当前位置:首页>文档>2025年高考地理选择题型满分策略技法7 代入法_9.2025地理总复习_2025年新高考资料_二轮复习_2025年高考地理考前增分特训

2025年高考地理选择题型满分策略技法7 代入法_9.2025地理总复习_2025年新高考资料_二轮复习_2025年高考地理考前增分特训

  • 2026-04-15 22:58:46 2026-03-12 06:15:04

文档预览

2025年高考地理选择题型满分策略技法7 代入法_9.2025地理总复习_2025年新高考资料_二轮复习_2025年高考地理考前增分特训
2025年高考地理选择题型满分策略技法7 代入法_9.2025地理总复习_2025年新高考资料_二轮复习_2025年高考地理考前增分特训
2025年高考地理选择题型满分策略技法7 代入法_9.2025地理总复习_2025年新高考资料_二轮复习_2025年高考地理考前增分特训
2025年高考地理选择题型满分策略技法7 代入法_9.2025地理总复习_2025年新高考资料_二轮复习_2025年高考地理考前增分特训
2025年高考地理选择题型满分策略技法7 代入法_9.2025地理总复习_2025年新高考资料_二轮复习_2025年高考地理考前增分特训
2025年高考地理选择题型满分策略技法7 代入法_9.2025地理总复习_2025年新高考资料_二轮复习_2025年高考地理考前增分特训
2025年高考地理选择题型满分策略技法7 代入法_9.2025地理总复习_2025年新高考资料_二轮复习_2025年高考地理考前增分特训
2025年高考地理选择题型满分策略技法7 代入法_9.2025地理总复习_2025年新高考资料_二轮复习_2025年高考地理考前增分特训
2025年高考地理选择题型满分策略技法7 代入法_9.2025地理总复习_2025年新高考资料_二轮复习_2025年高考地理考前增分特训

文档信息

文档格式
pdf
文档大小
1.454 MB
文档页数
9 页
上传时间
2026-03-12 06:15:04

文档内容

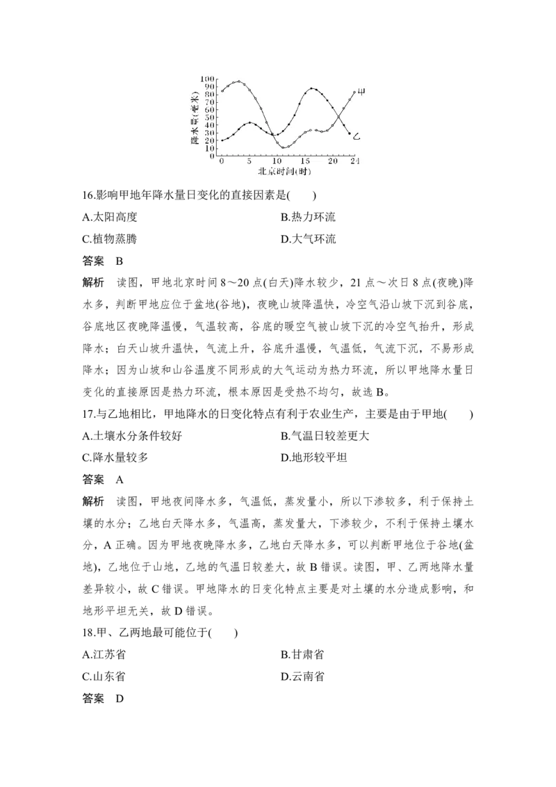
技法 7 代入法 [技法领悟] 所谓“代入法”,就是把选项内容分别代入题干,或把题干内容代 入各个选项,通过分析比较,得出正确结论的一种方法。 (1)代入验证法:代入验证法是解答地理选择题的重要方法之一。做题时,可以选 择比较特殊、自身特点非常明显的选项代入题干,检验选项是否符合题干要求, 如果不符合题干要求,则排除这个选项。依此类推,逐一进行排除,最终确定正 确选项。如一些计算类选择题有时直接解答比较麻烦,就可以采用代入验证法, 即将四个选项代入题目逐一验证,最后得出答案。 (2)尝试填图法:有些选择题,尤其是关于地理关联图的选择题,常常提供几个选 项,要求同学们将各选项内容填到图中合适的位置。此时,我们可运用尝试填图 法解题。解题时,一般将几个选项分别代入图中进行逐一分析、验证,最后确定 符合逻辑关系的选项为正确选项。 (2023·合肥调研检测)下图示意我国亚热带某区域等高线分布。据此完成1~2题。 1.图中P 地海拔(H)为( ) A.100 m<H<200m B.200 m<H<300m C.300 m<H<400m D.400 m<H<500m 答案 C 解析 P 地位于闭合等高线的内部,根据两条等高线之间闭合等高线的数值规律 可知,如果P 地外面闭合等高线数值为200,则P地的海拔为100~200m;如果 P 地外面闭合等高线数值为300,则 P 地的海拔为 300~400m。再根据 P 地为河 流发源地,可判断其海拔高于四周,所以其海拔是300~400m。故选C 项。 2.图中信息显示( ) A.R 河流向为从西北向东南B.③地为山谷 C.①地比②地河流流速快 D.④地为阳坡 答案 B 解析 根据图中等高线分布和指向标可判断R 河大致自北向南流,故A项错误; ③地等高线向海拔高处凸出,说明该地为谷地,故B 项正确;①地比②地等高线 稀疏,说明①地比②地地势平缓,所以①地比②地的河流流速慢,故C 项错误; ④地位于山地北坡,为阴坡,故D项错误。 (2023·云南昆明调研)同一时期海洋上形成的砂岩、页岩、石灰岩在水平方向上是 从浅海到深海依次排列的。在地质时期内,海退是指海岸线向海洋推进,海进是 指海岸线向陆地推进。下图是某海域不同地质时期(Ⅰ→Ⅴ)形成的地质剖面图。 据此完成3~4题。 3.图中地质时期(Ⅰ→Ⅴ),该地海岸线的变化是( ) A.Ⅰ→Ⅲ海退,Ⅲ→Ⅴ海进 B.Ⅰ→Ⅲ海进,Ⅲ→Ⅴ海退 C.Ⅰ→Ⅳ海退,Ⅳ→Ⅴ海进 D.Ⅰ→Ⅳ海进,Ⅳ→Ⅴ海退 答案 B 解析 由材料文字信息可知,砂岩的形成条件是浅海,对应海退;石灰岩的形成 条件是深海,对应海进。代入选项进行验证:Ⅰ→Ⅲ,即砂岩→石灰岩,即浅海 →深海,为海进,A、C 项错;Ⅲ→Ⅴ,即石灰岩→砂岩,即深海→浅海,为海 退,B 项正确。 4.下列能体现石灰岩形成的旅游景观是( ) A.华山悬崖峭壁 B.云南路南石林 C.黄山石猴观海 D.长白山天池 答案 B 解析 石灰岩易形成喀斯特地貌。把题干代入选项进行验证:华山悬崖峭壁是断层形成的,A 项错;云南路南石林是流水溶蚀形成的喀斯特地貌,B 项正确。黄 山石猴是风化作用形成的,C 项错误;长白山天池是火山口湖,D项错误。 如图为黄山“天狗望月”景观,“天狗”是由花岗岩组成,独居峰顶,翘首望月。 读图完成5~6题。 5.“天狗”的岩石类型及形成的地质作用对应于下图中的( ) A.c、① B.a、② C.e、③ D.d、④ 答案 A 解析 根据岩石圈物质的循环过程,运用尝试填图法确定a 为喷出岩,b为岩浆, c 为侵入岩,d为变质岩,e为沉积岩。使用尝试填图法时,要先根据图中已知信 息确定b为岩浆,e 为沉积岩,再根据岩石圈物质的循环过程判定其他内容。“天 狗”为花岗岩,是岩浆岩中的侵入岩,对应图中 c,相应的地质作用为①,即侵 入后冷却凝固作用。A选项正确。 6.将棱角分明的花岗岩,塑造成栩栩如生的“天狗”的主要地质作用是( ) A.流水侵蚀 B.风力侵蚀 C.冰川侵蚀 D.风化作用 答案 D 解析 此岩石位于山顶部位,主要是长期在风力、流水、温度等风化作用下将棱 角分明的花岗岩,塑造成栩栩如生的“天狗”。D正确。 (2023·湖南名校联考)包头市石拐区位于内蒙古阴山山脉大青山西段,地处呼包鄂 金三角中心地带,区域面积为761平方千米。石拐工业园区为我国内蒙古自治区 循环经济试点示范园区,依托资源优势及产业基础,构建了煤炭—电力及硅、镁、 铜等基础材料—合金材料加工基地,不断促进产业规模化、多元化、链条化,大力发展循环经济。读石拐工业园区产业链模式图,完成7~8题。 7.图中①②分别可能是( ) A.粉煤灰、新型建材厂 B.供气、液化气站 C.供水、农田灌溉 D.钢材、轧钢厂 答案 A 解析 由材料可知,石拐工业园区发展的是循环经济,热电厂燃烧煤炭、农田秸 秆产生的粉煤灰可用于生产建筑材料,A对;热电厂一般以提供热水的形式供热, 并不供气,也不生产钢材,B、D错;热水不宜用于农田灌溉,C 错。 8.作为石拐工业园区重点发展的项目,世界名牌 J 太阳能落户该园区的主要原因 是( ) A.该园区煤矿资源丰富 B.该园区距消费市场近 C.该园区科学技术发达 D.该园区交通运输便利 答案 B 解析 石拐工业园区所在的内蒙古自治区,主要属于半干旱、干旱地区,晴天多, 光照强,太阳能资源丰富,是太阳能电池板的重要市场,B 对。由图可知,生产 太阳能电池板需用高品位硅矿,对燃料需求较小,A 错;该园区是依托资源优势 和产业基础建立的,科技并不发达,C 错;交通运输不是石拐工业园区的优势, D错。 某年秋季东北的一次严重雾霾引起社会关注。专家指出,部分地区农民焚烧秸秆 是雾霾加重的原因之一。下图为某农业区秸秆利用示意图。读图,完成9~10题。9.图中①②③④分别表示( ) A.饲料、肥料、燃料、废弃物 B.饲料、燃料、肥料、废弃物 C.肥料、饲料、废弃物、燃料 D.肥料、燃料、废弃物、饲料 答案 B 解析 结合图中各环节的关系,可以得出①是秸秆的产品,为饲料,②是沼气的 用途,为燃料,③为将沼渣作为作物种植的肥料,④为作物种植、禽畜养殖的废 弃物。 10.以下解决秸秆问题的措施中最利于东北地区可持续发展的是( ) A.政府定期进行收购,作为造纸工业原料 B.将秸秆作为燃料,为农民提供生活用能 C.沼气池建在日光温室内,促进秸秆综合利用 D.强制农民将秸秆直接还田,恢复土壤肥力 答案 C 解析 政府定期进行收购,作为造纸工业原料,不利于土壤肥力的恢复;若将秸 秆作为燃料,为农民提供生活用能,会污染大气环境;沼气池建在日光温室内, 会促进秸秆综合利用;强制措施不可取。 下图是我国某地双季稻产区水稻生产农事安排示意图,早稻收割与晚稻插秧须尽 可能抓紧完成,俗称“双抢”,该地“双抢”期间以炎热干燥天气为主。读图, 完成11~13题。11.该地区可能是( ) A.河套平原 B.华北平原 C.东北平原 D.江汉平原 答案 D 解析 双季稻主要分布在我国亚热带季风气候区,题中只有江汉平原位于我国南 方地区,属于亚热带季风气候。华北平原和东北平原属于温带季风气候,河套平 原属于温带大陆性气候,都不能种植双季稻,D项正确,A、B、C 三项错误。 12.该地区人均耕地不足的主要原因是( ) A.河湖众多 B.丘陵广布 C.人口密度大 D.平原面积小 答案 C 解析 人均耕地不足可能是耕地少或人口多导致的,由上题分析可知,该地区为 江汉平原,江汉平原人口密度大,故选C 项。 13.该地区“双抢”期间抓紧时间完成农事活动的主要目的是( ) A.力争雨季之前完成早稻收割 B.力争雨季之前完成晚稻插秧 C.保障早稻生产所需的热量 D.保障晚稻生产所需的热量 答案 D 解析 由图可知,早稻收割和晚稻插秧均在 8 月前完成,此地区为江汉平原,8 月份长江流域为伏旱天气,降水少,A、B 两项错误;从图中可看出,晚稻生产 主要在秋季,此季节气温已逐渐降低,故热量是水稻生产首先要考虑的因素,“双 抢”是为了保障晚稻生产所需的热量,C 项错误,D项正确。 下图是浙江某地生态工业园生产流程示意图。读图,完成14~15题。14.图中核心企业M 最可能是( ) A.核电企业 B.钢铁企业 C.火力发电企业 D.风力发电企业 答案 C 解析 根据该核心企业产品链提供的“电”“热”,判断为发电厂;再根据生态 链中该核心企业提供的“硫化物”“水泥”“石膏”可判断M 是火力发电企业。 15.有关该生态园中纺织企业发展有利条件的叙述,正确的是( ) ①原料丰富 ②煤炭资源丰富 ③残次品、副产品利用率高 ④劳动力资源较丰 富 A.①②③ B.②③④ C.①②④ D.①③④ 答案 D 解析 从图中可以看出,养殖、种植都为纺织企业提供原料,故纺织生产的原料 丰富;同时纺织生产原料中的残次品或副产品成为大棚所需的保温材料;纺织企 业是以劳动力为主导的产业,而生态园中多重工业,男性职工多,意味着劳动年 龄女性(配偶)也较多,可为纺织企业提供丰富的劳动力。 我国甲、乙两地相距约20千米,但降水的日变化差异很大。下图为两地降水量的 日变化示意图。读图,完成16~18题。16.影响甲地年降水量日变化的直接因素是( ) A.太阳高度 B.热力环流 C.植物蒸腾 D.大气环流 答案 B 解析 读图,甲地北京时间 8~20 点(白天)降水较少,21 点~次日 8点(夜晚)降 水多,判断甲地应位于盆地(谷地),夜晚山坡降温快,冷空气沿山坡下沉到谷底, 谷底地区夜晚降温慢,气温较高,谷底的暖空气被山坡下沉的冷空气抬升,形成 降水;白天山坡升温快,气流上升,谷底升温慢,气温低,气流下沉,不易形成 降水;因为山坡和山谷温度不同形成的大气运动为热力环流,所以甲地降水量日 变化的直接原因是热力环流,根本原因是受热不均匀,故选B。 17.与乙地相比,甲地降水的日变化特点有利于农业生产,主要是由于甲地( ) A.土壤水分条件较好 B.气温日较差更大 C.降水量较多 D.地形较平坦 答案 A 解析 读图,甲地夜间降水多,气温低,蒸发量小,所以下渗较多,利于保持土 壤的水分;乙地白天降水多,气温高,蒸发量大,下渗较少,不利于保持土壤水 分,A 正确。因为甲地夜晚降水多,乙地白天降水多,可以判断甲地位于谷地(盆 地),乙地位于山地,乙地的气温日较差大,故B 错误。读图,甲、乙两地降水量 差异较小,故C错误。甲地降水的日变化特点主要是对土壤的水分造成影响,和 地形平坦无关,故D错误。 18.甲、乙两地最可能位于( ) A.江苏省 B.甘肃省 C.山东省 D.云南省 答案 D解析 根据材料甲、乙两地相距约20千米,由两地降水特点,可以判断甲地为谷 地(盆地),乙地为山地,说明该地区地形起伏较大;江苏省、山东省地势起伏较 小,故A、C 错误;甘肃省降水量小,故B 错误;云南喀斯特地貌广布,地形崎 岖,故该题选D。