当前位置:首页>文档>2025年高考地理选择题型满分策略技法5 图解法_9.2025地理总复习_2025年新高考资料_二轮复习_2025年高考地理考前增分特训

2025年高考地理选择题型满分策略技法5 图解法_9.2025地理总复习_2025年新高考资料_二轮复习_2025年高考地理考前增分特训

  • 2026-03-30 04:50:44 2026-03-12 06:14:07

文档预览

2025年高考地理选择题型满分策略技法5 图解法_9.2025地理总复习_2025年新高考资料_二轮复习_2025年高考地理考前增分特训
2025年高考地理选择题型满分策略技法5 图解法_9.2025地理总复习_2025年新高考资料_二轮复习_2025年高考地理考前增分特训
2025年高考地理选择题型满分策略技法5 图解法_9.2025地理总复习_2025年新高考资料_二轮复习_2025年高考地理考前增分特训
2025年高考地理选择题型满分策略技法5 图解法_9.2025地理总复习_2025年新高考资料_二轮复习_2025年高考地理考前增分特训
2025年高考地理选择题型满分策略技法5 图解法_9.2025地理总复习_2025年新高考资料_二轮复习_2025年高考地理考前增分特训
2025年高考地理选择题型满分策略技法5 图解法_9.2025地理总复习_2025年新高考资料_二轮复习_2025年高考地理考前增分特训
2025年高考地理选择题型满分策略技法5 图解法_9.2025地理总复习_2025年新高考资料_二轮复习_2025年高考地理考前增分特训
2025年高考地理选择题型满分策略技法5 图解法_9.2025地理总复习_2025年新高考资料_二轮复习_2025年高考地理考前增分特训
2025年高考地理选择题型满分策略技法5 图解法_9.2025地理总复习_2025年新高考资料_二轮复习_2025年高考地理考前增分特训

文档信息

文档格式
pdf
文档大小
1.546 MB
文档页数
9 页
上传时间
2026-03-12 06:14:07

文档内容

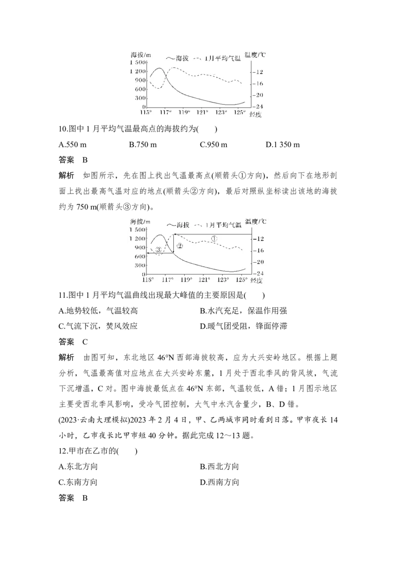
技法 5 图解法 [技法领悟] 图解法能将一些解题中的思考过程用简单的图示显示出来,能帮助 我们在答题时理清思路,避免过失性丢分。尤其在解答地理时空分布、运动规律、 空间想象等方面的试题时,可以大大提高解题的速度和准确率。 图解法主要有两种类型: (1)无图画图题:可根据材料所提供的条件绘制出图形,直观地呈现解题条件或将 条件具体化。 (2)有图画图题:试题给出的图比较抽象,这时候可以在原图中画出辅助线,或者 根据文字说明再画出一个更容易理解、帮助做题的图。 1.当北京时间为4月1日4时30分时,全球仍处于3月31日的地区占全球的( ) A.1/2 以上 B.1/2 以下 C.1/2 D.3/4 答案 A 解析 本题看似简单,但非常容易出错,如果将其转换为图像的形式,则直观得 多,我们可借助下面的简图进行分析: 当北京时间(东八区区时)为4月1日4时30分时,向西的东七区、东六区、东五 区、东四区分别是4月1日的3时30分、2时30分、1时30分、0时30分,东 三区则为3月31日23时30分。图中箭头处为3月31日和4月1日的分界线, 由该箭头向东至180°经线的区域都是4月1日,而箭头以西至180°经线的范围都 是3月31日。选A。 (2023·重庆市育才中学一模)气候变化影响山地林带的上限和下限。下图示意阿尔 泰山西南坡自然带分布。据此完成2~3题。2.该山地森林带的植被类型最可能是( ) A.常绿阔叶林 B.落叶阔叶林 C.硬叶林 D.针叶林 答案 D 解析 读图可知,该地区位于阿尔泰山西南坡,纬度较高,海拔较高,气温较低, 且深居内陆,降水较少,针叶林更能适应这种寒旱环境,D 正确;常绿阔叶林适 应亚热带季风气候区特征,夏季高温多雨,冬季温和少雨,A 错误;落叶阔叶林 适应温带季风气候区特征,夏季高温多雨,冬季寒冷干燥,以及温带海洋气候区 特征,全年温和湿润,B 错误;硬叶林适应地中海气候区特征,夏季炎热干燥, 冬季温和多雨,C 错误。故选D。 3.气候暖湿化期间,该山地森林带( ) A.上限上移,下限上移 B.上限上移,下限下移 C.上限下移,下限上移 D.上限下移,下限上移 答案 B 解析 阿尔泰山西南坡山地森林带上限主要受热量的限制,下限受水分的限制, 气候暖湿化期间,阿尔泰山降水量增加,气温升高,森林带范围扩展,所以上限 上移,下限下移,B 正确。如图所示: 大湖湖泊与湖岸之间存在着局部环流。下图为我国某大湖东岸某时刻实测风速 (m/s)垂直剖面图。读图完成4~5 题。4.形成大湖湖泊与湖岸之间局部环流的根本原因是( ) A.湖、岸地形高低差异 B.湖、岸热力性质差异 C.湖、岸太阳辐射差异 D.湖、岸植被类型差异 答案 B 解析 解答本题时可以根据图示信息偏西风和偏东风,在原图上添加辅助线画出 湖泊与湖岸之间的局部环流(如下图),以帮助理解。据图并结合所学知识分析, 该环流是由于湖泊与湖岸热力性质差异而形成的。选B。 5.图示地区局部环流最明显的时间最可能是( ) A.夏季白天 B.夏季晚上 C.冬季白天 D.冬季晚上 答案 A 解析 湖泊水比热容大,湖岸比热容小,湖泊升温慢、降温也慢。图示地区局部 环流最明显的时间应为湖泊、湖岸温差最大的时间,最可能是夏季白天。选A。 下图示意在黄河三角洲近岸海域的某监测剖面上,不同年份水深2米的位置与监 测起始点的距离。起始点是位于海岸一侧的固定点。读下图,完成6~7题。6.1975~2004年,该剖面近岸海域海底侵蚀、淤积的变化趋势是( ) A.持续淤积 B.先侵蚀、后淤积 C.持续侵蚀 D.先淤积、后侵蚀 答案 D 解析 图中不同年份水深2米的位置与监测起始点的距离的变化,不易理解,可 转换为下图: 距离监测点变近时,海水变深;距离监测点变远时,海水变浅。因此,1975~2004 年,海水先变浅,后变深,即先淤积、后侵蚀。 7.推测1992~1997年期间( ) A.黄河流域年均降水量增加 B.黄河入海年径流量减少 C.黄河流域植被覆盖率降低 D.黄河沿岸农业灌溉面积减少 答案 B 解析 在1992~1997年,海水变深,近岸海域海底侵蚀为主,黄河入海年径流量 减少。 下图为多年的9月23日赤道地区某山地海拔相同的东、西坡太阳辐射强度日变化 统计图(假设东、西坡从山麓到山顶皆为均匀坡)。读图完成8~9题。8.该山地( ) A.位于南美洲 B.位于非洲 C.北京时间16时时太阳高度最大 D.北京时间19时时太阳高度最大 答案 B 解析 从东、西坡太阳辐射强度日变化统计图可知,北京时间12时至24时该山 地有太阳辐射,可知该山地日出时间(地方时6时)为北京时间12时,说明该地位 于30°E,且由材料可知该山地位于赤道地区,故其位于非洲。选B。 9.关于该山地东、西坡坡度的判断正确的是( ) A.东坡坡度大于西坡 B.东坡坡度小于西坡 C.东、西坡坡度相当 D.仅凭材料无法判断 答案 B 解析 东坡先被太阳照射到,其有太阳辐射的时间从北京时间12时至22时共10 个小时;而西坡有太阳辐射的时间从北京时间15时至24时共9个小时,从下图 即可知太阳照射时间长的坡的坡度较小。选B。 (2023·华中师大一附中质检)下图为我国东北地区(局部)沿46°N地形剖面与1月平 均气温分布图。据此完成10~11题。10.图中1月平均气温最高点的海拔约为( ) A.550 m B.750m C.950 m D.1 350m 答案 B 解析 如图所示,先在图上找出气温最高点(顺箭头①方向),然后向下在地形剖 面上找出最高气温对应的地点(顺箭头②方向),最后对照纵坐标读出该地的海拔 约为750m(顺箭头③方向)。 11.图中1月平均气温曲线出现最大峰值的主要原因是( ) A.地势较低,气温较高 B.水汽充足,保温作用强 C.气流下沉,焚风效应 D.暖气团受阻,锋面停滞 答案 C 解析 由图可知,东北地区 46°N 西部海拔较高,应为大兴安岭地区。根据上题 分析,气温最高值对应地点在大兴安岭东麓,1 月处于西北季风的背风坡,气流 下沉增温,C 对。图中海拔最低点在46°N 东部,气温较低,A错;1月图示地区 主要受西北季风影响,受冷气团控制,大气中水汽含量少,B、D错。 (2023·云南大理模拟)2023 年2月4日,甲、乙两城市同时看到日落。甲市夜长14 小时,乙市夜长比甲市短40分钟。据此完成12~13题。 12.甲市在乙市的( ) A.东北方向 B.西北方向 C.东南方向 D.西南方向 答案 B解析 本题单纯用文字来描述地理情境,需要考生认真阅读材料,从中提取出相 应的地理信息来解题,若能将文字转变成能充分体现题意的图像,则可使比较含 糊的地理信息明朗化、简单化,有助于迅速、准确地解答问题。根据“甲、乙两 城市同时看到日落”可知,甲、乙两市都位于昏线上。根据材料信息“甲市夜长 14 小时,乙市夜长比甲市短 40 分钟”推断出,甲、乙两市都是昼短夜长。根据 “2023年2月4日”判断太阳直射点位于南半球,甲、乙两市都位于北半球,画 出如下示意图,从图上可以直观地看出甲市位于乙市的西北方向。 13.这一天,甲市的日出地方时为( ) A.6 时 B.5时 C.8 时 D.7 时 答案 D 解析 这一天,甲市夜长 14 小时,则昼长 10 小时,根据日出时间=12-1/2 昼 长,可计算出该日甲市的日出时间为7时。选D。 自20世纪50年代,荷兰的兰斯塔德地区经过多次空间规划,形成城市在外,郊 区在内的空间特征:该区中间是一个接近 3000 平方千米的“绿心”——乡村地 带;四个核心城市和其他城镇呈环状分布在“绿心”的周围,城镇之间设置不可 侵占的绿地,四个核心城市各具特殊职能,各城市分工明确,通过快速交通系统 连接成具有国际竞争力的城市群,近20年来,该地区城镇扩展程度小,基本维持 稳定的城镇结构体系。据此完成14~16题。 14.兰斯塔德地区通过空间规划,限制了该地区各核心城市的( ) A.服务种类 B.服务等级 C.服务范围 D.服务人口 答案 A 解析 材料中说有一个乡村地带是绿心,那就先画一个绿心出来,画一个圆圈就 可以(方框也可);四个核心城市在周围,那就在四周再画四个圈(或者方框),作为 这四个核心城市;城镇之间有不可侵占的绿地,那就在四个圈之间画上绿地;核心城市各具特殊职能,那就在图上标出来;城市间有快速交通,画上快速路。材 料描述完了,图也就画出来了,如下图: 核心城市各具特殊职能,而且分工明确,所以限制了它们的服务种类。 15.兰斯塔德空间规划的实施,显著促进该地区同类产业活动的( ) A.技术创新 B.空间集聚 C.市场拓展 D.产品升级 答案 B 解析 同类产业活动在同一个城市聚集,不同的产业活动在不同的城市,符合城 市分工明确的布局要求,而且有快速交通相联系,又把它们构成了一个整体,形 成了规模效应。 16.兰斯塔德空间规划的实施,可以( ) A.提高乡村人口比重 B.降低人口密度 C.促进城市竞争 D.优化城乡用地结构 答案 D 解析 绿心加上绿地加上四个核心城市,而且明确说明绿地是不可侵占的,这样 就限制了城市面积的无限制扩大,减少对乡村的侵占,优化了城乡用地结构。 如图中O为南极点,MA为晨昏线,M 为晨昏线与纬线(70°)相切的点,且在经线 OB 上,图中阴影部分表示与全球其他地区日期不同的范围。读图,回答17~18 题。 17.有关该图的说法,正确的是( ) A.MA 是昏线 B.M 点所在经线的经度为180°C.太阳直射30°E D.太阳直射23.5°S 答案 C 解析 解答时,如果把局部图补充完整,恢复其整体——半球光照图,试题的难 度就会大大降低。补充完整后得到的光照图如下所示: 晨昏线与纬线圈切点所在经线的地方时为0时或12时,日期分界线为0时经线与 180°经线,从而可知M 点所在经线为0时经线,OC 为180°经线,则OB 为150°W 经线,太阳直射 30°E 经线;又因为 OB 为 0 时经线,可推知弧 MA 左上部分为 夜半球,故70°S及其以南出现极昼现象,MA为晨线,根据切点的纬度与太阳直 射点的纬度互余,可推出太阳直射20°S。 18.由图示信息可以判断( ) A.A 点的地转偏向力大于M 点 B.O 点此时正值观察极光的好时机 C.该日太阳直射点向南移动 D.该日北京的正午太阳高度为30° 答案 D 解析 纬度越低,地转偏向力越小;此时,O点正值极昼期,不能观察到极光现 象;此时太阳直射20°S,根据图示信息,不能判断太阳直射点的移动方向;该日 北京(40°N)的正午太阳高度根据公式H=90°-|纬度差|(同减异加),将数据代入可 得为30°。