当前位置:首页>文档>2025年高考地理选择题型满分策略技法6 因果法_9.2025地理总复习_2025年新高考资料_二轮复习_2025年高考地理考前增分特训

2025年高考地理选择题型满分策略技法6 因果法_9.2025地理总复习_2025年新高考资料_二轮复习_2025年高考地理考前增分特训

  • 2026-04-15 22:57:12 2026-03-12 06:14:23

文档预览

2025年高考地理选择题型满分策略技法6 因果法_9.2025地理总复习_2025年新高考资料_二轮复习_2025年高考地理考前增分特训
2025年高考地理选择题型满分策略技法6 因果法_9.2025地理总复习_2025年新高考资料_二轮复习_2025年高考地理考前增分特训
2025年高考地理选择题型满分策略技法6 因果法_9.2025地理总复习_2025年新高考资料_二轮复习_2025年高考地理考前增分特训
2025年高考地理选择题型满分策略技法6 因果法_9.2025地理总复习_2025年新高考资料_二轮复习_2025年高考地理考前增分特训
2025年高考地理选择题型满分策略技法6 因果法_9.2025地理总复习_2025年新高考资料_二轮复习_2025年高考地理考前增分特训
2025年高考地理选择题型满分策略技法6 因果法_9.2025地理总复习_2025年新高考资料_二轮复习_2025年高考地理考前增分特训
2025年高考地理选择题型满分策略技法6 因果法_9.2025地理总复习_2025年新高考资料_二轮复习_2025年高考地理考前增分特训
2025年高考地理选择题型满分策略技法6 因果法_9.2025地理总复习_2025年新高考资料_二轮复习_2025年高考地理考前增分特训
2025年高考地理选择题型满分策略技法6 因果法_9.2025地理总复习_2025年新高考资料_二轮复习_2025年高考地理考前增分特训
2025年高考地理选择题型满分策略技法6 因果法_9.2025地理总复习_2025年新高考资料_二轮复习_2025年高考地理考前增分特训
2025年高考地理选择题型满分策略技法6 因果法_9.2025地理总复习_2025年新高考资料_二轮复习_2025年高考地理考前增分特训

文档信息

文档格式
docx
文档大小
0.565 MB
文档页数
11 页
上传时间
2026-03-12 06:14:23

文档内容

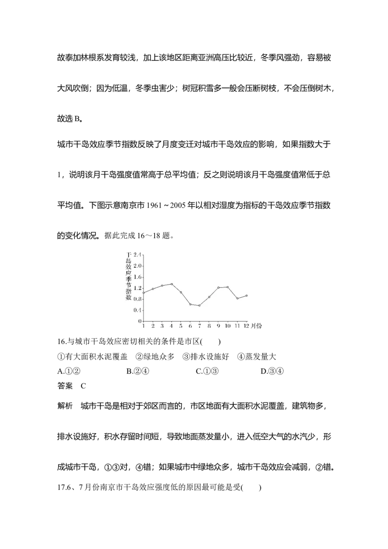
技法 6 因果法 [技法领悟] 地理因果关系是指不同地理事物或地理原理之间存在先后相继、彼 此制约的内在关联。很多地理试题的题干与选项之间互为因果,其中以成因类和 影响类试题最为典型,解答此类试题通常要利用因果关系进行推理分析,其一般 步骤为: 1.明确区分试题中的“因”和“果”。 2.从逻辑角度推理分析“因”和“果”的内在关联。 3.迁移相关地理知识解答试题。 冰川发育受气温、降水、海拔和地形的综合影响。冰川进退塑造了冰斗、U形谷 等侵蚀地貌和侧碛垄等堆积地貌。侧碛垄是冰川退缩后在 U形谷两侧堆积成的 垄状地形。下图为我国某地区末次冰期冰川地貌图,5条U形谷以山顶为中心向 周围延伸。据此完成1~2题。 1.图中①②③三组侧碛垄形成的先后顺序是( ) A.①②③ B.①③② C.③①② D.③②①答案 D 解析 结合材料“侧碛垄是冰川退缩后在 U形谷两侧堆积成的垄状地形”,图 中①②③三组侧碛垄所处的海拔由高到低都位于同一个沟谷的两侧,③堆积的海 拔最低,且从相对位置来看,其位于 U形谷的最外侧,形成的时间最早。①位 于最里面,覆盖在③②之上,说明形成时间最晚,②位于中间,据此进行分析, 形成顺序依次为③②①,D正确。 2.该地区冰川堆积地貌南坡比北坡保存完整的主要原因是( ) A.南坡降水多于北坡 B.南坡气温高于北坡 C.南坡海拔高于北坡 D.南坡坡度小于北坡 答案 D 解析 一般而言坡度和搬运能力影响堆积地貌的形成。根据图中等高线可知,该 地区南部等高线稀疏,沟谷的坡度较缓,冰川的搬运作用较弱,沉积作用较强, 因此堆积物较多,堆积地貌保存完整。而北坡等高线密集,坡度陡,冰川在移动 过程中,搬运作用强,沉积作用弱,使得冰川物质被带到更远的地方,故北坡堆 积地貌较差。据此分析,D正确。 堌堆是黄河下游地区的古代先民在平原上修筑的土堆台地遗址,主要用于居住。 先秦到汉朝均有较多的堌堆,汉朝以后的数量极少。下图示意黄河下游地区堌堆 的空间分布。据此完成3~5题。3.考古发现堌堆主要分布在当时黄河下游的河、湖沿岸地区。古代先民定居于此 主要考虑该地区( ) A.便于农耕 B.水运便利 C.水源充足 D.地形平坦 答案 A 解析 古代先民定居于黄河下游的河、湖沿岸地区,主要是当地地形平坦、水源 充足、水运便利,便于农耕,能获取相对充足的食物,因此古代先民定居于此主 要考虑该地区便于农耕,A符合题意;水运便利、水源充足和地形平坦均只是考 虑因素的单个方面,排除B、C、D。故选A。 4.古代先民建造堌堆主要是由于该地区( ) A.洪水频发 B.战争频繁 C.盐碱严重 D.干旱多发 答案 A 解析 由材料可知,堌堆是人工修建的土堆台地,地势相对较高,其主要分布在 当时黄河下游的河、湖沿岸地区,而黄河中下游位于季风气候区,降水的季节变 化大,水患灾害多,建造堌堆主要是由于黄河水患频发,防止洪水侵袭,A正确。 5.推测汉朝以后堌堆逐渐废弃的主要原因是( ) A.水土流失严重 B.黄河决口改道C.治黄措施改进 D.人口迁移流失 答案 C 解析 黄河下游为平原地形,地势起伏较小,水土流失不严重,排除 A;黄河决 口改道并没有降低堌堆分布区洪水发生的频率,因此不是堌堆逐渐废弃的主要原 因,排除B;随着人们生产力水平的提高,当地治黄措施改进(如加固大堤),洪 水发生频率大大下降,加上堌堆居住的不方便性,使得堌堆逐渐被废弃,C符合 题意;汉朝以后,黄河流域的人口总体上是增加的,排除D。 (2023·江苏无锡模拟)薄膜太阳能电池改变传统太阳能电池以晶体硅为主要材料, 是采用玻璃、塑料陶瓷等廉价材料制成的一种新型电池。下图为我国 H公司发 展历程示意图。据此完成6~8题。 6.2010年H公司转型发展薄膜太阳能电池产业的原因是( ) ①原材料价格高 ②未来市场竞争力强 ③资金雄厚 ④技术积累雄厚 A.①② B.②③ C.③④ D.②④ 答案 B解析 2010年H公司转型当时不被行业看好的薄膜太阳能电池产业,“当时不 被行业看好”表明该产业的市场潜力较大,未来市场竞争力强,故②正确;根据 材料信息,该公司2002年建成世界上最大的私营水电站,因此资金雄厚,故③ 正确。所以选B。 7.2011~2015年,H公司在全国各地建成了多个薄膜太阳能电池生产厂,其主要 目的是( ) A.满足供电需求 B.产品出口海外 C.促进技术研发 D.提高就业率 答案 B 解析 该企业2011年建成国内首个薄膜太阳能电池生产基地,2011年至2015年 在全国各地建成了多个薄膜太阳能电池生产厂,在 2016年完成海外技术并购整 合,因此其主要目的是产品出口海外。故选B。 8.与传统晶体硅太阳能电池相比,薄膜太阳能电池能够助力全球生态城市建设的 主要原因是( ) A.价格优势明显 B.受天气影响小 C.科技含量高 D.劳动力需求少 答案 A 解析 相比于传统晶体硅太阳能电池而言,薄膜太阳能电池采用玻璃、塑料陶瓷 等廉价材料制成,价格更低,故A正确;两类电池都是利用太阳能发电,受天 气影响较大;科技不是“助力全球生态城市建设”的主要原因,重点在于生态;劳动力需求的多少对生态城市建设影响不大。所以选A。 (2023·安徽定远模拟)2019年8月6日,国务院批复设立中国(上海)自由贸易试验 区临港新片区。2019年10月19日,临港新片区管委会发布了促进产业发展若干 政策和集聚发展集成电路、人工智能、生物医药和航空航天四大重点产业的若干 支持措施(简称“1+4”产业政策),着力提升科技创新能力,整体提升区域产业 能级,打造以关键核心技术为突破口的世界级前沿产业集群。下图示意上海港港 区位置迁移及上海临港新片区地理位置。据此完成9~10题。 9.导致上海港不断迁移的原因主要有( ) ①缓解上海城市建设用地紧张 ②满足大型船舶通航及装卸场地要求 ③原有河 港水深有限,不断淤积 ④避开因为水质恶化导致的航行困难 A.①② B.②③ C.③④ D.①④ 答案 B 解析 原有河港水深有限,河流泥沙不断淤积,无法满足大型船舶通航,为满足 大型船舶通航及装卸场地要求,上海港不断迁移,②③正确,B正确;港口用地有限,对缓解上海城市建设用地紧张的作用有限,①错误;水质恶化对航行的影 响较小,④错误。故选B。 10.与上海其他区域相比,临港新片区发展高端制造业的最突出优势是( ) ①享有政策支持优势 ②靠近高等学校的技术优势 ③土地、劳动力资源优势 ④便利的海空运输优势 A.①② B.②③ C.③④ D.①④ 答案 D 解析 国务院批复设立中国(上海)自由贸易试验区临港新片区,享有政策支持优 势,①正确;临近机场,且有深水航道,拥有便利的海空运输优势,④正确;高 等学校多位于市区,与上海其他区域相比,临港新片区并不具有靠近高等学校的 技术优势,土地、劳动力资源不是发展高端制造业的突出要素,②③错误。 (2023·云南曲靖模拟)下图为横断山区三江并流地形剖面图和降水量分布图。读图, 完成11~13题。 11.下列地点降水最丰富的是( ) A.贡山 B.德钦 C.奔子栏 D.香格里拉 答案 A 解析 根据图中的年降水量线可知,四地中贡山降水最丰富,A正确。 12.科研工作者在贡山自然保护区(25°19′N),海拔1 300 m至1 500 m范围内发现 一片新的热带雨林。这一现象形成的原因可能是( )①西南季风 ②东南季风 ③河谷地形 ④盆地地形 ⑤全球变暖 A.①③④ B.①③⑤ C.①④⑤ D.②③⑤ 答案 B 解析 热带雨林一般分布在高温多雨地区,横断山区的降水主要是来自西南季风; 此地区山河相间,河谷地区的西南季风受地形抬升多地形雨,降水多;全球变暖 导致气温升高。①③⑤正确。故选B。 13.某地质爱好者在图示澜沧江河段发现河床垂直剖面上呈现鹅卵石与细沙共存 的现象,原因是该河段( ) A.落差大,流速急,搬运能力强 B.河流流速变化大 C.流量大,河流侵蚀能力强 D.降水少,流速慢,堆积作用显著 答案 B 解析 河流落差大,流速急,搬运能力强,不会导致鹅卵石与细沙共存现象;流 量季节变化大,流速季节变化也大,即流速大时搬运能力强,沉积物颗粒大,流 速小时搬运能力弱,沉积物颗粒小,B正确;流量大,河流侵蚀能力强,与该现 象没有关系;降水少,流速慢,搬运能力弱,沉积物颗粒小,不会大小混杂。故 选B。 (2023·河北唐山模拟)我国最大的一片泰加林分布于大兴安岭北部,主要由树冠呈 塔状、秋季落叶的兴安落叶松构成,林内树木分布稀疏且常见成片的天然倒木。下图示意北半球不同温度和降水条件下发育的主要植被类型。据此完成14~15 题。 14.图中示意泰加林的是( ) A.① B.② C.③ D.④ 答案 C 解析 泰加林属于亚寒带针叶林,图中横坐标表示热量,纵坐标表示降水量,亚 寒带针叶林所处地区应该是热量相对较少,降水量也相对较少的地区,对应的是 图中③。①②年均温较高,不符合条件。降水量最少和热量最小的④是苔原。故 选C。 15.大兴安岭北部泰加林中常见成片的天然倒木,最可能是因为( ) A.生长速度慢,树木低矮 B.根系发育浅,易被大风吹倒 C.冬季虫害多,树干易折 D.林冠积雪多,易被积雪压倒 答案 B 解析 树木低矮不一定会倒,倒主要是因为根系不稳。该地区地下存在冻土发育,故泰加林根系发育较浅,加上该地区距离亚洲高压比较近,冬季风强劲,容易被 大风吹倒;因为低温,冬季虫害少;树冠积雪多一般会压断树枝,不会压倒树木, 故选B。 城市干岛效应季节指数反映了月度变迁对城市干岛效应的影响,如果指数大于 1,说明该月干岛强度值常高于总平均值;反之则说明该月干岛强度值常低于总 平均值。下图示意南京市1961~2005年以相对湿度为指标的干岛效应季节指数 的变化情况。据此完成16~18题。 16.与城市干岛效应密切相关的条件是市区( ) ①有大面积水泥覆盖 ②绿地众多 ③排水设施好 ④蒸发量大 A.①② B.②④ C.①③ D.③④ 答案 C 解析 城市干岛是相对于郊区而言的,市区地面有大面积水泥覆盖,建筑物多, 排水设施好,积水存留时间短,导致地面蒸发量小,进入低空大气的水汽少,形 成城市干岛,①③对,④错;如果城市中绿地众多,城市干岛效应会减弱,②错。 17.6、7月份南京市干岛效应强度低的原因最可能是受( )A.梅雨的影响 B.伏旱的影响 C.河湖的影响 D.地形的影响 答案 A 解析 依据材料信息可知,南京市城市干岛效应强度指数以相对湿度为指标,相 对湿度越大,干岛效应强度越低。6、7月份南京市干岛效应强度低,说明此时 该地相对湿度较大,而此时南京市正值梅雨季节,A对;如果受伏旱的影响,空 气相对湿度应较小,B错;河湖、地形对相对湿度的影响各月相差不大,C、D 错。 18.随着城市的发展,南京市干岛效应的总体变化趋势最可能是( ) A.强度增加,时间延长 B.强度增加,时间缩短 C.强度及时间均趋于稳定 D.强度不变但季节差异会消失 答案 A 解析 随着城市发展,南京城区建筑密度、面积增大,相对湿度减小,则南京市 干岛效应的强度增加,时间延长,A对,B、C错;由于热量、降水会随季节变 化,南京市干岛效应的季节差异不会消失,D错。