当前位置:首页>文档>专题3考点练1 水循环_9.2025地理总复习_赠品通用版(老高考)复习资料_二轮复习_2023年高考地理二轮复习讲义+课件(全国版)_2023年高考地理二轮复习讲义(全国版)_学生版

专题3考点练1 水循环_9.2025地理总复习_赠品通用版(老高考)复习资料_二轮复习_2023年高考地理二轮复习讲义+课件(全国版)_2023年高考地理二轮复习讲义(全国版)_学生版

  • 2026-04-16 01:11:59 2026-03-12 16:06:22

文档预览

专题3考点练1 水循环_9.2025地理总复习_赠品通用版(老高考)复习资料_二轮复习_2023年高考地理二轮复习讲义+课件(全国版)_2023年高考地理二轮复习讲义(全国版)_学生版
专题3考点练1 水循环_9.2025地理总复习_赠品通用版(老高考)复习资料_二轮复习_2023年高考地理二轮复习讲义+课件(全国版)_2023年高考地理二轮复习讲义(全国版)_学生版
专题3考点练1 水循环_9.2025地理总复习_赠品通用版(老高考)复习资料_二轮复习_2023年高考地理二轮复习讲义+课件(全国版)_2023年高考地理二轮复习讲义(全国版)_学生版

文档信息

文档格式
docx
文档大小
1.398 MB
文档页数
3 页
上传时间
2026-03-12 16:06:22

文档内容

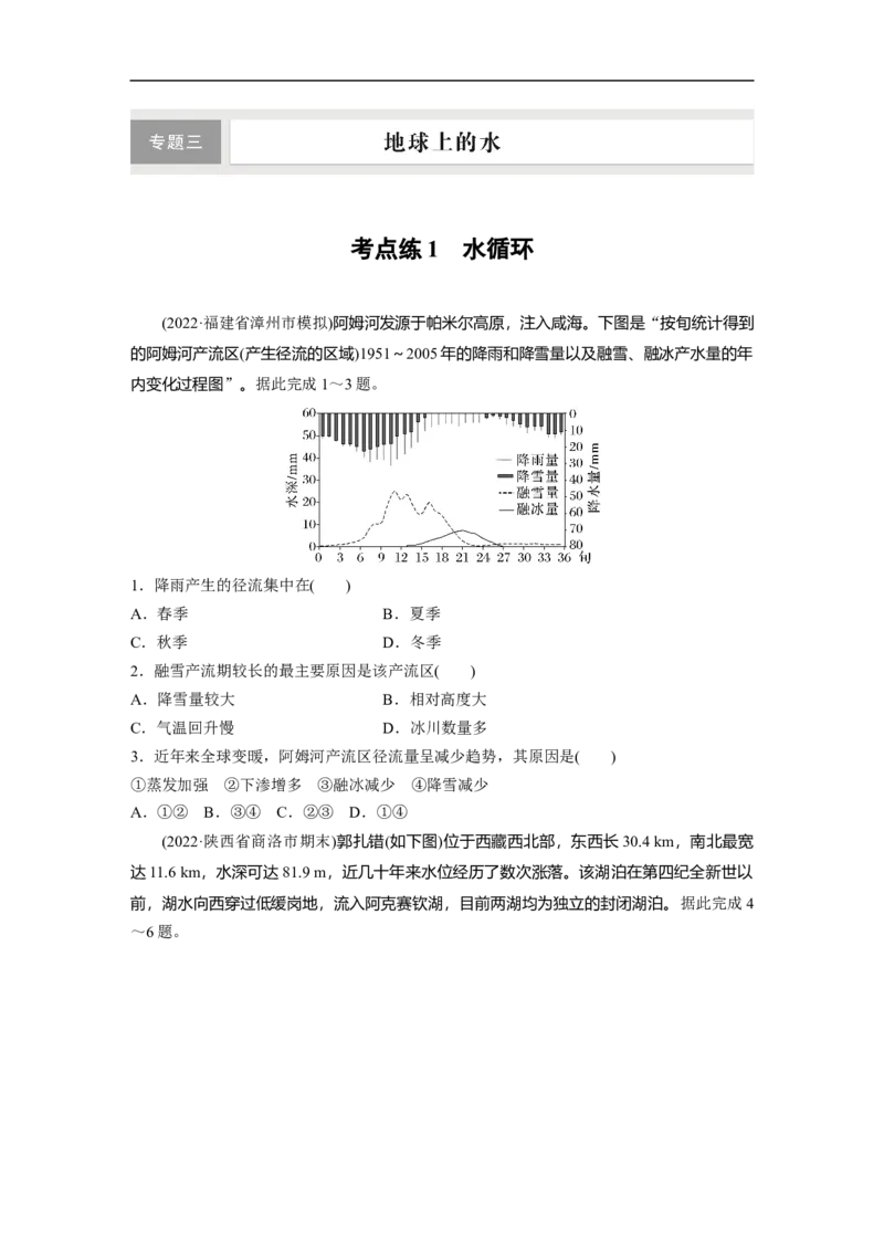
考点练 1 水循环 (2022·福建省漳州市模拟)阿姆河发源于帕米尔高原,注入咸海。下图是“按旬统计得到 的阿姆河产流区(产生径流的区域)1951~2005年的降雨和降雪量以及融雪、融冰产水量的年 内变化过程图”。据此完成1~3题。 1.降雨产生的径流集中在( ) A.春季 B.夏季 C.秋季 D.冬季 2.融雪产流期较长的最主要原因是该产流区( ) A.降雪量较大 B.相对高度大 C.气温回升慢 D.冰川数量多 3.近年来全球变暖,阿姆河产流区径流量呈减少趋势,其原因是( ) ①蒸发加强 ②下渗增多 ③融冰减少 ④降雪减少 A.①② B.③④ C.②③ D.①④ (2022·陕西省商洛市期末)郭扎错(如下图)位于西藏西北部,东西长30.4 km,南北最宽 达11.6 km,水深可达81.9 m,近几十年来水位经历了数次涨落。该湖泊在第四纪全新世以 前,湖水向西穿过低缓岗地,流入阿克赛钦湖,目前两湖均为独立的封闭湖泊。据此完成4 ~6题。4.郭扎错的主要成因是( ) A.河流改道,形成牛轭湖 B.滑坡阻断河流,形成堰塞湖 C.火山喷发,火山口集水成湖 D.地壳断裂下陷,集水成湖 5.郭扎错湖水盐度空间差异最大的表现是( ) A.北咸南淡 B.北淡南咸 C.东咸西淡 D.东淡西咸 6.与第四纪全新世以前相比,郭扎错湖水盐度( ) A.较低 B.波动降低 C.较高 D.持续升高 7.(2022·安徽省淮北市模拟)阅读图文材料,完成下面问题。(18分) 玛旁雍错(下图)湖面海拔约4 500 m,流域平均年降水量和蒸发量分别为168.3 mm和2 197.4 mm。历史上玛旁雍错与拉昂错属同一外流湖,第四纪时气候变暖,二者被水下堆积 物分隔开,现今,两湖北部仅有一季节性水道相连。目前,拉昂错已为咸水湖,被称为“鬼 湖”,玛旁雍错仍为淡水湖,被称为“圣湖”。 (1)分析玛旁雍错蒸发量大的原因。(8分) (2)从气候和地貌变化角度,描述玛旁雍错和拉昂错由合到分的演变过程。(6分)(3)推测玛旁雍错未来的盐度变化,并说明你是否同意通过工程措施保持盐度稳定。(4分)