (1)读重要控制点:①看海拔:A 点(起点)海拔为________ m,B 点(止点)海拔为 ________ m。 ②看极值:a点海拔为________ m,b点海拔为________ m,c点海拔为________ m。 (2)看地势起伏:从A到B经历了________—________—________—________的过程。 (3)绘制剖面图3.意义:地形剖面图是在等高线地形图的基础上绘制的。它在平整土地,修建渠道, 建筑铁路、公路和其他工程时,可作为计算土石方量的依据。 [指点迷津] 地形剖面图有水平比例尺和垂直比例尺;水平比例尺往往与原图比例尺 一致,垂直比例尺可根据实际情况确定。 【知识体系构建】 关键能力提升 能力点一 等高线地形图的判读 等高线地形图的判读步骤 对于所有等高线地形图来讲,其判读方法具有一致性,一般从以下五个方面判读。 读图 读图内容 分析、解决问题 五方面 读数值 ①区域地势起伏大小 判读区域地形特征,判断坡 范围 ②海拔最大值、最小值 向(迎风坡、背风坡、阳坡、 读延伸 区域等高线整体大致凸出方向 阴坡) 方向 农业:陡坡种水土保持林, 缓坡修梯田 ①坡度陡缓——密陡疏缓 工程建设:为使道路平坦, 读疏密程度 ②坡面凸凹:高疏低密——凸坡,高密低 公路尽量沿等高线修建, 疏——凹坡 “之”字形道路也是为了降 低坡度 判断河流流向:河流流 ①山脊:凸向低处 向与等高线凸出方向相反 ②山谷:凸向高处 导致局部等温线弯曲:山谷 读弯曲状况 ③鞍部:正对的两山峰等高线之间的 地势低,气温较两侧高,等 空白部分 温线凸向温度低的方向;山 脊相反 ①山顶、山峰:中间高四周低 读局部 ②盆地、洼地:四周高中间低 判读局部海拔大小或高度范 闭合 ③表示高度不在正常范围,判读规律: 围或高差等 “大于大的”或“小于小的”[典例1] [上海卷]等高线图可以反映一个地方的地貌特征。下图为某地区等高线(单位: m)图。据此完成(1)~(2)题。 (1)图中主体部分表示的地表景观最可能是( ) A.新月形沙丘 B.山地梯田 C.三角洲平原 D.滨海沙滩 (2)图中河流的流向及河流与水渠的关系是( ) A.河流自南向北流,河流水补给水渠 B.河流自北向南流,河流水补给水渠 C.河流自北向南流,水渠水汇入河流 D.河流自南向北流,水渠水汇入河流 [解题能力培养] [答案] (1) (2) 下图中等高线最大值为500米,最小值为100米,等高距为100米。据此完成1~2题。 1.等高线①和②的海拔分别为( ) A.100米 300米 B.200米 400米C.100米 400米 D.200米 300米 2.图中③④⑤三条河流中画法不正确的有( ) A.0条 B.1条 C.2条 D.3条 能力点二 地形剖面图的绘制与判读 1.不同地形的剖面图 等高线示意图 地形剖面示意图 山 峰 洼 地 山 脊 山 谷 鞍 部 峡 谷 2.地形剖面图的绘制3.通视问题的分析方法 通视问题可通过作地形剖面图来解决。如果过已知两点作的地形剖面图无障碍物(如山 地或山脊)阻挡,则两地可互相通视。常见有以下两种情况: (1)根据坡度陡缓情况。注意“凹形坡”与“凸形坡”的不同。从山顶向四周,等高线 先密后疏,为“凹形坡”,可通视;等高线先疏后密,为“凸形坡”,“凸形坡”容易挡 住人们的视线。(如下图) (2)是否穿越沟谷。如果穿越沟谷,由于后半部分地势会升高,即使地势再降低,也会 因为地形阻挡而无法通视。(如图) [典例2] [江苏卷]下图为某地地形与甲地建筑物布局示意图。读图,完成(1)~(2)题。(1)与乙地相比,将建筑物布局在甲地主要考虑的因素是( ) A.地形 B.水源 C.植被 D.坡向 (2)与甲地地形平整方式相符的剖面图是( ) [解题能力培养] 第(1)题: 第(2)题: [答案] (1) (2) [借题发挥] “三看法”判读地形剖面图 变 式 演 练 读某地等高线地形图,完成1~4题。1.图中高差范围约为( ) A.350米~450米 B.400米~500米 C.450米~550米 D.500米~600米 2.站在图中H处能看到( ) A.①点 B.②点 C.③点 D.④点 3.下面四幅地形剖面图中,能正确反映上图中PQ一线地势起伏状况的是( ) 4.某同学绘制的P到Q的地形剖面图中,地形起伏不明显。为了突出P到Q之间的 地形起伏,绘图时应采用的做法是( ) A.水平比例尺不变,适当缩小垂直比例尺 B.水平比例尺不变,适当扩大垂直比例尺 C.垂直比例尺不变,适当缩小水平比例尺 D.垂直比例尺不变,适当扩大水平比例尺 随堂巩固训练 [2024·山东烟台市高三期初摸底]下图反映了我国某一区域的地理事物分布状况。据此 完成1~2题。1.图中“涌泉镇、⊙”分别表示地图的( ) A.比例尺、图例 B.图例、比例尺 C.图例、注记 D.注记、图例 2.某考古工作队在台州市长5千米、宽3千米的长方形区域内进行作业,最适宜随身 携带地图的比例尺应为( ) A.1∶100 B.1∶100 000 C.1∶5 000 D.1∶500 000 [2024·山东实验中学高三月考]土地下陷速度是指土层平均每年下陷的深度,下图是某 城市土地下陷速度等值线图。据此回答3~4题。 3.若将该图比例尺扩大到原图的4倍,同时保持实际范围不变,则( ) A.新图比例尺为1∶800 000 B.同一地点,土地下陷速度变大 C.新图面积变为原图面积的16倍 D.相邻两条等值线间差值比原图扩大 4.甲区域的面积接近( ) A.1平方千米 B.2平方千米 C.4平方千米 D.8平方千米 下图为“某地区等高线地形图”(单位:米)。读图,完成5~6题。 5.图中“P~Q”一线 ( ) A.经过两个鞍部 B.最低处海拔为30米 C.c地处于谷地之中D.高差最大可达300米 6.在a、b、c、d四地观察( ) A.a地能看到b地 B.b地能看到c地 C.d地能看到c地 D.a地能看到d地 7.[2023·山东卷]阅读图文资料,完成下列要求。 M乡位于我国西南山区,其集镇区由上下两片区组成。上片区主要为居住区,居民多 从事农业活动;下片区为乡政府所在地,居民主要从事联系松散的非农业活动。历史上的 茶马古道从下片区内的河流一级阶地经过。 下图中示意上图中AC一线的地形剖面,在虚线框内将缺失部分补充完整。(3分) 一、 1.比例尺 数字式 注记 图例 指向标 北方 线段式 图上 1厘米代表实地距离 4千米 (1)上北下南,左西右东 指向标定向法 经纬网定向法 (2)乙 (3)西北 正东 自南 向北 东北 西北 2.(1)①小 ②大 ③小 ④大 (2)n n2 (n+1) (n+1)2 1∶50 000 4 1∶100 000 1/4 二、 2.(1)海拔 (2)山脊 山谷 陡崖 鞍部 丘陵 [尝试填绘] 绘图(略) 等高线重叠(重合) 三、 1.地势起伏 2.(1)①200~250 250~300 ②250~300 150~200 350~400 (2)升高 降低 迅速升高 缓慢降低(3) 关键能力提升 能力点一 [真题感悟] [典例1] 解题能力培养:□2 □梯田 □自北向南 答案:(1)B (2)C [变式演练] 1~2.解析:第1题,因为河谷处地势最低,则河谷两侧的等高线值为最小值,故①为 100米;已知等高距为100米,从而推理②等高线值为300米。第2题,河流应位于山谷处, 根据等高线“凸高为低,凸低为高”的原则,可知④处比两侧低为河谷。而③⑤两处比两 侧高为山脊,不可能发育河流。 答案:1.A 2.C 能力点二 [真题感悟] [典例2] 答案:(1)D (2)B [变式演练] 1~4.解析:第1题,根据图中等高线分布及指向标可知,图中等高距为50 m,该区域 最南部海拔最低,为50~100米;三个山峰中,最东部的山峰海拔最高,海拔为550~600 米,二者交叉相减,可知图中高差范围约为450米~550米,C正确,A、B、D错误。故 选C。第2题,读图并结合所学知识可知,H处到①点之间的等高线先稀疏后陡崖,相当 于二者之间存在凸坡,所以从H处看不到①点,A错误。H位于中部山峰西侧,②点位于 山峰东侧,二者不可见,B错误。③点西侧有山脊,所以站在图中H处看不到③点,C错 误。H点和④点没有障碍物阻挡,所以站在图中H处可以看到④点,D正确。故选D。第 3题,由图示信息可知,PQ一线经过三个山峰,所以B、D错误。PQ一线经过地区的最高 点就是东部山峰的山顶,海拔为550~600米,即大于550米,A图最高海拔在550米以上, C图最高海拔低于550米,A正确,C错误。故选A。第4题,由题意可知,要想突出P到 Q之间的地形起伏,要适当的扩大垂直比例尺,水平比例尺可以保持不变,B正确,A、 C、D错误。故选B。 答案:1.C 2.D 3.A 4.B随堂巩固训练 1~2.解析:第1题,由所学知识可知,涌泉镇是地图三要素中的注记,⊙表示地图三 要素中的图例,D正确,A、B、C错误。故选D。第2题,由所学知识可知,1∶100,表 示图上1厘米,代表实际距离1米,根据材料可知,此比例尺太大,A错误。1∶100 000, 表示图上1厘米代表实际距离1 000米,对于施工来说,此比例尺太小,内容太简略,B错 误。1∶5 000,表示图上1厘米代表实际距离50米,根据材料内容,此比例尺最合适,C 正确。1∶500 000,表示图上1厘米代表实际距离5 000米,比例尺太小,内容太简略,不 利于施工,D错误。故选C。 答案:1.D 2.C 3~4.解析:第3题,若将该图比例尺扩大到原图的4倍,新图的长和宽都变为原来的 4倍,因而新图面积变为原来的16倍。第4题,结合图中比例尺可知,图中甲区域的面积 与一个边长为2千米的正方形面积相近,由此甲区域的面积接近4平方千米。 答案:3.C 4.C 5~6.解析:第5题,结合图示等高线分布数据可知,沿“P~Q”一线有一个鞍部;最 低处海拔低于30米;c位于山谷之中;高差最大低于300米。故选C项。第6题,根据通 视条件要求并结合图示信息可知,bc之间为凹形坡,从b地能看到c地。故选B项。 答案:5.C 6.B 7.解析:结合图文材料可知,AC一线经过河床、河漫滩、一级阶地,且应注意剖面 图绘制中三种地貌的横向比例,如河床不宜过宽。如下图答案。 答案: