当前位置:首页>文档>第一部分 第三章 第1讲 训练12 大气的组成和垂直分层 大气的受热过程_9.2025地理总复习_2024年新高考资料_1.2024一轮复习_2024年高考地理一轮复习讲义(新人教版)_学生版在此文件夹

第一部分 第三章 第1讲 训练12 大气的组成和垂直分层 大气的受热过程_9.2025地理总复习_2024年新高考资料_1.2024一轮复习_2024年高考地理一轮复习讲义(新人教版)_学生版在此文件夹

  • 2026-04-17 11:11:37 2026-03-13 14:52:31

文档预览

第一部分 第三章 第1讲 训练12 大气的组成和垂直分层 大气的受热过程_9.2025地理总复习_2024年新高考资料_1.2024一轮复习_2024年高考地理一轮复习讲义(新人教版)_学生版在此文件夹
第一部分 第三章 第1讲 训练12 大气的组成和垂直分层 大气的受热过程_9.2025地理总复习_2024年新高考资料_1.2024一轮复习_2024年高考地理一轮复习讲义(新人教版)_学生版在此文件夹
第一部分 第三章 第1讲 训练12 大气的组成和垂直分层 大气的受热过程_9.2025地理总复习_2024年新高考资料_1.2024一轮复习_2024年高考地理一轮复习讲义(新人教版)_学生版在此文件夹
第一部分 第三章 第1讲 训练12 大气的组成和垂直分层 大气的受热过程_9.2025地理总复习_2024年新高考资料_1.2024一轮复习_2024年高考地理一轮复习讲义(新人教版)_学生版在此文件夹

文档信息

文档格式
docx
文档大小
0.617 MB
文档页数
4 页
上传时间
2026-03-13 14:52:31

文档内容

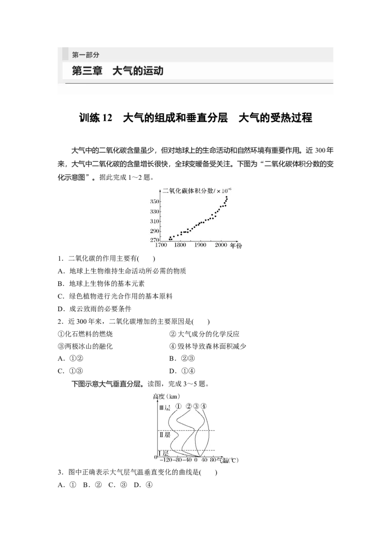
训练 12 大气的组成和垂直分层 大气的受热过程 大气中的二氧化碳含量虽少,但对地球上的生命活动和自然环境有重要作用。近 300年 来,大气中二氧化碳的含量增长很快,全球变暖备受关注。下图为“二氧化碳体积分数的变 化示意图”。据此完成1~2题。 1.二氧化碳的作用主要有( ) A.地球上生物维持生命活动所必需的物质 B.地球上生物体的基本元素 C.绿色植物进行光合作用的基本原料 D.成云致雨的必要条件 2.近300年来,二氧化碳增加的主要原因是( ) ①化石燃料的燃烧 ②大气成分的化学反应 ③两极冰山的融化 ④毁林导致森林面积减少 A.①② B.②③ C.①③ D.①④ 下图示意大气垂直分层。读图,完成3~5题。 3.图中正确表示大气层气温垂直变化的曲线是( ) A.① B.② C.③ D.④4.对无线电通信具有重要意义的电离层位于( ) A.Ⅰ层顶部 B.Ⅱ层底部 C.Ⅱ层中部 D.Ⅲ层 5.我国发射的“神舟十一号”飞船运行轨道所在的大气层( ) A.气温在-50 ℃至20 ℃之间 B.气温随高度增加平稳下降 C.最低气温约为-80 ℃ D.最高气温约为40 ℃ 气象学上将冷空气在山谷或盆地底部汇集的现象称为冷湖。下图示意2021年2月23~ 24日我国北方某峡谷冷湖出现前后大气温度随海拔的变化。据此完成6~8题。 6.该次冷湖现象形成于( ) A.23日17:00之前 B.23日17:00~19:00 C.23日19:00~23:00 D.23日23:00~24日8:00 7.该次冷湖形成和消散的方向分别是( ) A.自上而下,自上而下 B.自上而下,自下而上 C.自下而上,自下而上 D.自下而上,自上而下 8.在该次冷湖发生、发展的过程中,该地的天气特征是( ) A.晴朗微风 B.大风降温 C.阴雨连绵 D.温和湿润 9.(2023·湖南长沙期末)阅读图文资料,回答下列问题。(18分) 某中学地理学习小组在暑假期间赴甘肃进行考察,图甲示意祁连山北麓绿洲及周边地区。(1)依据大气受热原理,分析张掖气温日较差大的原因。(6分) 干旱地区土壤的湿度一般由表层向深层逐渐增加,在特定条件下可能在浅层土壤出现 “逆湿”现象。学生们在图甲所示采样点的某处无人干扰土地进行采样,测量土壤湿度随深 度变化数据,并绘制连续两日不同深度土壤湿度变化图(图乙)。 (2)据图乙说出“逆湿”发生的主要时段及深度,并分析成因。(6分)同学们发现坡地上“摆”着一个个圆滚滚的大西瓜(图丙)。当地人们为了适应气候条件, 在耕作土壤表面铺设10~15 cm的砂石,创造了“砂田”这一耕作方式。砂田作物产量较高, 品质较好。 (3)说明采用“砂田”耕作方式对种植西瓜的好处。(6分)